数据结构与算法[图结构初探]

191 阅读19分钟

##图的简介  图(Graph)结构是一种非线性的数据结构,图在实际生活中有很多例子,比如交通运输网,地铁网络,社交网络,计算机中的状态执行(自动机)等等都可以抽象成图结构。图结构比树结构复杂的非线性结构 ##图的构成 图(Graph) 是由顶点的有穷⾮非空集合 和 顶点之间边的集合组成. 通常表示为: G(V,E). 其中,G表示⼀一个图, V是图G中的顶点集合,E 是图G中边的集合. image 图结构中顶点集合V(G)不能为空,必须包含一个顶点,而图结构边集合可以为空,表示没有边. ##图的基本概念

1.无向图(undirected graph)

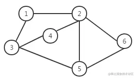
  如果一个图结构中,所有的边都没有方向性,那么这种图便称为无向图。典型的无向图,如图二所示。由于无向图中的边没有方向性,这样我们在表示边的时候对两个顶点的顺序没有要求 image

2.有向图(undirected graph)

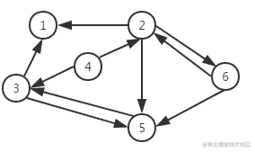
 一个图结构中,边是有方向性的,那么这种图就称为有向图,如图三所示。由于图的边有方向性,我们在表示边的时候对两个顶点的顺序就有要求 image #####注意:   无向图也可以理解成一个特殊的有向图,就是边互相指向对方节点,A指向B,B又指向A

3.无向完全图

  如果在一个无向图中, 每两个顶点之间都存在条边,那么这种图结构称为无向完全图。 image

4.有向完全图

  如果在一个有向图中,每两个顶点之间都存在方向相反的两条边,那么这种图结构称为有向完全图 image

5.顶点的度

连接顶点的边的数量称为该顶点的度。顶点的度在有向图和无向图中具有不同的表示。对于无向图,一个顶点V的度比较简单,其是连接该顶点的边的数量,记为D(V)。 例如,图二所示的无向图中,顶点V5的度为3。而V6的度为2。 对于有向图要稍复杂些,根据连接顶点V的边的方向性,一个顶点的度有入度出度之分。   入度是以该顶点为端点的入边数量, 记为ID(V)。   出度是以该顶点为端点的出边数量, 记为OD(V)。 这样,有向图中,一个顶点V的总度便是入度和出度之和,即D(V) = ID(V) + OD(V)。例如,图三所示的有向图中,顶点V5的入度为3,出度为1,因此,顶点V5的总度为4。 ####6.无权图和带权图

无权图:

  顶点与顶点之间没有权重

带权图:

  带权图表示边有一定的权重. 数学的加权平均数的概念   这里的权重可以是任意你希望表示的数据: 比如距离或者花费的时间或者票价.

图的表示

怎么在程序中表示图呢?

我们知道一个图包含很多顶点, 另外包含顶点和顶点之间的连线(边), 这两个都是非常重要的图信息, 因此都需要在程序中体现出来.

[数据结构与算法设计] 将左边图存储到计算机中.请设 计⼀一个数据结构并将其合理理存储起来. #快⼿手⾯面试真题#

#####顶点表示: • 顶点的表示相对简单, 我们先讨论顶点的表示.   • 上面的顶点, 我们抽象成了1 2 3 4 5, 也可以抽象成A B C D E. 在后面的案例中   • 那么这些A B C D E我们可以使用一个数组来存储起来(存储所有的顶点)   • 当然, A, B, C, D E有可能还表示其他含义的数据(比如村庄的名字), 这个时候, 可以另外创建一个数组, 用于存储对应的其他数据. • 那么边怎么表示呢?   • 因为边是两个顶点之间的关系, 所以表示起来会稍微麻烦一些.   • 下面, 我们具体讨论一下变常见的表示方式.

邻接矩阵

  • 一种比较常见的表示图的方式: 邻接矩阵.    • 邻接矩阵让每个节点和一个整数向关联, 该整数作为数组的下标值.     • 我们用一个二维数组来表示顶点之间的连接.

图片解析: 在二维数组中, 0表示没有连线, 1表示有连线. 通过二维数组, 我们可以很快的找到一个顶点和哪些顶点有连线.(比如v0顶点, 只需要遍历第一行即可) 另外, 也就是顶点到自己的连线, 通常使用0表示.

邻接矩阵的问题: 如果是一个无向图, 邻接矩阵展示出来的二维数组, 其实是一个对称图. 也就是V0->V4 是1的时候, 对称的位置 V4->V0 一定也是1. 那么这种情况下会造成空间的浪费, 你有没有办法可以优化呢? ####邻接矩阵矩阵存储的数据结构设计

####代码实现

  1. 确定顶点数/边数
  2. 读取顶点信息
  3. 初始化邻接矩阵
  4. 读⼊入边信息
  5. 循环打印
#include "stdio.h"
#include "stdlib.h"

#include "math.h"
#include "time.h"

#define OK 1
#define ERROR 0
#define TRUE 1
#define FALSE 0
#define MAXVEX 100 /* 最大顶点数,应由用户定义 */
#define INFINITYC 0

typedef int Status;    /* Status是函数的类型,其值是函数结果状态代码,如OK等 */
typedef char VertexType; /* 顶点类型应由用户定义  */
typedef int EdgeType; /* 边上的权值类型应由用户定义 */
typedef struct
{
  VertexType vexs[MAXVEX]; /* 顶点表 */
  EdgeType arc[MAXVEX][MAXVEX];/* 邻接矩阵,可看作边表 */
  int numNodes, numEdges; /* 图中当前的顶点数和边数  */
}MGraph;

void CreateMGraph(MGraph *G){
  
  int i,j,k,w;
  printf("输入顶点数和边数:\n");
  //1. 输入顶点数/边数
  scanf("%d,%d",&G->numNodes,&G->numEdges);
  printf("顶点数:%d,边数:%d\n",G->numNodes,G->numEdges);
  
  //2.输入顶点信息/顶点表
  for(i = 0; i<= G->numNodes;i++)
      scanf("%c",&G->vexs[i]);
  
  //3.初始化邻接矩阵
  for(i = 0; i < G->numNodes;i++)
       for(j = 0; j < G->numNodes;j++)
           G->arc[i][j] = INFINITYC;
  
  //4.输入边表信息
  for(k = 0; k < G->numEdges;k++){
      printf("输入边(vi,vj)上的下标i,下标j,权w\n");
      scanf("%d,%d,%d",&i,&j,&w);
      
      G->arc[i][j] = w;
      //如果无向图,矩阵对称;
      G->arc[j][i] = G->arc[i][j];
      
  }
  /*5.打印邻接矩阵*/
  for (int i = 0; i < G->numNodes; i++) {
      printf("\n");
      for (int j = 0; j < G->numNodes; j++) {
          printf("%d ",G->arc[i][j]);
      }
  }
  printf("\n");
}

int main(void)
{
  printf("邻接矩阵实现图的存储\n");
  /*图的存储-邻接矩阵*/
  MGraph G;
  CreateMGraph(&G);
  return 0;
}
邻接矩阵还有一个比较严重的问题就是如果图是一个稀疏图
    那么矩阵中将存在大量的0, 这意味着我们浪费了计算机存储空间来表示根本不存在的边.
    而且即使只有一个边, 我们也必须遍历一行来找出这个边, 也浪费很多时间.

邻接表

另外一种常用的表示图的方式: 邻接表.   邻接表由图中每个顶点以及和顶点相邻的顶点列表组成.   这个列表有很多中方式来存储: 数组/链表/字典(哈希表)都可以. ####邻接表存储的数据结构设计 ####邻接表存储的存储代码实现思路

#include "stdio.h"
#include "stdlib.h"

#include "math.h"
#include "time.h"


#define M 100
#define true 1
#define false 0

typedef char Element;
typedef int BOOL;
//邻接表的节点
typedef struct Node{
    int adj_vex_index;  //弧头的下标,也就是被指向的下标
    Element data;       //权重值
    struct Node * next; //边指针
}EdgeNode;

//顶点节点表
typedef struct vNode{
    Element data;          //顶点的权值
    EdgeNode * firstedge;  //顶点下一个是谁?
}VertexNode, Adjlist[M];

//总图的一些信息
typedef struct Graph{
    Adjlist adjlist;       //顶点表
    int arc_num;           //边的个数
    int node_num;          //节点个数
    BOOL is_directed;      //是不是有向图
}Graph, *GraphLink;

void creatGraph(GraphLink *g){
    int i,j,k;
    EdgeNode *p;
    
    //1. 顶点,边,是否有向
    printf("输入顶点数目,边数和有向?:\n");
    scanf("%d %d %d", &(*g)->node_num, &(*g)->arc_num, &(*g)->is_directed);
    
    //2.顶点表
     printf("输入顶点信息:\n");
    for (i = 0; i < (*g)->node_num; i++) {
        getchar();
        scanf("%c", &(*g)->adjlist[i].data);
        (*g)->adjlist[i].firstedge = NULL;
    }
    
    //3.
    printf("输入边信息:\n");
    for (k = 0; k < (*g)->arc_num; k++){
        getchar();
        scanf("%d %d", &i, &j);
        
        //①新建一个节点
        p = (EdgeNode *)malloc(sizeof(EdgeNode));
        //②弧头的下标
        p->adj_vex_index = j;
        //③头插法插进去,插的时候要找到弧尾,那就是顶点数组的下标i
        p->next = (*g)->adjlist[i].firstedge;
        //④将顶点数组[i].firstedge 设置为p
        (*g)->adjlist[i].firstedge = p;
        
        //j->i
        if(!(*g)->is_directed)
        {
            // j -----> i
            //①新建一个节点
            p = (EdgeNode *)malloc(sizeof(EdgeNode));
            //②弧头的下标i
            p->adj_vex_index = i;
            //③头插法插进去,插的时候要找到弧尾,那就是顶点数组的下标i
            p->next = (*g)->adjlist[j].firstedge;
            //④将顶点数组[i].firstedge 设置为p
            (*g)->adjlist[j].firstedge = p;
        }
    }
}

void putGraph(GraphLink g){
    int i;
    printf("邻接表中存储信息:\n");
    //遍历一遍顶点坐标,每个再进去走一次
    for (i = 0; i < g->node_num; i++) {
        EdgeNode * p = g->adjlist[i].firstedge;
        while (p) {
            printf("%c->%c ", g->adjlist[i].data, g->adjlist[p->adj_vex_index].data);
            p = p->next;
        }
        printf("\n");
    }
}

int main(int argc, const char * argv[]) {
    // insert code here...
    printf("邻接表实现图的存储\n");
    /*
     邻接表实现图的存储
     输入顶点数目,边数和有向?:
     4 5 0
     输入顶点信息:
     0 1 2 3
     输入边信息:
     0 1 0 2 0 3 2 1 2 3
     邻接表中存储信息:
     0->3 0->2 0->1
     1->2 1->0
     2->3 2->1 2->0
     3->2 3->0
    */
    /*
     邻接表实现图的存储
     输入顶点数目,边数和有向?:
     4 5 1
     输入顶点信息:
     0 1 2 3
     输入边信息:
     1 0 1 2 2 1 2 0 0 3
     邻接表中存储信息:
     0->3
     1->2 1->0
     2->0 2->1
     */
    GraphLink g = (Graph *)malloc(sizeof(Graph));
    creatGraph(&g);
    putGraph(g);
    return 0;
}

图的遍历

###图的遍历—深度优先遍历

####图的遍历—邻接矩阵深度优先遍历代码实现思路路

  1. 将图的顶点和边信息输⼊入到图结构中;
  2. 创建⼀一个visited 数组,⽤用来标识顶点是否已经被遍历过.
  3. 初始化visited 数组,将数组中元素置为FALSE
  4. 选择顶点开始遍历.(注意⾮非连通图的情况)
  5. 进⼊入递归; 打印i 对应的顶点信息. 并将该顶点标识为已遍历.
  6. 循环遍历边表,判断当前arc[i][j] 是否等于1,并且当前该顶点没有被遍历过,则继续递归 DFS;
#include "stdio.h"
#include "stdlib.h"

#include "math.h"
#include "time.h"

#define OK 1
#define ERROR 0
#define TRUE 1
#define FALSE 0

typedef int Status;    /* Status是函数的类型,其值是函数结果状态代码,如OK等 */
typedef int Boolean; /* Boolean是布尔类型,其值是TRUE或FALSE */

typedef char VertexType; /* 顶点类型应由用户定义 */
typedef int EdgeType; /* 边上的权值类型应由用户定义 */

#define MAXSIZE 9 /* 存储空间初始分配量 */
#define MAXEDGE 15
#define MAXVEX 9
#define INFINITYC 65535

typedef struct
{
    VertexType vexs[MAXVEX]; /* 顶点表 */
    EdgeType arc[MAXVEX][MAXVEX];/* 邻接矩阵,可看作边表 */
    int numVertexes, numEdges; /* 图中当前的顶点数和边数 */
}MGraph;

/*4.1 构建一个邻接矩阵*/
void CreateMGraph(MGraph *G)
{
    int i, j;
    
    //1. 确定图的顶点数以及边数
    G->numEdges=15;
    G->numVertexes=9;
    
    /*2.读入顶点信息,建立顶点表 */
    G->vexs[0]='A';
    G->vexs[1]='B';
    G->vexs[2]='C';
    G->vexs[3]='D';
    G->vexs[4]='E';
    G->vexs[5]='F';
    G->vexs[6]='G';
    G->vexs[7]='H';
    G->vexs[8]='I';
    
    /*3. 初始化图中的边表*/
    for (i = 0; i < G->numVertexes; i++)
    {
        for ( j = 0; j < G->numVertexes; j++)
        {
            G->arc[i][j]=0;
        }
    }
    
    /*4.将图中的连接信息输入到边表中*/
    G->arc[0][1]=1;
    G->arc[0][5]=1;
    
    G->arc[1][2]=1;
    G->arc[1][8]=1;
    G->arc[1][6]=1;
    
    G->arc[2][3]=1;
    G->arc[2][8]=1;
    
    G->arc[3][4]=1;
    G->arc[3][7]=1;
    G->arc[3][6]=1;
    G->arc[3][8]=1;
    
    G->arc[4][5]=1;
    G->arc[4][7]=1;
    
    G->arc[5][6]=1;
    
    G->arc[6][7]=1;
    
    /*5.无向图是对称矩阵.构成对称*/
    for(i = 0; i < G->numVertexes; i++)
    {
        for(j = i; j < G->numVertexes; j++)
        {
            G->arc[j][i] =G->arc[i][j];
        }
    }
}

/*4.2 DFS遍历*/
Boolean visited[MAXVEX]; /* 访问标志的数组 */
//1. 标识顶点是否被标记过;
//2. 选择从某一个顶点开始(注意:非连通图的情况)
//3. 进入递归,打印i点信息,标识; 边表
//4. [i][j] 是否等于1,没有变遍历过visted
void DFS(MGraph G,int i){
    //1.
    visited[i] = TRUE;
    printf("%c",G.vexs[i]);
    
    //2.0~numVertexes
    for(int j = 0; j < G.numVertexes;j++){
        if(G.arc[i][j] == 1 && !visited[j])
            DFS(G, j);
    }
}

void DFSTravese(MGraph G){
    //1.初始化
    for(int i=0;i<G.numVertexes;i++){
        visited[i] = FALSE;
    }
    
    //2.某一个顶点
    for(int i = 0;i<G.numVertexes;i++){
        if(!visited[i]){
            DFS(G, i);
        }
    }
}

int main(int argc, const char * argv[]) {
    // insert code here...
    printf("邻接矩阵的深度优先遍历!\n");
    MGraph G;
    CreateMGraph(&G);
    DFSTravese(G);
    printf("\n");
    return 0;
}

深度优先遍历结果: AFGHEDICB ####图的遍历—邻接表对图的遍历处理

####图的遍历—邻接表深度优先遍历代码实现思路路

  1. 利利⽤用邻接矩阵将信息存储到邻接表中
  2. 创建⼀一个visited 数组,⽤用来标识顶点是否已经被遍历过.
  3. 初始化visited 数组,将数组中元素置为FALSE
  4. 选择顶点开始遍历.(注意⾮非连通图的情况)
  5. 进⼊入递归; 打印i 对应的顶点信息. 并将该顶点标识为已遍历.
  6. 循环遍历边表,判断当前顶点 是否等于1,并且当前该顶点没有被遍历过,则继续递归 DFS;
#include "stdio.h"
#include "stdlib.h"

#include "math.h"
#include "time.h"

#define OK 1
#define ERROR 0
#define TRUE 1
#define FALSE 0

#define MAXSIZE 9 /* 存储空间初始分配量 */
#define MAXEDGE 15
#define MAXVEX 9
#define INFINITYC 65535

typedef int Status;    /* Status是函数的类型,其值是函数结果状态代码,如OK等 */
typedef int Boolean; /* Boolean是布尔类型,其值是TRUE或FALSE */

typedef char VertexType; /* 顶点类型应由用户定义 */
typedef int EdgeType; /* 边上的权值类型应由用户定义 */

/* 邻接矩阵结构 */
typedef struct
{
    VertexType vexs[MAXVEX]; /* 顶点表 */
    EdgeType arc[MAXVEX][MAXVEX];/* 邻接矩阵,可看作边表 */
    int numVertexes, numEdges; /* 图中当前的顶点数和边数 */
}MGraph;

/* 邻接表结构****************** */
typedef struct EdgeNode /* 边表结点 */
{
    int adjvex;    /* 邻接点域,存储该顶点对应的下标 */
    int weight;        /* 用于存储权值,对于非网图可以不需要 */
    struct EdgeNode *next; /* 链域,指向下一个邻接点 */
}EdgeNode;

typedef struct VertexNode /* 顶点表结点 */
{
    int in;    /* 顶点入度 */
    char data; /* 顶点域,存储顶点信息 */
    EdgeNode *firstedge;/* 边表头指针 */
}VertexNode, AdjList[MAXVEX];

typedef struct
{
    AdjList adjList;
    int numVertexes,numEdges; /* 图中当前顶点数和边数 */
}graphAdjList,*GraphAdjList;

/*4.1 构建一个邻接矩阵*/
void CreateMGraph(MGraph *G)
{
    int i, j;
    
    //1. 确定图的顶点数以及边数
    G->numEdges=15;
    G->numVertexes=9;
    
    /*2.读入顶点信息,建立顶点表 */
    G->vexs[0]='A';
    G->vexs[1]='B';
    G->vexs[2]='C';
    G->vexs[3]='D';
    G->vexs[4]='E';
    G->vexs[5]='F';
    G->vexs[6]='G';
    G->vexs[7]='H';
    G->vexs[8]='I';
    
    /*3. 初始化图中的边表*/
    for (i = 0; i < G->numVertexes; i++)
    {
        for ( j = 0; j < G->numVertexes; j++)
        {
            G->arc[i][j]=0;
        }
    }
    
    /*4.将图中的连接信息输入到边表中*/
    G->arc[0][1]=1;
    G->arc[0][5]=1;
    
    G->arc[1][2]=1;
    G->arc[1][8]=1;
    G->arc[1][6]=1;
    
    G->arc[2][3]=1;
    G->arc[2][8]=1;
    
    G->arc[3][4]=1;
    G->arc[3][7]=1;
    G->arc[3][6]=1;
    G->arc[3][8]=1;
    
    G->arc[4][5]=1;
    G->arc[4][7]=1;
    
    G->arc[5][6]=1;
    
    G->arc[6][7]=1;
    
    /*5.无向图是对称矩阵.构成对称*/
    for(i = 0; i < G->numVertexes; i++)
    {
        for(j = i; j < G->numVertexes; j++)
        {
            G->arc[j][i] =G->arc[i][j];
        }
    }
}

/*4.2 利用邻接矩阵构建邻接表*/
void CreateALGraph(MGraph G,GraphAdjList *GL){
    
    //1.创建邻接表,并且设计邻接表的顶点数以及弧数
    *GL = (GraphAdjList)malloc(sizeof(graphAdjList));
    (*GL)->numVertexes = G.numVertexes;
    (*GL)->numEdges = G.numEdges;
    
    //2. 从邻接矩阵中将顶点信息输入
    for (int i = 0; i < G.numVertexes; i++) {
        //顶点入度为0
        (*GL)->adjList[i].in = 0;
        //顶点信息
        (*GL)->adjList[i].data = G.vexs[i];
        //顶点边表置空
        (*GL)->adjList[i].firstedge = NULL;
    }
    
    //3. 建立边表
    EdgeNode *e;
    for (int i = 0; i < G.numVertexes; i++) {
        for (int j = 0; j < G.numVertexes; j++) {
            if (G.arc[i][j] == 1) {
             
                //创建边表中的邻近结点 i->j
                e = (EdgeNode *)malloc(sizeof(EdgeNode));
                //邻接序号为j
                e->adjvex = j;
                //将当前结点的指向adjList[i]的顶点边表上
                e->next = (*GL)->adjList[i].firstedge;
                (*GL)->adjList[i].firstedge = e;
                //顶点j 上的入度++;
                (*GL)->adjList[j].in++;
                
//                //创建边表中的邻近结点 j->i
//                e = (EdgeNode *)malloc(sizeof(EdgeNode));
//                //邻接序号为j
//                e->adjvex = i;
//                //将当前结点的指向adjList[i]的顶点边表上
//                e->next = (*GL)->adjList[j].firstedge;
//                (*GL)->adjList[j].firstedge = e;
//                //顶点j 上的入度++;
//                (*GL)->adjList[i].in++;
            }
        }
    }
}


Boolean visited[MAXSIZE]; /* 访问标志的数组 */
/* 邻接表的深度优先递归算法 */
void DFS(GraphAdjList GL, int i)
{
    EdgeNode *p;
    visited[i] = TRUE;
    
    //2.打印顶点 A
    printf("%c ",GL->adjList[i].data);
    
    p = GL->adjList[i].firstedge;
    
    //3.
    while (p) {
        if(!visited[p->adjvex])
            DFS(GL,p->adjvex);
        
        p = p->next;
    }
    
}

/* 邻接表的深度遍历操作 */
void DFSTraverse(GraphAdjList GL)
{
    //1. 将访问记录数组默认置为FALSE
    for (int i = 0; i < GL->numVertexes; i++) {
        /*初始化所有顶点状态都是未访问过的状态*/
        visited[i] = FALSE;
    }

    //2. 选择一个顶点开始DFS遍历. 例如A
    for(int i = 0; i < GL->numVertexes; i++)
        //对未访问过的顶点调用DFS, 若是连通图则只会执行一次.
        if(!visited[i])
            DFS(GL, i);
}


int main(int argc, const char * argv[]) {
    // insert code here...
    printf("邻接表的深度优先遍历!\n");
    MGraph G;
    GraphAdjList GL;
    CreateMGraph(&G);
    CreateALGraph(G,&GL);
  
    
    DFSTraverse(GL);
    printf("\n");
    return 0;
}

###图的遍历—广度优先遍历 图的遍历—广度优先遍历特点: 1、把根节点放到队列列的末尾。 2、每次从队列列的头部取出⼀一个元素,查看这个元素所有的下⼀一级元素,把它们放到队 列列的末尾。并把这个元素记为它下⼀一级元素的前驱。 3、找到所要找的元素时结束程序。 4、如果遍历整个树还没有找到,结束程序. ####邻接矩阵广度优先遍历代码实现逻辑

#include <stdio.h>
#include "stdio.h"
#include "stdlib.h"

#include "math.h"
#include "time.h"

#define OK 1
#define ERROR 0
#define TRUE 1
#define FALSE 0

typedef int Status;    /* Status是函数的类型,其值是函数结果状态代码,如OK等 */
typedef int Boolean; /* Boolean是布尔类型,其值是TRUE或FALSE */

typedef char VertexType; /* 顶点类型应由用户定义 */
typedef int EdgeType; /* 边上的权值类型应由用户定义 */

#define MAXSIZE 9 /* 存储空间初始分配量 */
#define MAXEDGE 15
#define MAXVEX 9
#define INFINITYC 65535

typedef struct
{
    VertexType vexs[MAXVEX]; /* 顶点表 */
    EdgeType arc[MAXVEX][MAXVEX];/* 邻接矩阵,可看作边表 */
    int numVertexes, numEdges; /* 图中当前的顶点数和边数 */
}MGraph;

/*4.1 构建一个邻接矩阵*/
void CreateMGraph(MGraph *G)
{
    int i, j;
    
    //1. 确定图的顶点数以及边数
    G->numEdges=15;
    G->numVertexes=9;
    
    /*2.读入顶点信息,建立顶点表 */
    G->vexs[0]='A';
    G->vexs[1]='B';
    G->vexs[2]='C';
    G->vexs[3]='D';
    G->vexs[4]='E';
    G->vexs[5]='F';
    G->vexs[6]='G';
    G->vexs[7]='H';
    G->vexs[8]='I';
    
    /*3. 初始化图中的边表*/
    for (i = 0; i < G->numVertexes; i++)
    {
        for ( j = 0; j < G->numVertexes; j++)
        {
            G->arc[i][j]=0;
        }
    }
    
    /*4.将图中的连接信息输入到边表中*/
    G->arc[0][1]=1;
    G->arc[0][5]=1;
    
    G->arc[1][2]=1;
    G->arc[1][8]=1;
    G->arc[1][6]=1;
    
    G->arc[2][3]=1;
    G->arc[2][8]=1;
    
    G->arc[3][4]=1;
    G->arc[3][7]=1;
    G->arc[3][6]=1;
    G->arc[3][8]=1;
    
    G->arc[4][5]=1;
    G->arc[4][7]=1;
    
    G->arc[5][6]=1;
    
    G->arc[6][7]=1;
    
    /*5.无向图是对称矩阵.构成对称*/
    for(i = 0; i < G->numVertexes; i++)
    {
        for(j = i; j < G->numVertexes; j++)
        {
            G->arc[j][i] =G->arc[i][j];
        }
    }
}

/*
 4.2 ***需要用到的队列结构与相关功能函数***
 */

/* 循环队列的顺序存储结构 */
typedef struct
{
    int data[MAXSIZE];
    int front;        /* 头指针 */
    int rear;        /* 尾指针,若队列不空,指向队列尾元素的下一个位置 */
}Queue;

/* 初始化一个空队列Q */
Status InitQueue(Queue *Q)
{
    Q->front=0;
    Q->rear=0;
    return  OK;
}

/* 若队列Q为空队列,则返回TRUE,否则返回FALSE */
Status QueueEmpty(Queue Q)
{
    if(Q.front==Q.rear) /* 队列空的标志 */
    return TRUE;
    else
    return FALSE;
}

/* 若队列未满,则插入元素e为Q新的队尾元素 */
Status EnQueue(Queue *Q,int e)
{
    if ((Q->rear+1)%MAXSIZE == Q->front)    /* 队列满的判断 */
    return ERROR;
    Q->data[Q->rear]=e;            /* 将元素e赋值给队尾 */
    Q->rear=(Q->rear+1)%MAXSIZE;/* rear指针向后移一位置, */
    /* 若到最后则转到数组头部 */
    return  OK;
}

/* 若队列不空,则删除Q中队头元素,用e返回其值 */
Status DeQueue(Queue *Q,int *e)
{
    if (Q->front == Q->rear)            /* 队列空的判断 */
    return ERROR;
    *e=Q->data[Q->front];                /* 将队头元素赋值给e */
    Q->front=(Q->front+1)%MAXSIZE;    /* front指针向后移一位置, */
    /* 若到最后则转到数组头部 */
    return  OK;
}
/******** Queue End **************/

/*4.3 邻接矩阵广度优先遍历-代码实现*/
Boolean visited[MAXVEX]; /* 访问标志的数组 */
void BFSTraverse(MGraph G){
    
    int temp = 0;
    
    //1.
    Queue Q;
    InitQueue(&Q);
    
    //2.将访问标志数组全部置为"未访问状态FALSE"
    for (int i = 0 ; i < G.numVertexes; i++) {
        visited[i] = FALSE;
    }
    
    //3.对遍历邻接表中的每一个顶点(对于连通图只会执行1次,这个循环是针对非连通图)
    for (int i = 0 ; i < G.numVertexes; i++) {
        
        if(!visited[i]){
            visited[i] = TRUE;
            printf("%c  ",G.vexs[i]);
            
            //4. 入队
            EnQueue(&Q, i);
            while (!QueueEmpty(Q)) {
                //出队
                DeQueue(&Q, &i);
                for (int j = 0; j < G.numVertexes; j++) {
                    if(G.arc[i][j] == 1 && !visited[j])
                    {    visited[j] = TRUE;
                        printf("%c   ",G.vexs[j]);
                        EnQueue(&Q, j);
                    }
                }
            }
        }
        
    }
    
    
}

int main(int argc, const char * argv[]) {
    // insert code here...
    printf("邻接矩阵广度优先遍历!\n");
    MGraph G;
    CreateMGraph(&G);
    BFSTraverse(G);
    printf("\n");
    return 0;
}

####邻接表广度优先遍历代码实现逻辑

#include "stdio.h"
#include "stdlib.h"

#include "math.h"
#include "time.h"

#define OK 1
#define ERROR 0
#define TRUE 1
#define FALSE 0

#define MAXSIZE 9 /* 存储空间初始分配量 */
#define MAXEDGE 15
#define MAXVEX 9
#define INFINITYC 65535

typedef int Status;    /* Status是函数的类型,其值是函数结果状态代码,如OK等 */
typedef int Boolean; /* Boolean是布尔类型,其值是TRUE或FALSE */

typedef char VertexType; /* 顶点类型应由用户定义 */
typedef int EdgeType; /* 边上的权值类型应由用户定义 */

/* 邻接矩阵结构 */
typedef struct
{
    VertexType vexs[MAXVEX]; /* 顶点表 */
    EdgeType arc[MAXVEX][MAXVEX];/* 邻接矩阵,可看作边表 */
    int numVertexes, numEdges; /* 图中当前的顶点数和边数 */
}MGraph;

/* 邻接表结构****************** */
typedef struct EdgeNode /* 边表结点 */
{
    int adjvex;    /* 邻接点域,存储该顶点对应的下标 */
    int weight;        /* 用于存储权值,对于非网图可以不需要 */
    struct EdgeNode *next; /* 链域,指向下一个邻接点 */
}EdgeNode;

typedef struct VertexNode /* 顶点表结点 */
{
    int in;    /* 顶点入度 */
    char data; /* 顶点域,存储顶点信息 */
    EdgeNode *firstedge;/* 边表头指针 */
}VertexNode, AdjList[MAXVEX];

typedef struct
{
    AdjList adjList;
    int numVertexes,numEdges; /* 图中当前顶点数和边数 */
}graphAdjList,*GraphAdjList;

/*4.1 构建一个邻接矩阵*/
void CreateMGraph(MGraph *G)
{
    int i, j;
    
    //1. 确定图的顶点数以及边数
    G->numEdges=15;
    G->numVertexes=9;
    
    /*2.读入顶点信息,建立顶点表 */
    G->vexs[0]='A';
    G->vexs[1]='B';
    G->vexs[2]='C';
    G->vexs[3]='D';
    G->vexs[4]='E';
    G->vexs[5]='F';
    G->vexs[6]='G';
    G->vexs[7]='H';
    G->vexs[8]='I';
    
    /*3. 初始化图中的边表*/
    for (i = 0; i < G->numVertexes; i++)
    {
        for ( j = 0; j < G->numVertexes; j++)
        {
            G->arc[i][j]=0;
        }
    }
    
    /*4.将图中的连接信息输入到边表中*/
    G->arc[0][1]=1;
    G->arc[0][5]=1;
    
    G->arc[1][2]=1;
    G->arc[1][8]=1;
    G->arc[1][6]=1;
    
    G->arc[2][3]=1;
    G->arc[2][8]=1;
    
    G->arc[3][4]=1;
    G->arc[3][7]=1;
    G->arc[3][6]=1;
    G->arc[3][8]=1;
    
    G->arc[4][5]=1;
    G->arc[4][7]=1;
    
    G->arc[5][6]=1;
    
    G->arc[6][7]=1;
    
    /*5.无向图是对称矩阵.构成对称*/
    for(i = 0; i < G->numVertexes; i++)
    {
        for(j = i; j < G->numVertexes; j++)
        {
            G->arc[j][i] =G->arc[i][j];
        }
    }
}

/*4.2 利用邻接矩阵构建邻接表*/
void CreateALGraph(MGraph G,GraphAdjList *GL){
    
    //1.创建邻接表,并且设计邻接表的顶点数以及弧数
    *GL = (GraphAdjList)malloc(sizeof(graphAdjList));
    (*GL)->numVertexes = G.numVertexes;
    (*GL)->numEdges = G.numEdges;
    
    //2. 从邻接矩阵中将顶点信息输入
    for (int i = 0; i < G.numVertexes; i++) {
        //顶点入度为0
        (*GL)->adjList[i].in = 0;
        //顶点信息
        (*GL)->adjList[i].data = G.vexs[i];
        //顶点边表置空
        (*GL)->adjList[i].firstedge = NULL;
    }
    
    //3. 建立边表
    EdgeNode *e;
    for (int i = 0; i < G.numVertexes; i++) {
        for (int j = 0; j < G.numVertexes; j++) {
            if (G.arc[i][j] == 1) {
                
                //创建边表中的邻近结点 i->j
                e = (EdgeNode *)malloc(sizeof(EdgeNode));
                //邻接序号为j
                e->adjvex = j;
                //将当前结点的指向adjList[i]的顶点边表上
                e->next = (*GL)->adjList[i].firstedge;
                (*GL)->adjList[i].firstedge = e;
                //顶点j 上的入度++;
                (*GL)->adjList[j].in++;
                
                //                //创建边表中的邻近结点 j->i
                //                e = (EdgeNode *)malloc(sizeof(EdgeNode));
                //                //邻接序号为j
                //                e->adjvex = i;
                //                //将当前结点的指向adjList[i]的顶点边表上
                //                e->next = (*GL)->adjList[j].firstedge;
                //                (*GL)->adjList[j].firstedge = e;
                //                //顶点j 上的入度++;
                //                (*GL)->adjList[i].in++;
            }
        }
    }
    
    
}

/*
 5.2 ***需要用到的队列结构与相关功能函数***
 */
/* 循环队列的顺序存储结构 */
typedef struct
{
    int data[MAXSIZE];
    int front;        /* 头指针 */
    int rear;        /* 尾指针,若队列不空,指向队列尾元素的下一个位置 */
}Queue;

/* 初始化一个空队列Q */
Status InitQueue(Queue *Q)
{
    Q->front=0;
    Q->rear=0;
    return  OK;
}

/* 若队列Q为空队列,则返回TRUE,否则返回FALSE */
Status QueueEmpty(Queue Q)
{
    if(Q.front==Q.rear) /* 队列空的标志 */
    return TRUE;
    else
    return FALSE;
}

/* 若队列未满,则插入元素e为Q新的队尾元素 */
Status EnQueue(Queue *Q,int e)
{
    if ((Q->rear+1)%MAXSIZE == Q->front)    /* 队列满的判断 */
    return ERROR;
    Q->data[Q->rear]=e;            /* 将元素e赋值给队尾 */
    Q->rear=(Q->rear+1)%MAXSIZE;/* rear指针向后移一位置, */
    /* 若到最后则转到数组头部 */
    return  OK;
}

/* 若队列不空,则删除Q中队头元素,用e返回其值 */
Status DeQueue(Queue *Q,int *e)
{
    if (Q->front == Q->rear)            /* 队列空的判断 */
    return ERROR;
    *e=Q->data[Q->front];                /* 将队头元素赋值给e */
    Q->front=(Q->front+1)%MAXSIZE;    /* front指针向后移一位置, */
    /* 若到最后则转到数组头部 */
    return  OK;
}
/* *********************** Queue End ******************************* */
/*5.3 邻接表广度优先遍历*/
Boolean visited[MAXSIZE]; /* 访问标志的数组 */
void BFSTraverse(GraphAdjList GL){
    
    //1.创建结点
    EdgeNode *p;
    
    Queue Q;
    InitQueue(&Q);
    

    //2.将访问标志数组全部置为"未访问状态FALSE"
    for(int i = 0; i < GL->numVertexes; i++)
        visited[i] = FALSE;
    
    //3.对遍历邻接表中的每一个顶点(对于连通图只会执行1次,这个循环是针对非连通图)
    for(int i = 0 ;i < GL->numVertexes;i++){
        //4.判断当前结点是否被访问过.
        if(!visited[i]){
            visited[i] = TRUE;
            //打印顶点
            printf("%c ",GL->adjList[i].data);
            
            EnQueue(&Q, i);
            while (!QueueEmpty(Q)) {
                DeQueue(&Q, &i);
                p = GL->adjList[i].firstedge;
                while (p) {
                    //判断
                    if(!visited[p->adjvex]){
                        visited[p->adjvex] = TRUE;
                         printf("%c ",GL->adjList[p->adjvex].data);
                        EnQueue(&Q, p->adjvex);
                    }
                    p = p->next;
                }
            }
            
        }
    }
    
}

int main(int argc, const char * argv[]) {
    // insert code here...
    printf("邻接表广度优先遍历\n");
    MGraph G;
    GraphAdjList GL;
    CreateMGraph(&G);
    CreateALGraph(G,&GL);
   
    BFSTraverse(GL);
    printf("\n");
    return 0;
}