Python如何解决“高等数学”的问题?

1,479 阅读2分钟

使用Python解决高等数学中极限、导数、偏导数、定积分、不定积分、双重积分等问题

Sympy是一个Python的科学计算库,它旨在成为功能齐全的计算机代数系统。 SymPy 包括从基本符号算术到微积分,代数,离散数学和量子物理学的功能。 它可以在 LaTeX 中显示结果。

image.png

看到这图,是不是感觉快喘不过气了呢。Python来帮你解决。

from sympy import *
1

输入“x= symbols(“x”)”命令定义一个符号

x = Symbol("x")
y = Symbol("y")

1. 实用技巧

1.1 符号函数

sympy提供了很多数学符号,总结如下

虚数单位

sympy.I

自然对数

sympy.E 

无穷大

sympy.oo

圆周率

 sympy.pi

求n次方根

 sympy.root(8,3)

取对数

sympy.log(1024,2)

求阶乘

sympy.factorial(4)

三角函数

sympy.sin(sympy.pi)
sympy.tan(sympy.pi/4)
sympy.cos(sympy.pi/2)

1.2 展开表达式expand

f = (1+x)**3
expand(f)

image.png

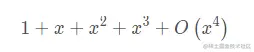
1.3 泰勒展开公式series

ln(1+x).series(x,0,4)

image.png

sin(x).series(x,0,8)

image.png

cos(x).series(x,0,9)

image.png

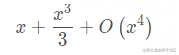
(1/(1+x)).series(x,0,5)

image.png

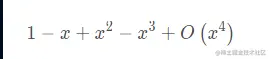
tan(x).series(x,0,4)

image.png

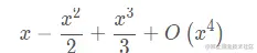
(1/(1+x)).series(x,0,5)

image.png

(1/(1+x)).series(x,0,4)

image.png

1.4 符号展开

a = Symbol("a")
b = Symbol("b")
#simplify( )普通的化简
simplify((x**3 + x**2 - x - 1)/(x**2 + 2*x + 1))
#trigsimp( )三角化简
trigsimp(sin(x)/cos(x))
#powsimp( )指数化简
powsimp(x**a*x**b)

image.png

2. 求极限limit

limit(sin(x)/x,x,0)

1

1 \displaystyle 11
f2=(1+x)**(1/x)

image.png

重要极限

f1=sin(x)/x
f2=(1+x)**(1/x)
f3=(1+1/x)**x
lim1=limit(f1,x,0)
lim2=limit(f2,x,0)
lim3=limit(f3,x,oo)
print(lim1,lim2,lim3)


1 E E

dir可以表示极限的趋近方向

f4 = (1+exp(1/x))
f4

image.png

lim4 = limit(f4,x,0,dir="-") 
lim4

1

lim5 = limit(f4,x,0,dir="+")
lim5

3. 求导diff

diff(函数,自变量,求导次数)

3.1 一元函数

求导问题

diff(sin(2*x),x)

2cos(2x)

diff(ln(x),x)

image.png

3.2 多元函数

求偏导问题

diff(sin(x*y),x,y)

−xysin(xy)+cos(xy)

4. 积分integrate

4.1 定积分

  • 函数的定积分: integrate(函数,(变量,下限,上限))

  • 函数的不定积分: integrate(函数,变量)

    f = x**2 + 1 integrate(f,(x,-1.1))

−1.54366666666667

integrate(exp(x),(x,-oo,0))

1

4.2 不定积分

f = 1/(1+x*x)
integrate(f,x)

atan(x)

4.3 双重积分

f = (4/3)*x + 2*y
integrate(f,(x,0,1),(y,-3,4))

11.6666666666667

5. 求解方程组solve

#解方程组
#定义变量
f1=x+y-3
f2=x-y+5
solve([f1,f2],[x,y])

{x: -1, y: 4}

6. 计算求和式summation

计算求和式可以使用sympy.summation函数,其函数原型为sympy.summation(f, *symbols, **kwargs)

image.png

sympy.summation(2 * n,(n,1,100))

10100