LeetCode19. 删除链表的倒数第 N 个结点|刷题打卡

687 阅读2分钟

一、题目描述

给你一个链表,删除链表的倒数第 n 个结点,并且返回链表的头结点。

进阶:你能尝试使用一趟扫描实现吗?

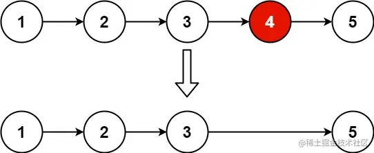
示例1

image.png

输入:head = [1,2,3,4,5], n = 2
输出:[1,2,3,5]

示例 2:

输入:head = [1], n = 1
输出:[]

示例 3:

输入:head = [1,2], n = 1
输出:[1]

提示:

  • 链表中结点的数目为 sz
  • 1 <= sz <= 30
  • 0 <= Node.val <= 100
  • 1 <= n <= sz

二、思路分析

链表不能倒序遍历,所以这道题的难点在于这个“倒数第 N 个”如何定位。
我们可以将“倒数第 N 个” 转变为:“正数第 len - n + 1"个。
我们可以先遍历一遍得到链表长度len,再遍历一遍找到第len - n + 1个结点。

但是有没有办法可以不遍历两遍的呢? 那就用快慢指针吧:

  • 快指针先走n步,
  • 快指针、慢指针再一起往前走
  • 当快指针走到最后一个结点时,两个指针都停下来
  • 这时慢指针所指的位置,就是倒数第 n 个结点的前一个结点 此时就方便我们进行删除了:
slow.next = slow.next.next

三、AC 代码

/**
 * @param {ListNode} head
 * @param {number} n
 * @return {ListNode}
 */
const removeNthFromEnd = function(head, n) {
    // 初始化 dummy 结点
    const dummy = new ListNode()
    // dummy指向头结点
    dummy.next = head
    // 初始化快慢指针,均指向dummy
    let fast = dummy
    let slow = dummy

    // 快指针闷头走 n 步
    while(n!==0){
        fast = fast.next
        n--
    }
    
    // 快慢指针一起走
    while(fast.next){
        fast = fast.next
        slow = slow.next
    }
    
    // 慢指针删除自己的后继结点
    slow.next = slow.next.next
    // 返回头结点
    return dummy.next
};

四、总结

  • 利用快慢指针可以更好的以空间换时间
  • “倒数第 N 个” 可以转变为:“正数第 len - n + 1"个。

本文正在参与「掘金 2021 春招闯关活动」, 点击查看 活动详情