引言
当前无论是学术界还是工业界,深度学习都受到极大的追捧,尤其是在Google开源深度学习平台TensorFlow之后,更是给深度学习火上浇油。目前在开源社区Github上所有开源项目中,TensorFlow最为活跃,从推出到现在,经历了几个版本的演进,可以说能够灵活高效地解决大量实际问题。本文主要尝试阐述TensorFlow在自然语言处理(NLP)领域的简单应用,让大家伙儿更加感性地认识TensorFlow。
说到NLP,其实我对它并不是很熟悉,之前也未曾有过NLP的相关经验,本文是我最近学习TensorFlow的一些积累,就当抛砖引玉了。当前互联网每天都在产生大量的文本和音频数据,通过挖掘这些数据,我们可以做一些更加便捷的应用,例如机器翻译、语音识别、词性标注以及信息检索等,这些都属于NLP范畴。而在NLP领域中,语言模型是最基本的一个环节,本文主要围绕语言模型展开,首先介绍其基本原理,进而引出词向量(word2vec)、循环神经网络(RNN)、长短时记忆网络(LSTM)等深度学习相关模型,并详细介绍如何利用 TensorFlow 实现上述模型。
语言模型
语言模型是一种概率模型,它是基于一个语料库创建,得到每个句子出现的概率,通俗一点讲就是看一句话是不是正常人说出来的,数学上表示为:
P(W)=P(w1w2…wt)=P(w1)P(w2|w1)P(w3|w1w2)⋯P(wt|w1w2⋯wt−1)(2-1)(2-1)P(W)=P(w1w2…wt)=P(w1)P(w2|w1)P(w3|w1w2)⋯P(wt|w1w2⋯wt−1)
上述公式的意义是:一个句子出现的概率等于给定前面的词情况下,紧接着后面的词出现的概率。它是通过条件概率公式展开得到。其中条件概率 P(w2|w1),P(w3|w1w2),⋯,P(wt|w1w2⋯wt−1)P(w2|w1),P(w3|w1w2),⋯,P(wt|w1w2⋯wt−1) 就是创建语言模型所需要的参数,每个条件概率的意义解释为:根据前面的词预测下一个词的概率。有了这些条件概率参数,给定一个句子,就可以通过以上公式得到一个句子出现的概率。例如有一句话“php是最好的语言”(我不确定这是不是自然语言),假设已经分词为“php”、“是”、“最好的”、“语言”,那么它出现的概率为P(“php”,“是”,“最好的”,“语言”)=P(“php”)P(“是”|“php”)P(“最好的”|“php”,“是”)P(“语言”|“php”,“是”,“最好的”),如果这个概率较大,那么判断为正常的一句话。以上这些条件概率通过如下贝叶斯公式得到:
P(wt|w1w2⋯wt−1)=P(w1w2⋯wt)P(w1w2⋯wt−1)(2-2)(2-2)P(wt|w1w2⋯wt−1)=P(w1w2⋯wt)P(w1w2⋯wt−1)
根据大数定理上述公式又可以近似为:
P(wt|w1w2⋯wt−1)=count(w1w2⋯wt)count(w1,w2,⋯wt−1)(2-3)(2-3)P(wt|w1w2⋯wt−1)=count(w1w2⋯wt)count(w1,w2,⋯wt−1)
假如语料库里有 NN 个词,一个句子长度为 TT ,那么就有 NTNT 种可能,每一种可能都要计算 TT 个条件概率参数,最后要计算 TNTTNT 个参数并保存,不仅计算量大,对于内存要求也是惊人。那么如何避免这个问题呢,之前穷举的方法行不通,那么换个思路,采用一种偷懒的处理方法,就是将上述公式中条件概率做个如下近似:
P(wt|w1w2⋯wt−1)≈P(wt|wt−n+1⋯wt−1)(2-4)(2-4)P(wt|w1w2⋯wt−1)≈P(wt|wt−n+1⋯wt−1)
这意思就是说一个词出现的概率只与它前面 n−1n−1 个词有关,而不是与它前面所有的词有关,这样极大的减少了统计的可能性,提高了计算效率,这种处理方法称之为 n-gram 模型,通常 nn 取2~3就能得到不错的效果。总结起来,n-gram 模型就是统计语料库中词串出现的次数,一次性计算得到词串的概率并将其保存起来,在预测一个句子时,直接通过前面所述的条件概率公式得到句子出现的概率。
近年也流行起神经网络语言模型,从机器学习的角度来看,一开始不全部计算这些词串的概率值,而是通过一个模型对词串的概率进行建模,然后构造一个目标函数,不断优化这个目标,得到一组优化的参数,当需要哪个词串概率时,利用这组优化的参数直接计算得到对应的词串概率。将词串概率 P(w|context(w))P(w|context(w)) 看做是 ww 和 context(w)context(w) 的函数,其中 context(w)context(w) 表示此 ww 的上下文,即相当于前面所述的 n-gram 模型的前 n−1n−1 个词,那么就有如下数学表示。
P(w|context(w))=F(w,context(w),Θ)(2-5)(2-5)P(w|context(w))=F(w,context(w),Θ)
目标函数采用对数似然函数,表示如下(其中 NN 代表语料库中词典的大小):
Obj=1N∑i=1NlogP(wi|contexti)(2-6)(2-6)Obj=1N∑i=1NlogP(wi|contexti)
通过优化算法不断最小化目标函数得到一组优化的参数 ΘΘ ,在神经网络中参数 ΘΘ 则为网络层与层间的权值与偏置。那么在用神经网络学习语言模型[1]时,如何表示一个词呢?通常,在机器学习领域,是将一个样本对象抽象为一个向量,所以类似地,神经网络语言模型中是将词(或短语)表示为向量,通常叫做word2vec。那么神经网络语言模型就可以表示如下示意图。
上述神经网络包括输入层、投影层、隐藏层以及输出层,其中投影层只是对输入层做了一个预处理,将输入的所有词进行一个连接操作,假如一个词表示为 mm 维向量,那么由 n−1n−1 个词连接后则为 (n−1)m(n−1)m 维向量,将连接后的向量作为神经网络的输入,经过隐藏层再到输出层,其中 WW 、UU 分别为投影层到隐藏层、隐藏层到输出层的权值参数,pp 、qq 分别为投影层到隐藏层、隐藏层到输出层的偏置参数,整个过程数学表达如下:
ZY=σ(WX+p)=UZ+q(2-7)(2-7)Z=σ(WX+p)Y=UZ+q
其中 σσ 为sigmoid函数,作为隐藏层的激活函数,输出层的输出向量为 NN 维,对应于语料库中词典的大小。一般需要再经过softmax归一化为概率形式,得到预测语料库中每个词的概率。以上神经网络语言模型看似很简单,但是词向量怎么来呢,如何将一个词转化为向量的形式呢?下面作详细阐述。
词向量(word2vec)
词向量要做的事就是将语言数学化表示,以往的做法是采用 One-hot Representation 表示一个词,即语料库词典中有 NN 个词,那么向量的维度则为 NN ,给每个词编号,对于第 ii 个词,其向量表示除了第 ii 个单元为1,其他单元都为0的 NN 维向量,这种词向量的缺点显而易见,一般来说语料库的词典规模都特别大,那么词向量的维数就非常大,并且词与词之间没有关联性,并不能真实地刻画语言本身的性质,例如“腾讯”、“小马哥”这两个词通过One-hot向量表示,没有任何关联。为了克服One-hot Representation 的缺点,Mikolov大神提出了一种 Distributed Representation[2],说个题外话,在大家都在如火如荼的用CNN做图像识别的时候,这哥们却在研究如何用神经网络处理NLP问题,最后发了大量关于神经网络NLP的高水平论文,成为这一领域的灵魂人物之一。顾名思义,Distributed Representation 就是把词的信息分布到向量不同的分量上,而不是像 One-hot Representation 那样所有信息集中在一个分量上,它的做法是将词映射到 mm 维空间,表示为 mm 维向量,也称之为 Word Embedding,这样一方面可以减小词向量的维度,另一方面,可以将有关联的词映射为空间中相邻的点,词与词之间的关联性通过空间距离来刻画,如下图所示。
词被映射到3维空间,每个词表示为一个3维向量,相近的词离的较近,可以看到两组差不多关系的词,他们之间的词向量距离也差不多。
要想得到词向量,需要借助语言模型训练得到,本质上来说,词向量是在训练语言模型过程中得到的副产品。解决word2vec问题有两种模型,即 CBOW 和 Skip-Gram 模型[3],如下图所示:
CBOW 模型是根据词的上下文预测当前词,这里的上下文是由待预测词的前后 cc 个词组成。而 Skip-Gram 模型则相反,是通过当前词去预测上下文。给定一个语料库作为训练集,就可以通过以上模型训练出每个词的向量表示。从实验结果来看,CBOW 模型会平滑掉一些分布信息,因为它将词的上下文作为单个样本,而 Skip-Gram 模型将词上下文拆分为多个样本,训练得到的结果更为精确,为此,TensorFlow 中 word2vec 采用的是 Skip-Gram 模型,对应于文[2]中所提出的一种更为优化的 Skip-Gram 模型,下面着重介绍其原理,更多关于 CBOW 和 Skip-Gram 模型细节可以参阅文[3]。
Skip-Gram 模型
前面也提到, Skip-Gram 模型是根据当前词去预测上下文,例如有如下语句:
“php 是 世界上 最好的 语言”
假定上下文是由待预测词的前后2个词组成,那么由以上句子可以得到如下正样本:
(世界上, 是), (世界上, php), (世界上, 最好的), (世界上, 语言), (最好的, 世界上), …
训练目标为最大化以下对数似然函数:
Obj=1N∑i=1N∑−c⩽j⩽c,j≠0log p(wi+j|wi)(3-1)(3-1)Obj=1N∑i=1N∑−c⩽j⩽c,j≠0log p(wi+j|wi)
其中 cc 为上下文的距离限定,即仅取词 wtwt 的前后 cc 个词进行预测。cc 越大,训练结果更精确,但是计算复杂度加大,训练成本相应也更大,一般取 cc 为2~3就能训练出不错的结果。基本的 Skip-Gram 模型采用softmax方法将以上目标函数中概率 p(wi+j|wi)p(wi+j|wi) 定义为:
p(wO|wI)=exp(θwOTvwI)∑w∈Wexp(θwTvwI)(3-2)(3-2)p(wO|wI)=exp(θwOTvwI)∑w∈Wexp(θwTvwI)
其中 vwvw 表示输入词 ww 的向量,θwθw 表示预测结果为 ww 的权值参数,二者都是待训练的参数。不难发现,通过以上公式,计算每个词的损失函数都要用到词典中的所有词,而一般词典的量级都非常大,所以这种方式是不切实际的。对于一个样本,例如(“世界上”, “php”),无非是根据词“世界上”去预测词“php”,那么就可以看成一个二分类问题,对于输入词“世界上”,预测“php”为正,预测其他则为负,其他词可能是除“php”以外的所有词,为了简化计算,可以通过采样的方式,每次随机从所有除“php”以外的词中取 kk 个词作为负样本对象,那么训练目标则可以转化为类似于逻辑回归目标函数:
Obj=logσ(θwOTvwI)+∑j=1kEwj∼Pn(w)[logσ(−θwjTvwI)](3-3)(3-3)Obj=logσ(θwOTvwI)+∑j=1kEwj∼Pn(w)[logσ(−θwjTvwI)]
以上表达式称之为 NCE(Noise-contrastive estimation)[4]目标函数,其中等号右边第二项表示通过一个服从 Pn(w)Pn(w)分布的采样算法取得 kk 个负样本的期望损失。文[2]中采用了一个简单的一元分布采样,简化了计算,称之为负采样(Negative Sampling),下面详细介绍负采样算法。
负采样算法
词典中的每个词在语料库中出现的频次有高有低,理论上来说,对于那些高频词,被选为负样本的概率较大,对于那些低频词,被选为负样本的概率较小。基于这个基本事实,可以通过带权采样方法来实现,假设每个词的词频表示为单位线段上的一小分段,对于词典大小为 NN 的语料库,可以将词典中所有的词表示为单位线段上的一点,再在单位线段上等距离划分 MM 个等分, M>>NM>>N , 具体采样过程就是随机得到一个数 i<Mi<M,通过映射找到其对应的词,如下如所示。
文[2]中在实际负采样计算词频时,做了一点修正,不是简单的统计词的出现次数,而是对词的出现次数做了 αα 次幂处理,最后词频公式为:
freq(w)=[counter(w)]3/4∑u∈W[counter(u)]3/4(3-4)(3-4)freq(w)=[counter(w)]3/4∑u∈W[counter(u)]3/4
高频词二次采样
在一个大语料库中,很多常见的词大量出现,如“的”、“是”等。这些词虽然词频较高,但是能提供的有用信息却很少。一般来说,这些高频词的词向量在训练几百万样本后基本不会有太大的变化,为了提高训练速度,平衡低频词和高频词,文[2]中提出一种针对高频词二次采样的技巧,对于每个词,按如下概率丢弃而不做训练。
P(wi)=1−tf(wi)−−−−−√(3-5)(3-5)P(wi)=1−tf(wi)
其中f(wi)f(wi)表示词频,从上述公式中不难发现,二次采样仅针对那些满足 f(wi)>tf(wi)>t 所谓的高频词有效,参数 tt 根据语料库的大小而设置,一般设置为 10−510−5 左右。
TensorFlow实现
根据以上实现原理,下面结合代码阐述利用TensorFlow实现一个简易的word2vec模型[5],借助TensorFlow丰富的api以及强大的计算引擎,我们可以非常方便地表达模型。给定语料库作为训练数据,首先扫描语料库建立字典,为每个词编号,同时将那些词频低于min_count的词过滤掉,即不对那些陌生词生成词向量。对于一个样本(“世界上”, “php”),利用负采样得到若干负实例,分别计算输入词为“世界上”到“php”以及若干负样本的logit值,最后通过交叉熵公式得到目标函数(3-3)。
构建计算流图
首先定义词向量矩阵,也称为 embedding matrix,这个是我们需要通过训练得到的词向量,其中vocabulary_size表示词典大小,embedding_size表示词向量的维度,那么词向量矩阵为 vocabulary_size ×× embedding_size,利用均匀分布对它进行随机初始化:
| html 1 2 | ```html
embeddings = tf.Variable( tf.random_uniform([vocabulary_size, embedding_size], -1.0, 1.0))
| ---------------- | ----------------------------------------------------------------------------------------------------------- |
定义权值矩阵和偏置向量(对应于3-3式中的 θθ),并初始化为0:
| ```html
1 2 3 4
``` | ```html
weights = tf.Variable( tf.truncated_normal([vocabulary_size, embedding_size], stddev=1.0 / math.sqrt(embedding_size))) biases = tf.Variable(tf.zeros([vocabulary_size]))
``` |
| -------------------- | ------------------------------------------------------------------------------------------------------------------------------------------------------------------------------------------------------------- |
给定一个batch的输入,从词向量矩阵中找到对应的向量表示,以及从权值矩阵和偏置向量中找到对应正确输出的参数,其中`examples`是输入词,`labels`为对应的正确输出,一维向量表示,每个元素为词在字典中编号:
| ```html
1 2 3 4 5 6
``` | ```html
# Embeddings for examples: [batch_size, embedding_size] example_emb = tf.nn.embedding_lookup(embeddings, examples) # Weights for labels: [batch_size, embedding_size] true_w = tf.nn.embedding_lookup(weights, labels) # Biases for labels: [batch_size, 1] true_b = tf.nn.embedding_lookup(biases, labels)
``` |
| ------------------------ | ------------------------------------------------------------------------------------------------------------------------------------------------------------------------------------------------------------------------------------------------------------------------------------------------------------------------ |
负采样得到若干非正确的输出,其中`labels_matrix`为正确的输出词,采样的时候会跳过这些词,`num_sampled`为采样个数,`distortion`即为公式(3-4)中的幂指数:
| ```html
1 2 3 4 5 6 7 8 9 10 11 12 13
``` | ```html
labels_matrix = tf.reshape( tf.cast(labels, dtype=tf.int64), [batch_size, 1]) # Negative sampling. sampled_ids, _, _ = tf.nn.fixed_unigram_candidate_sampler( true_classes=labels_matrix, num_true=1, num_sampled=num_samples, unique=True, range_max=vocab_size, distortion=0.75, unigrams=vocab_counts.tolist())
``` |
| ------------------------------------------ | -------------------------------------------------------------------------------------------------------------------------------------------------------------------------------------------------------------------------------------------------------------------------------------------------------------------------------------------------------------------------------------- |
找到采样样本对应的权值和偏置参数:
| ```html
1 2 3 4
``` | ```html
# Weights for sampled ids: [num_sampled, embedding_size] sampled_w = tf.nn.embedding_lookup(weights, sampled_ids) # Biases for sampled ids: [num_sampled, 1] sampled_b = tf.nn.embedding_lookup(biases, sampled_ids)
``` |
| -------------------- | --------------------------------------------------------------------------------------------------------------------------------------------------------------------------------------------------------------------------------- |
分别计算正确输出和非正确输出的logit值,即计算 WX+bWX+b,并通过交叉熵得到目标函数(3-3):
| ```html
1 2 3 4 5 6 7 8 9 10 11 12 13 14 15 16 17 18
``` | ```html
# True logits: [batch_size, 1] true_logits = tf.reduce_sum(tf.mul(example_emb, true_w), 1) + true_b # Sampled logits: [batch_size, num_sampled] # We replicate sampled noise lables for all examples in the batch # using the matmul. sampled_b_vec = tf.reshape(sampled_b, [num_samples]) sampled_logits = tf.matmul(example_emb, sampled_w, transpose_b=True) + sampled_b_vec # cross-entropy(logits, labels) true_xent = tf.nn.sigmoid_cross_entropy_with_logits( true_logits, tf.ones_like(true_logits)) sampled_xent = tf.nn.sigmoid_cross_entropy_with_logits( sampled_logits, tf.zeros_like(sampled_logits)) # NCE-loss is the sum of the true and noise (sampled words) # contributions, averaged over the batch. loss = (tf.reduce_sum(true_xent) + tf.reduce_sum(sampled_xent)) / batch_size
``` |
| --------------------------------------------------------- | --------------------------------------------------------------------------------------------------------------------------------------------------------------------------------------------------------------------------------------------------------------------------------------------------------------------------------------------------------------------------------------------------------------------------------------------------------------------------------------------------------------------------------------------------------------------------------------------------------------------------------------------------------------------------------------------------------------------------------------------------------------------------------------------------------------------------------------------------------------------------------------- |
训练模型
计算流图构建完毕后,我们需要去优化目标函数。采用梯度下降逐步更新参数,首先需要确定学习步长,随着迭代进行,逐步减少学习步长,其中`trained_words`为已训练的词数量,`words_to_train`为所有待训练的词数量:
| ```html
1 2
``` | ```html
lr = init_learning_rate * tf.maximum( 0.0001, 1.0 - tf.cast(trained_words, tf.float32) / words_to_train)
``` |
| ---------------- | -------------------------------------------------------------------------------------------------------------------------- |
定义优化算子,使用梯度下降训练模型:
| ```html
1 2 3 4 5
``` | ```html
optimizer = tf.train.GradientDescentOptimizer(lr) train = optimizer.minimize(loss, global_step=global_step, gate_gradients=optimizer.GATE_NONE) session.run(train)
``` |
| ---------------------- | ------------------------------------------------------------------------------------------------------------------------------------------------------------------------------------------------------------------------------------- |
验证词向量
经过以上步骤后,即可得到词向量矩阵,即上述代码中的变量`embeddings`,那么如何验证得到的词向量矩阵的好坏呢,Mikolov等人发现\[2],如果一对关系差不多的词,其词向量在空间中的连线近乎平行,如下图所示。
[](https://p3-juejin.byteimg.com/tos-cn-i-k3u1fbpfcp/5f6a45b62065438187255f01a7b25f08~tplv-k3u1fbpfcp-zoom-1.image)
为此,给定基准测试集,其每行包含4个词组成一个四元组 (w1,w2,w3,w4)(w1,w2,w3,w4) ,对于一个较好的词向量结果,每个四元组大致会有如下关系:
Vector(w1)−Vector(w2)+Vector(w4)=Vector(w3)Vector(w1)−Vector(w2)+Vector(w4)=Vector(w3)
## 循环神经网络(RNN)
人类不是从脑子一片空白开始思考,当你读一篇文章的时候,你会根据前文去理解下文,而不是每次看到一个词后就忘掉它,理解下一个词的时候又从头开始。传统的神经网络模型是从输入层到隐藏层再到输出层,每层之间的节点是无连接的,这种普通的神经网络不具备记忆功能,而循环神经网络(Recurrent Neural Network,RNN)就是来解决这类问题,它具备记忆性,通常用于处理时间序列问题,在众多NLP问题中,RNN取得了巨大成功以及广泛应用。
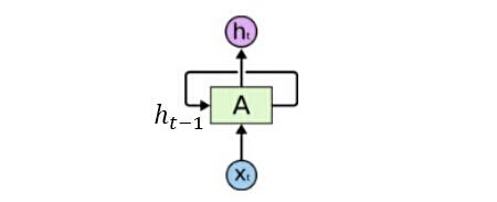
在RNN网络中,一个序列当前的输出除了与当前输入有关以外,还与前面的输出也有关,下图为RNN中一个单元的结构示意图,图片来源于文\[7]。
[](https://p3-juejin.byteimg.com/tos-cn-i-k3u1fbpfcp/98d03c4b6cfa4fba96fba93cde0bc78e~tplv-k3u1fbpfcp-zoom-1.image)
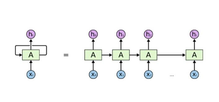
上图理解起来可能还不是很形象,根据时间序列将上图平铺展开得到如下图,其链式的特征揭示了 RNN 本质上是与序列相关的,所以 RNN 对于这类数据来说是最自然的神经网络架构。
[](https://p3-juejin.byteimg.com/tos-cn-i-k3u1fbpfcp/3498a0dd9710444f83111de541d1944a~tplv-k3u1fbpfcp-zoom-1.image)
然而 RNN 有一个缺点,虽然它可以将之前的信息连接到当前的输入上,但是如果当前输入与之前的信息时间跨度很大,由于梯度衰减等原因,RNN 学习如此远的信息的能力会下降,这个问题称之为长时间依赖(Long-Term Dependencies)问题。例如预测一句话“飞机在天上”下一个词,可能不需要太多的上下文就可以预测到下一个词为“飞”,这种情况下,相关信息与要预测的词之间的时间跨度很小,RNN 可以很容易学到之前的信息。再比如预测“他来自法国,…,他会讲”的下一个词,从当前的信息来看,下一个词可能是一种语言,但是要想准确预测哪种语言,就需要再去前文找信息了,由于前文的“法国”离当前位置的时间跨度较大,RNN很难学到如此远的信息。更多长时间依赖细节参考文\[8]。幸运的是,有一种 RNN 变种,叫做长短时记忆网络(Long Short Term Memory networks, LSTM),可以解决这个问题。
## 长短时记忆网络(LSTM)
LSTM 是一种带有选择性记忆功能的 RNN,它可以有效的解决长时间依赖问题,并能学习到之前的关键信息。如下图所示为 LSTM 展开后的示意图。
[](https://p3-juejin.byteimg.com/tos-cn-i-k3u1fbpfcp/f2da3522600a471293ad8e4afab6b9c7~tplv-k3u1fbpfcp-zoom-1.image)
相对于 RNN , LSTM 只是在每个单元结构上做了改进,在 RNN 中,每个单元结构只有单个激活函数,而 LSTM 中每个单元结构更为复杂,它增加了一条状态线(图中最上面的水平线),以记住从之前的输入学到的信息,另外增加三个门(gate)来控制其该状态,分别为忘记门、输入门和输出门。忘记门的作用是选择性地将之前不重要的信息丢掉,以便存储新信息;输入门是根据当前输入学习到新信息然后更新当前状态;输出门则是结合当前输入和当前状态得到一个输出,该输出除了作为基本的输出外,还会作为下一个时刻的输入。下面用数学的方式表达每个门的意思。
忘记门,要丢掉的信息如下:
ft=σ(Wf\[ht−1,xt]+bf)(5-1)(5-1)ft=σ(Wf\[ht−1,xt]+bf)
输入门,要增加的信息如下:
itCt\~=σ(Wi\[ht−1,xt]+bi)=tanh(WC\[ht−1,xt]+bC)(5-2)(5-2)it=σ(Wi\[ht−1,xt]+bi)Ct\~=tanh(WC\[ht−1,xt]+bC)
那么根据忘记门和输入门,状态更新如下:
Ct=ft∗Ct−1+it∗Ct\~(5-3)(5-3)Ct=ft∗Ct−1+it∗Ct\~
输出门,得到输出信息如下:
otht=σ(Wo\[ht−1,xt]+bo)=ot∗tanh(Ct)(5-4)(5-4)ot=σ(Wo\[ht−1,xt]+bo)ht=ot∗tanh(Ct)
LSTM 单元输入都是上一个时刻的输出与当前时刻的输入通过向量concat连接而得到,基于这个输入,利用sigmoid函数作为三个门的筛选器,分别得到 ftft 、itit 、otot,这三个筛选器分别选择部分分量对状态进行选择性忘记、对输入进行选择性输入、对输出进行选择性输出。以上是 LSTM 基本结构原理,在这基础上,根据不同的实际应用场景,演变出很多 LSTM 的变体,更多关于 LSTM 的详细解释请参考文\[7]。下面介绍一种深层 LSTM 网络\[9],该结构也是 TensorFlow 中 LSTM 所实现的根据\[10]。
### 深层LSTM网络
深度学习,其特点在于深,前面已经讲述单层 LSTM 网络结构,深层 LSTM 网络其实就是将多层 LSTM 叠加,形成多个隐藏层,如下图所示。
[](https://p3-juejin.byteimg.com/tos-cn-i-k3u1fbpfcp/e2170fce32d04be496589504fd021c32~tplv-k3u1fbpfcp-zoom-1.image)
上图中每个 LSTM 单元内部结构如下图所示,对于 ll 层 tt 时刻来说,hlt−1ht−1l 为 ll 层 t−1t−1 时刻(即上一个时刻)的输出,hl−1thtl−1 为 l−1l−1 层(即上一层) tt 时刻的输出,这两个输出叠加作为 ll 层 tt 时刻的输入。
[](https://p3-juejin.byteimg.com/tos-cn-i-k3u1fbpfcp/d7815d54326a485eb112c00bd797ee21~tplv-k3u1fbpfcp-zoom-1.image)
根据上面的结构,可以得到 ll 层 LSTM 数学表达, hl−1t,hlt−1,clt−1→hlt,clthtl−1,ht−1l,ct−1l→htl,ctl:
fiog clthlt=σ(Wf\[hl−1t,hlt−1]+bf)=σ(Wi\[hl−1t,hlt−1]+bi)=σ(Wo\[hl−1t,hlt−1]+bo)=tanh(Wg\[hl−1t,hlt−1]+bg)=f∗clt−1+i∗g=o∗tanh(clt)(5-5)(5-5)f=σ(Wf\[htl−1,ht−1l]+bf)i=σ(Wi\[htl−1,ht−1l]+bi)o=σ(Wo\[htl−1,ht−1l]+bo)g=tanh(Wg\[htl−1,ht−1l]+bg) ctl=f∗ct−1l+i∗ghtl=o∗tanh(ctl)
其中 clt−1ct−1l 表示上一时刻的状态,cltctl 表示由当前输入更新后的状态。
### 正则化
然而,实践证明大规模的 LSTM 网络很容易过拟合,实际应用中,需要采取正则化方法来避免过拟合,神经网络中常见的正则化方法是Dropout方法\[11],文\[12]提出一种简单高效的Dropout方法运用于 RNN/LTSM 网络。如下图所示,Dropout仅应用于虚线方向的输入,即仅针对于上一层的输出做Dropout。
[](https://p3-juejin.byteimg.com/tos-cn-i-k3u1fbpfcp/dff148c1260a4cc38e969d323390ecd5~tplv-k3u1fbpfcp-zoom-1.image)
根据上图的Dropout策略,公式(5-5)可以改写成如下形式:
fiog clthlt=σ(Wf\[D(hl−1t),hlt−1]+bf)=σ(Wi\[D(hl−1t),hlt−1]+bi)=σ(Wo\[D(hl−1t),hlt−1]+bo)=tanh(Wg\[D(hl−1t),hlt−1]+bg)=f∗clt−1+i∗g=o∗tanh(clt)(5-6)(5-6)f=σ(Wf\[D(htl−1),ht−1l]+bf)i=σ(Wi\[D(htl−1),ht−1l]+bi)o=σ(Wo\[D(htl−1),ht−1l]+bo)g=tanh(Wg\[D(htl−1),ht−1l]+bg) ctl=f∗ct−1l+i∗ghtl=o∗tanh(ctl)
其中 DD 表示Dropout操作符,会随机地将 hl−1thtl−1 的中的分量设置为零。如下图所示,黑色粗实线表示从 t−2t−2 时刻的信息流向 t+2t+2 时刻作为其预测的参考,它经历了 L+1L+1 次的Dropout,其中 LL 表示网络的层数。
[](https://p3-juejin.byteimg.com/tos-cn-i-k3u1fbpfcp/8637ffcca7d14a53ae7b62863303cf5d~tplv-k3u1fbpfcp-zoom-1.image)
### TensorFlow实现
根据前面所述的 LSTM 模型原理,实现之前提到的语言模型,即根据前文预测下一个词,例如输入“飞机在天上”预测下一个词“飞”,使用 TensorFlow 来实现 LSTM 非常的方便,因为 TensorFlow 已经提供了基本的 LSTM 单元结构的Operation,其实现原理就是基于文\[12]提出的带Dropout的 LSTM 模型。完整代码请参考[ptb_word_lm.py](https://github.com/tensorflow/tensorflow/blob/master/tensorflow/models/rnn/ptb/ptb_word_lm.py)
构建LSTM模型
利用TensorFlow提供的Operation,实现 LSTM 网络很简单,首先定义一个基本的 LSTM 单元,其中`size`为 LSTM 单元的输出维度,再对其添加Dropout,根据 LSTM 的层数`num_layers`得到多层的 RNN 结构单元。
| ```html
1 2 3 4
``` | ```html
lstm_cell = tf.nn.rnn_cell.BasicLSTMCell(size, forget_bias=0.0) lstm_cell = tf.nn.rnn_cell.DropoutWrapper( lstm_cell, output_keep_prob=keep_prob) cell = tf.nn.rnn_cell.MultiRNNCell([lstm_cell] * num_layers)
``` |
| -------------------- | ------------------------------------------------------------------------------------------------------------------------------------------------------------------------------------------------------------------------------- |
每次给定一个batch的输入,将 LSTM 网络的状态初始化为0。词的输入由词向量表示,所以先定义一个embedding矩阵,这里可以不要关心它一开始有没有,它会在训练过程中的慢慢得到的,仅作为训练的副产品。假设LSTM网络展开`num_steps`步,每一步给定一个batch的词作为输入,经过 LSTM 单元处理后,状态更新并得到输出,并通过softmax归一化后计算损失函数。
| ```html
1 2 3 4 5 6 7 8 9 10 11 12 13 14 15 16 17 18 19 20 21
``` | ```html
initial_state = cell.zero_state(batch_size, tf.float32) embedding = tf.get_variable("embedding", [vocab_size, size]) # input_data: [batch_size, num_steps] # targets: [batch_size, num_steps] input_data = tf.placeholder(tf.int32, [batch_size, num_steps]) targets = tf.placeholder(tf.int32, [batch_size, num_steps]) inputs = tf.nn.embedding_lookup(embedding, input_data) outputs = [] for time_step in range(num_steps): (cell_output, state) = cell(inputs[:, time_step, :], state) outputs.append(cell_output) output = tf.reshape(tf.concat(1, outputs), [-1, size]) softmax_w = tf.get_variable("softmax_w", [size, vocab_size]) softmax_b = tf.get_variable("softmax_b", [vocab_size]) logits = tf.matmul(output, softmax_w) + softmax_b loss = tf.nn.seq2seq.sequence_loss_by_example( [logits], [tf.reshape(targets, [-1])], [tf.ones([batch_size * num_steps])])
``` |
| ------------------------------------------------------------------ | -------------------------------------------------------------------------------------------------------------------------------------------------------------------------------------------------------------------------------------------------------------------------------------------------------------------------------------------------------------------------------------------------------------------------------------------------------------------------------------------------------------------------------------------------------------------------------------------------------------------------------------------------------------------------------------------------------------------------------------------------------------------------------------------------------------------------------------------------------------------------------------------------------------- |
训练模型
简单采用梯度下降优化上述损失函数,逐步迭代,直至最大迭代次数,得到`final_state`,即为LSTM所要学习的参数。
| ```html
``` | ```html
optimizer = tf.train.GradientDescentOptimizer(lr) train_op = optimizer.minimize(loss) for i in range(max_epoch): _, final_state = session.run([train_op, state], {input_data: x, targets: y})
``` |
| ------------- | --------------------------------------------------------------------------------------------------------------------------------------------------------------------------------------------------------------------------------------------------------------------------- |
验证测试模型
模型训练完毕后,我们已经得到LSTM网络的状态,给定输入,经过LSTM网络后即可得到输出了。
| ```html
1 2
``` | ```html
(cell_output, _) = cell(inputs, state) session.run(cell_output)
``` |
| ---------------- | ---------------------------------------------------------------------------- |
## 小结
在使用TensorFlow处理深度学习相关问题时,我们不需要太关注其内部实现细节,只需把精力放到模型的构建上,利用TensorFlow已经提供的抽象单元结构就可以构建灵活的模型。也恰恰正是因为TensorFlow的高度抽象化,有时让人理解起来颇费劲。所以在我们使用TensorFlow的过程中,不要把问题细化的太深,一切数据看成Tensor即可,利用Tensor的操作符对其进行运算,不要在脑海里想如何如何的运算细节等等,不然就会身陷囹圄。