「LeetCode系列」数组不可变问题|刷题打卡

125 阅读3分钟

作者:看那个码农

公众号:看那个码农

本题来源于「LeetCode系列」303.数组不可变

题目描述:

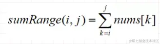
给定一个整数数组nums,求出数组从索引i到j(i≤j)范围内元素的总和,包含i、j两点。

实现 NumArray 类:

  • NumArray(int[] nums) 使用数组 nums 初始化对象

  • int sumRange(int i,int j)

返回数组 nums 从索引i到j(i≤j)范围内元素的总和,包含i、j两点。

也就是 sum(nums[i], nums[i+1],...nums[j])

sumRange会被反复调用无数次,请设计一个时间复杂度最低的算法以降低时间消耗。

示例输入:
["NumArray","sumRange", "sumRange", "sumRange"]
[[[-2,0,3,-5,2,-1]], [0,2], [2,5],[0,5]]
示例输出:
[null,1,-1,-3]
示例解释:
NumArray numArray = new NumArray([-2,0,3,-5,2,-1]);

numArray.sumRange(0, 2);
return 1
#因为((-2)+0+3)=1

numArray.sumRange(2, 5);
return -1
#因为(3+(-5)+2 +(-1))=-1

numArray.sumRange(0, 5);
return -3 
#因为((-2)+0+3+(-5)+2+(-1))=-3

代码分析:

看到这题可能很多人会选择使用一个for循环来解决,但是请注意题目中强调的

sumRange会被反复调用无数次,请设计一个时间复杂度最低的算法降低时间消耗

如果使用for循环解决的话,每次调用sumRange时,通过循环的方法计算数组nums从下标i到下标j范围内的元素和,需要计算 j−(i-1) 个元素的和。

由于每次检索的时间和检索的下标范围有关,因此检索的时间复杂度较高,如果检索次数较多,则会超出时间限制。

同时题目中也强调sumRange会多次调用,如果仅使用for循环,每次用于检索的时间较长,多次使用后检索的总时间就会增长的很快。

因此为了降低算法的检索总时间,

我们采用前缀和presums的方法解决该题。

前缀和的概念

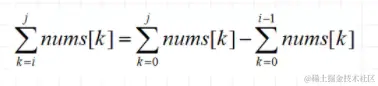
其实来源于sumRange(i,j)的数学形式变换

image.png

对公式进行变换可得:

image.png

由此可知,要计算sumRange(i,j),

则需要计算数组nums在下标j和下标i-1的前缀和,

然后再计算两个前缀和的差。


同时如果我们在函数初始化的时候

就计算出数组nums在每个下标处的前缀和,

即满足每次调用sumRange时的时间复杂度都为O(1)

既然理论知识我们懂了,那么实际用法如何呢?

假设数组nums的长度为n,创建长度为n+1的前缀和数组presums,

对于0<=i<n,
则有presums[i+1]=presums[i]+nums[i]

对于0<i<=n,
则presums[i]表示数组nums从下标0到下标i-1的前缀和

我们用图片来直观的解释:

如下图所示:

设nums=[0,1,4,6,3,7],presums[0]=0

image.png

将前缀和数组presums的长度设为n+1的目的

是为了方便计算sumRange(i,j)

同时也不需要对i=0的情况特殊处理。

所以本题中:

sumRange(i,j)= presums[j+1]- presums[i]

则我们本题的实现代码如下:

class NumArray:

    def __init__(self, nums: List[int]):
        self.presums=[0]
        _pre=self.presums
        for num in nums:
            _pre.append(_pre[-1]+num)

#_pre[-1]+num的含义就是上图中的+号步骤,presums中的最后一个数与当前的nums数值相加

    def sumRange(self, i: int, j: int) -> int:
        _pre=self.presums
        return _pre[j+1] - _pre[i]

如果你觉得这篇内容对你有帮助的话:

1、点赞支持下吧,让更多的人也能看到这篇内容

2、关注公众号:看那个码农,我们一起学习一起进步。

本文正在参与「掘金 2021 春招闯关活动」, 点击查看 活动详情