【机器学习系列】GMM第一讲:两个角度认识高斯混合模型

958 阅读2分钟

作者:CHEONG

公众号:AI机器学习与知识图谱

研究方向:自然语言处理与知识图谱

文中含有大量公式,若需要获取含公式原稿Word文档,可关注公众号【AI机器学习与知识图谱】后回复:GMM第一讲,可添加微信号【17865190919】进学习交流群,加好友时备注来自掘金。原创不易,转载请告知并注明出处!

本文先从两个角度简单认识一下高斯混合模型。下一章将详细介绍高斯混合模型的Learning问题解法。


一、几何角度

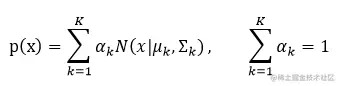
高斯混合模型可以看成是多个高斯分布叠加而成,即多个高斯分布的加权值,用公式表示为:

其中N(uk,Σk)N(u_k, \Sigma_k)表示第k个高斯分布,αk\alpha_k表示第k个高斯分布在混合高斯模型中占得权重大小。看下图,每个彩色的线条代表一个一个高斯分布模型,多个彩色的高斯模型叠加组成了黑色的线,即混合高斯模型。我们可以清晰的将下图和上面高斯混合模型公示对应起来。

上图展示的是一维高斯分布叠加而成的高斯混合模型,下图展现一个由两个二维高斯分布叠加组成的高斯混合模型:


二、混合模型角度

对于混合模型,需要在观测变量X的基础上引入隐变量Z,隐变量Z的含义表示混合高斯分布中的样本属于哪一个高斯分布的概率大小。如果我们假设Z是离散随机变量,若混合高斯分布中共由K个高斯分布组成,则有:

C/高斯分布c1c_1c2c_2ckc_k
z12k
P(z)p1p_1p2p_2pkp_k

表格中展现某个高斯混合模型由c1,c2,...,ckc_1,c_2,...,c_k个高斯分布组成,而z隐变量含义是某个样本属于第i个高斯分布的概率是pip_i,而且有:

我们可以从样本生成角度再理解一下隐变量Z的含义:假设现在有一个k面不均匀的骰子,用这个骰子生成样本数据,这个骰子每个面代表一个高斯分布。由于骰子k面不均匀,所以每个面被掷中的概率分别为p1,p2,...,pkp_1,p_2,...,p_k,这样通过多次投掷骰子就可以得到一批样本,而这批样本组成的便是上表提到的那个高斯混合模型。