浅谈TD3:从算法原理到代码实现

1,075 阅读4分钟

本文首发于:行者AI

众所周知,在基于价值学习的强化学习算法中,如DQN,函数近似误差是导致Q值高估和次优策略的原因。我们表明这个问题依然在AC框架中存在,并提出了新的机制去最小化它对演员(策略函数)和评论家(估值函数)的影响。我们的算法建立在双Q学习的基础上,通过选取两个估值函数中的较小值,从而限制它对Q值的过高估计。(出自TD3论文摘要)

1. 什么是TD3

TD3是Twin Delayed Deep Deterministic policy gradient algorithm的全称。TD3全称中Deep Deterministic policy gradient algorithm就是DDPG的全称。那么DDPG和TD3有何渊源呢?其实简单的说,TD3是DDPG的一个优化版本。

1.1 TD3为什么被提出

在强化学习中,对于离散化的动作的学习,都是以DQN为基础的,DQN则是通过的argMaxQtableargMaxQ_{table}的方式去选择动作,往往都会过大的估计价值函数,从而造成误差。在连续的动作控制的AC框架中,如果每一步都采用这种方式去估计,导致误差一步一步的累加,导致不能找到最优策略,最终使算法不能得到收敛。

1.2 TD3在DDPG的基础上都做了些什么

  • 使用两个Critic网络。使用两个网络对动作价值函数进行估计,(这Double DQN 的思想差不多)。在训练的时候选择min(Qθ1(s,a),Qθ2(s,a))min(Q^{\theta1}(s,a),Q^{\theta2}(s,a))作为估计值。

  • 使用软更新的方式 。不再采用直接复制,而是使用 θ=τθ+(1τ)θ\theta = \tau\theta^′ + (1 - \tau)\theta的方式更新网络参数。

  • 使用策略噪音。使用Epsilon-Greedy在探索的时候使用了探索噪音。(还是用了策略噪声,在更新参数的时候,用于平滑策略期望)

  • 使用延迟学习。Critic网络更新的频率要比Actor网络更新的频率要大。

  • 使用梯度截取。将Actor的参数更新的梯度截取到某个范围内。

2. TD3算法思路

TD3算法的大致思路,首先初始化3个网络,分别为Qθ1,Qθ2,πϕQ_{\theta1},Q_{\theta2},\pi_\phi ,参数为θ1,θ2,ϕ\theta_1,\theta_2,\phi,在初始化3个Target网络,分别将开始初始化的3个网络参数分别对应的复制给target网络。θ1θ1,θ2θ2,ϕϕ\theta{_1^′}\leftarrow\theta_1,\theta{_2^′}\leftarrow\theta_2,\phi_′\leftarrow\phi 。初始化Replay Buffer β\beta 。然后通过循环迭代,一次次找到最优策略。每次迭代,在选择action的值的时候加入了噪音,使a πϕ(s)+ϵa~\pi_\phi(s) + \epsilonϵN(0,σ)\epsilon \sim N(0,\sigma),然后将(s,a,r,s)(s,a,r,s^′)放入β\beta,当β\beta达到一定的值时候。然后随机从β\beta中Sample出Mini-Batch个数据,通过a~πϕ(s)+ϵ\tilde{a} \sim\pi_{\phi^′}(s^′) + \epsilonϵclip(N(0,σ~),c,c)\epsilon \sim clip(N(0,\tilde\sigma),-c,c),计算出ss^′状态下对应的Action的值a~\tilde a,通过s,a~s^′,\tilde a,计算出targetQ1,targetQ2targetQ1,targetQ2,获取min(targetQ1,targetQ)min(targetQ1,targetQ),为ss^′targetQtargetQ值。

通过贝尔曼方程计算sstargetQtargetQ值,通过两个Current网络根据s,as,a分别计算出当前的QQ值,在将两个当前网络的QQ值和targetQtargetQ值通过MSE计算Loss,更新参数。Critic网络更新之后,Actor网络则采用了延时更新,(一般采用Critic更新2次,Actor更新1次)。通过梯度上升的方式更新Actor网络。通过软更新的方式,更新target网络。

  • 为什么在更新Critic网络时,在计算Action值的时候加入噪音,是为了平滑前面加入的噪音。

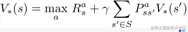
  • 贝尔曼方程:针对一个连续的MRP(Markov Reward Process)的过程(连续的状态奖励过程),状态ss转移到下一个状态ss^′ 的概率的固定的,与前面的几轮状态无关。其中,vv表示一个对当前状态state 进行估值的函数。γ\gamma一般为趋近于1,但是小于1。

3. 代码实现

代码主要是根据DDPG的代码以及TD3的论文复现的,使用的是Pytorch1.7实现的。

3.1 搭建网络结构

Q1网络结构主要是用于更新Actor网络

class Actor(nn.Module):
    def __init__(self, state_dim, action_dim, max_action):
        super(Actor, self).__init__()
        self.f1 = nn.Linear(state_dim, 256)
        self.f2 = nn.Linear(256, 128)
        self.f3 = nn.Linear(128, action_dim)
        self.max_action = max_action
    def forward(self,x):
        x = self.f1(x)
        x = F.relu(x)
        x = self.f2(x)
        x = F.relu(x)
        x = self.f3(x)
        return torch.tanh(x) * self.max_action
class Critic(nn.Module):
    def __init__(self, state_dim, action_dim):
        super(Critic,self).__init__()
        self.f11 = nn.Linear(state_dim+action_dim, 256)
        self.f12 = nn.Linear(256, 128)
        self.f13 = nn.Linear(128, 1)

        self.f21 = nn.Linear(state_dim + action_dim, 256)
        self.f22 = nn.Linear(256, 128)
        self.f23 = nn.Linear(128, 1)

    def forward(self, state, action):
        sa = torch.cat([state, action], 1)

        x = self.f11(sa)
        x = F.relu(x)
        x = self.f12(x)
        x = F.relu(x)
        Q1 = self.f13(x)

        x = self.f21(sa)
        x = F.relu(x)
        x = self.f22(x)
        x = F.relu(x)
        Q2 = self.f23(x)

        return Q1, Q2

3.2 定义网络

 self.actor = Actor(self.state_dim, self.action_dim, self.max_action)
        self.target_actor = copy.deepcopy(self.actor)
        self.actor_optimizer = torch.optim.Adam(self.actor.parameters(), lr=3e-4)

        #定义critic网络
        self.critic = Critic(self.state_dim, self.action_dim)
        self.target_critic = copy.deepcopy(self.critic)
        self.critic_optimizer = torch.optim.Adam(self.critic.parameters(), lr=3e-4)

3.3 更新网络

更新网络采用软更新延迟更新等方式

 def learn(self):
        self.total_it += 1
        data = self.buffer.smaple(size=128)
        state, action, done, state_next, reward = data
        with torch.no_grad:
            noise = (torch.rand_like(action) * self.policy_noise).clamp(-self.noise_clip, self.noise_clip)
            next_action = (self.target_actor(state_next) + noise).clamp(-self.max_action, self.max_action)
            target_Q1,target_Q2 = self.target_critic(state_next, next_action)
            target_Q = torch.min(target_Q1, target_Q2)
            target_Q = reward + done * self.discount * target_Q
        current_Q1, current_Q2 = self.critic(state, action)
        critic_loss = F.mse_loss(current_Q1, target_Q) + F.mse_loss(current_Q2, target_Q)
        critic_loss.backward()
        self.critic_optimizer.step()

        if self.total_it % self.policy_freq == 0:

            q1,q2 = self.critic(state, self.actor(state))
            actor_loss = -torch.min(q1, q2).mean()

            self.actor_optimizer.zero_grad()
            actor_loss.backward()
            self.actor_optimizer.step()
            for param, target_param in zip(self.critic.parameters(), self.target_critic.parameters()):
                target_param.data.copy_(self.tau * param.data + (1 - self.tau) * target_param.data)

            for param, target_param in zip(self.actor.parameters(), self.target_actor.parameters()):
                target_param.data.copy_(self.tau * param.data + (1 - self.tau) * target_param.data)

4. 总结

TD3是DDPG的一个升级版,在解决很多的问题上,效果要比DDPG的效果好的多,无论是训练速度,还是结果都有显著的提高。

5. 资料

  1. proceedings.mlr.press/v80/fujimot…

PS:更多技术干货,快关注【公众号 | xingzhe_ai】,与行者一起讨论吧!