【机器学习系列】GMM第二讲:高斯混合模型Learning问题,最大似然估计 or EM算法?

616 阅读4分钟

作者:CHEONG

公众号:AI机器学习与知识图谱

研究方向:自然语言处理与知识图谱

阅读本文之前,首先注意以下两点:

1、机器学习系列文章常含有大量公式推导证明,为了更好理解,文章在最开始会给出本文的重要结论,方便最快速度理解本文核心。需要进一步了解推导细节可继续往后看。

2、文中含有大量公式,若读者需要获取含公式原稿Word文档,可关注公众号【AI机器学习与知识图谱】后回复:GMM第二讲,可添加微信号【17865190919】进学习交流群,加好友时备注来自掘金。原创不易,转载请告知并注明出处!

本文主要介绍高斯混合模型的Learning问题,探讨是使用最大似然估计还是EM算法,以及完整的求解思路。

一、问题定义

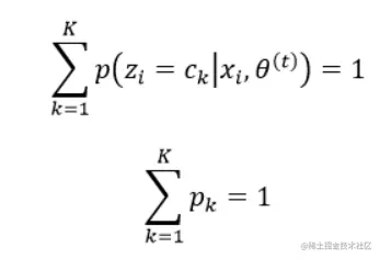
看如下表格中展现了某个高斯混合模型由c1,c2,...,ckc_1,c_2,...,c_k个高斯分布组成,其中隐变量zz的含义是某个样本属于第i个高斯分布的概率是pip_i

C/高斯分布c1c_1c2c_2ckc_k
z12k
P(z)p1p_1p2p_2pkp_k

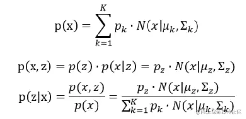
根据上述表格先给出高斯混合模型的概率密度函数p(x)p(x),公式如下:

结合表格数据,p(z=ck)p(z=c_k)是概率值pkp_k,而当z=ckz=c_kXX概率符合高斯分布,所以高斯混合模型的概率密度函数表示为:

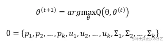
因此本文求解的问题是:高斯混合模型的Learning问题,即对高斯混合模型进行参数学习。现有观测数据Observed Data X=(x1,x2,...,xk)X=(x_1,x_2,...,x_k),隐变量ZZ,完整数据Complete Data为(X,Z)(X,Z),结合上述的概率密度函数需要学习的参数即为:

本文接下来将探讨如何对上述参数Θ\Theta进行求解。


二、本文结论

结论1: 高斯混合模型Learning问题使用最大似然估计MLE,无法求出解析解,需要使用EM算法去求解高斯混合模型Learning问题的近似解。

结论2: EM算法求解过程分为E-Step和M-Step,求解过程公式推导较复杂,但需要抓住E-Step和M-Step主要目的是什么,而不能先陷入大量公式中。EM算法思想简单来说:先通过E-Step求解模型期望Q(Θ,Θ(t))Q(\Theta,\Theta^{(t)}),再通过M-Step最大化期望,当迭代收敛时求出最优的参数值Θ\Theta


三、最大似然估计为何无法求解GMM

下面首先给出若使用最大似然估计求解高斯混合模型Learning问题的推导过程:

根据上式得出结论:最后一个推导公式中log后面存在一个求和符号,对于log中存在求和符号无法继续往下求解,所以高斯混合模型无法使用MLE求出解析解,但对于单一高斯分布是可以用MLE进行求解的。


四、EM算法求解GMM

重点: 再次强调,虽然下面的公式推导很复杂,但最主要是弄清楚E-Step和M-Step主要是在做什么事情,理清楚思路比陷入到公式推导中要重要得多。

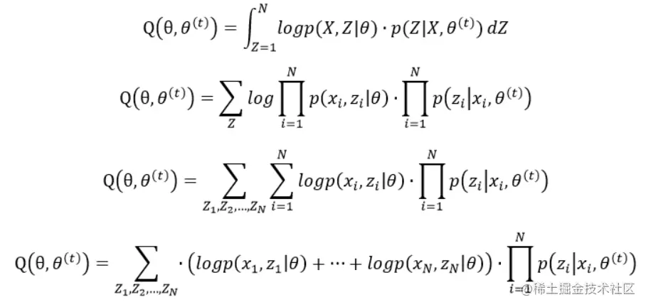
接下来讲解使用EM算法求解高斯混合模型,先给出EM算法的求解时迭代公式:

EM算法思想:先通过E-Step求解模型期望Q(Θ,Θ(t))Q(\Theta,\Theta^{(t)}),再通过M-Step最大化期望,当迭代收敛时求出最优的参数值Θ\Theta

在讲解EM算法求解高斯混合模型之前,先给出高斯混合模型的边缘概率密度函数p(x)p(x),联合概率函数p(x,z)p(x,z)以及条件概率密度函数p(zx)p(z|x)


EM算法:E-Step求解过程

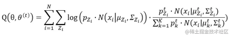
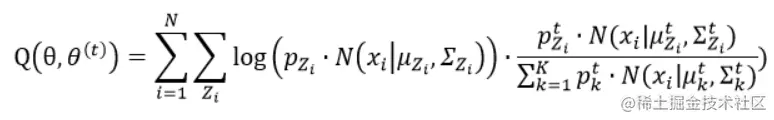
接下来讲解EM算法求解高斯混合模型的E-Step,求期望Q(Θ,Θ(t))Q(\Theta,\Theta^{(t)}),求解过程相对比较复杂,先直接给出期望的求解结果,不想看推导过程的可以直接跳过。经过E-Step求出的期望为:

将高斯混合模型条件概率密度函数p(zx)p(z|x)和联合概率密度函数p(x,z)p(x,z)代入上式得:

下面给出该E-Step结论的推导过程,较复杂不需要了解的可以直接跳过。

可以看出上式很复杂,现在需要对上式进行简化,我们先拆除上式加和中的一项进行简化:

上式简化过程如下图展示所示:

经过简化后继续推导如下:

至此我们通过E-Step求解出高斯混合模型的期望Q(Θ,Θ(t))Q(\Theta,\Theta^{(t)})


EM算法:M-Step求解过程

在E-Step我们已经求出了期望Q(Θ,Θ(t))Q(\Theta,\Theta^{(t)})

将其中的ZiZ_i替换成k=1,2,...,Kk=1,2,...,K表示,并且条件概率不展开表示为如下形式:

上面就是经过E-Step得疯狂推导得出的结论,接下来M-Step就是通过最大化期望Q(Θ,Θ(t))Q(\Theta,\Theta^{(t)})来求解参数值:

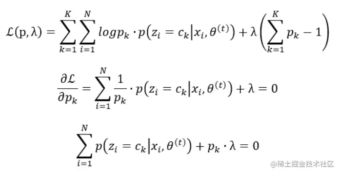
这里以求解参数p1,p2,...,pkp_1,p_2,...,p_k来简单讲解求解过程,使用的是拉格朗日乘子法

对于上述有约束项的最值求解,使用拉格朗日乘子法有:

我们将k从1,2,...,K1,2,...,K进行赋值之后有:

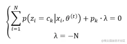
其中有:

所以可得:

至此结合以下两个式子:

最终求出:

而另外两个参数求解方式和p(t+1)p^{(t+1)}相同。