「算法」24.两两交换链表中的节点 | 刷题打卡

113 阅读1分钟

一、题目描述:

给定一个链表,两两交换其中相邻的节点,并返回交换后的链表。

你不能只是单纯的改变节点内部的值,而是需要实际的进行节点交换。

原题链接 👉 24. 两两交换链表中的节点

img

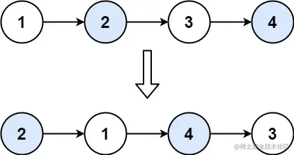
示例 1:

输入:head = [1,2,3,4]
输出:[2,1,4,3]

示例 2:

输入:head = []
输出:[]

示例 3:

输入:head = [1]
输出:[1]

提示:

  • 链表中节点的数目在范围 [0, 100]
  • 0 <= Node.val <= 100

二、思路分析:

/**
 * Definition for singly-linked list.
 * function ListNode(val, next) {
 *     this.val = (val===undefined ? 0 : val)
 *     this.next = (next===undefined ? null : next)
 * }
 */
/**
 * @param {ListNode} head
 * @return {ListNode}
 */
var swapPairs = function(head) {};

考察递归问题,第一个和第二个节点交换完成后swapPairs(head),再swapPairs(head.next),直到链表结束

三、完整代码:

var swapPairs = function (head) {
  if (!head || !head.next) {
    return head
  } else {
    let c = head.next
    head.next = swapPairs(c.next)
    c.next = head
    return c
  }
}

复杂度分析

  • 时间复杂度:O*(*n),其中 n 是链表的节点数量。需要对每个节点进行更新指针的操作。
  • 空间复杂度:O(n),其中 n 是链表的节点数量。空间复杂度主要取决于递归调用的栈空间。

——

本文正在参与「掘金 2021 春招闯关活动」, 点击查看 活动详情