数论相关公式

234 阅读1分钟

ACM模版

数论相关公式

欧拉定理

对于互质的整数a和n,有a^φ(n) ≡ 1(mod n)

费马定理

a是不能被质数p整除的正整数,有a^(p-1) ≡ 1(mod p)

Polya定理

设G是p个对象的一个置换群,用k种颜色去染这p个对象,若一种染色方案在群G的作用下变为一种方案,则这两个方案当作是同一种方案,这样的不同染色方案数为:
L = 1 / |G| x ∑(k^C(f)), f ∈ G

C(f)为循环节,|G|表示群的置换方法数。

对于n个位置的手镯,有n种旋转置换和n种翻转置换。
对于旋转置换:
C(f[i]) = gcd(n, i),i表示旋转i颗宝石以后,i = 0时,gcd(n, 0) = n;
对于翻转置换:
如果n为偶数:则有n / 2个置换C(f) = n / 2,有n / 2个置换C(f) = n / 2 + 1;如果n为奇数:则有n个置换C(f) = n / 2 + 1。

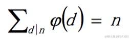
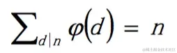
欧拉函数 φ(n)

φ(n)积性函数,对于一个质数p和正整数k,有
φ(p^k) = p^k - p^(k-1) = (p - 1)p^(k - 1) = p^k(1 - 1 / p)

公式

当n > 1时,1 … n中与n互质的整数和为nφ(n) / 2。

2n 位数

len=(int)(n∗long10(2))+1,(2n−1同样适用)

默慈金数 HVD 问题

m[i]={

i,m[i−1]∗(2∗i+1)+m[i−2]∗(3∗i−3)i+2,if i∈{

1,2}if i>2