数据结构(js实现)——图解二叉搜索树

476 阅读8分钟

@[toc]

1.概念

二叉搜索树(BST),又称二叉排序树和二叉查找树。

二叉搜索树是一颗二叉树,可以为空,如果不为空,则满足以下三个条件

  1. 非空左子树的所有键值小于根节点的键值
  2. 非空右子树的所有键值大于根节点的键值
  3. 左右子树本身也是二叉搜索树

下图就是一个二叉搜索树:

在这里插入图片描述

二叉搜索树的特点:

  1. 相对较小的值总是保存在根节点的左侧,反之在右侧
  2. 查找效率非常高

例如我们在上图的二叉搜索书中要查找10这个元素,那我们的路径就是9-13-11-10

2.二叉搜索树的封装以及常见操作

首先我们想一下二叉树的结构。有一个根节点,其次就是每一个结点,而每一个节点上又包括data,与指向左右结点的指针。如图:

在这里插入图片描述

因此我们可以写出它的结构:

  function BinarySerachTree() {
        // 结点类
        function Node(key) {
            this.key=key;
            this.left=null;
            this.right=null;
        }
        // 属性
        this.root=null;
        // 方法   
      //insert(key):向树中插入一个一个新的键
      //search(key):在树中查找一个键,如果结点存在
      //move(key):移除某个键
      //OrderTravers:中序遍历
      //preOrderTravers:先序遍历
      //posstOrderTravers:后序遍历
      //min:返回树中的最小值
      //max:返回树中的最大值
    }

接下来让我们一起来实现这些方法吧:call_me_hand:

3.插入操作的封装

步骤:

1.创建key结点

2.判断根节点是否有值

2.1 若无值则将结点赋给根节点

2.2 若有值则递归调用以此判断插入或继续递归

3.递推实现

3.1: 判断路径方向

3.2:往下走后再判断是否有值,若有值,则继续递归,若无值,则赋值

实现代码:

    BinarySerachTree.prototype.insert = function (key) {
            // 1.创建key结点
            var newnode = new Node(key);

            // 2.判断根节点是否有值
            if (this.root == null) {
                // 2.1 若无值则将结点赋给根节点
                this.root = newnode
            } else {
                // 2.2 若有值则递归调用以此判断插入或继续递归
                this.insertNode(this.root, newnode)
            }
        }
    // 插入函数的递归函数
        BinarySerachTree.prototype.insertNode = function (node, newnode) {
            /* 
            判断路径方向
            判断是否有值,若有值,则继续递归,若无值,则赋值
            */
            if (newnode.key < node.key) {
                // 如果新节点小于根节点,则向左走
                if (node.left == null) {
                    node.left = newnode
                } else {
                    this.insertNode(node.left, newnode)
                }
            } else {
                // 如果新节点大于根节点,则向右走
                if (node.right == null) {
                    node.right = newnode
                } else {
                    this.insertNode(node.right, newnode)
                }
            }
        }

我们可以测试一组数据:

11-7-15-5-3-9-8-10-13-12-14-10-18-25

结果如图下所绘:

在这里插入图片描述

验证一下我们代码也是没有问题的:

在这里插入图片描述

4.三种遍历方式封装

二叉搜索树的遍历有三种方式:先序遍历、中序遍历、后序遍历。

这里需要慢慢理解,最好自己画一个图再去结合代码一步一步推导

遍历树的三种方式代码实现我们都可以使用递归的方式来实现。

在这里插入图片描述

4.1 先序遍历

先序遍历在每一次递归操作时先访问根节点(11),然后递归访问左子树知道为null是开始回溯,每回溯一次再进入右子树递归。

   /* 先序遍历 */
        BinarySerachTree.prototype.preOrderTravers = function (callback) {
            this.preOrderTraversNode(this.root, callback)
        }
        BinarySerachTree.prototype.preOrderTraversNode = function (nownode, callback) {
            if (nownode != null) {
                callback(nownode.key);
                // 递归调用左子树
                this.preOrderTraversNode(nownode.left, callback)
                // 左子树调用结束后直接右子树
                this.preOrderTraversNode(nownode.right, callback)
            }
        }

结果:

在这里插入图片描述

4.2 中序遍历

中序遍历每次先开始递归左节点,左节点完后开始回溯时访问目标结点,接着再去递归访问目标结点的右节点。

   /* 中序遍历 */
        BinarySerachTree.prototype.middleOrderTravers = function (callback) {
            this.middleOrderTraversNode(this.root, callback)
        }
        BinarySerachTree.prototype.middleOrderTraversNode = function (nownode, callback) {
            if (nownode != null) {
                this.middleOrderTraversNode(nownode.left, callback)
                callback(nownode.key);
                this.middleOrderTraversNode(nownode.right, callback)
            }
        }

在这里插入图片描述

4.3 后序遍历

后续遍历先一次递归左侧结点,再去递归右侧结点,再去访问目标结点,依次进行

  /* 后序遍历 */
        BinarySerachTree.prototype.postOrderTravers = function (callback) {
            this.postOrderTraversNode(this.root, callback)
        }
        BinarySerachTree.prototype.postOrderTraversNode = function (nownode, callback) {
            if (nownode != null) {
                this.postOrderTraversNode(nownode.left, callback)
                this.postOrderTraversNode(nownode.right, callback)
                callback(nownode.key);
            }
        }

在这里插入图片描述

5.获取最大值和最小值

根据二叉搜索树的结构我们分析以下它的最小值于最大值分布。首先我们知道bst树左子树永远存储比根节点小的树,而右子树永远存储比根节点大的数。所以我们是否就可以得出结论,最深层的左子树就是最小值,反之,最深层的右子树就是最大值。

那么我们的代码如何实现呢?往下看:

实现的原理很简单,我们就拿最大值来说,我们从根节点开始遍历(若没有元素则返回-1),一直遍历当前结点的右子树,知道为空则结束。

左右操作相同,不在赘述。

  BinarySerachTree.prototype.getmaxNode = function () {
            let node=this.root;
            while (node.right!=null) {
                node=node.right
            }
            return node.key
        }
  BinarySerachTree.prototype.getminNode = function () {
            let node=this.root;
            while (node.left!=null) {
                node=node.left
            }
            return node.key
        }

6.搜索特定的值

其实这个问题我们上面已经讨论过了,这和我们插入值的操作时一样的,都是先找到这个特定的值应该出现的位置,再去判断此位置是否有值存在,如果没有则返回false,如果有则为true。

下面我们来使用代码来实现它吧。

递归实现:

        /*搜索特定的值 */
        BinarySerachTree.prototype.searchThekey = function (key) {
            // 首先判断是否有值存在
            if (this.root == null) {
                return false;
            }
            // 递归操作
            return this.searchThekeyNode(this.root, key);
        }
        // 搜索特定的值的递归操作
        BinarySerachTree.prototype.searchThekeyNode = function (node, key) {
            if (node === null) {
                return false
            }
            if (key > node.key) {
                return this.searchThekeyNode(node.right, key);
            } else if (key < node.key) {
                return this.searchThekeyNode(node.left, key);
            } else {
                return true
            }
        }

非递归实现:

   /*搜索特定的值(非递归实现)*/
        BinarySerachTree.prototype.searchThekeybywhile = function (key) {
            var node = this.root;
            if (node === null) {
                return false;
            }
            while (node!=null) {
                if (key>node.key) {
                    node = node.right                    
                }else if(key<node.key){
                    node = node.left 
                }else{
                    return true
                }
            }
            return false
        }

7.删除操作

删除操作这里由三种情况需要被考虑。

  1. 删除的结点是叶子节点(没有子节点)
  2. 删除的结点有一个子节点
  3. 删除的结点有两个子节点

在开始之前我们先做一下准备工作:

首先我们需要找到我们要删除的目标结点,这里的操作其实和我们上面搜索特定的值的操作是十分相似的。

这里需要定义三个变量:

  1. 是用于储存当前结点的current

  2. 用于储存当前结点的父节点的的parent(这是因为如果此时删除的结构为第二三种时current的子节点需指向parent)

  3. 用于记录当前的current是在父节点的parent的左侧还是右侧的isLeftChild

  /* 移除节点 */
        BinarySerachTree.prototype.remove = function (key) {
            var current=this.root;
            var parent=this.root;
            var isLeftChild=true;
            // 查找
            while (current.key!=key) {
                parent=current;
                if (key>current.key) {
                    isLeftChild=false;
                    current=current.right
                } else {
                    isLeftChild=true;
                    current=current.left
                }
                if (current==null) {
                    return false;
                }
            }
            return true
        }

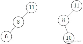
7.1 结点是叶子节点(没有子节点)

当结点时叶子节点时我们直接将其删除即可。如果结点为根节点则直接将其置空。

如图所示两种情况:

在这里插入图片描述

   if (current.left==null&&current.right==null) {
                if (current==this.root) {
                    this.root=null
                }else if(isLeftChild){
                    parent.left=null
                }else{
                    parent.right=null
                }
            }

7.2 删除的结点有一个子节点

当删除的结点有一个子结点时。我们需要考虑几种情况。

首先我们应该先判断唯一的子树是左边还是右边。

其次再使用我们上文提到的isLeftChild 来判断当前结点时父节点的左子树还是右子树。然后我们再进行操作即可。

首先当current是parent的左子树时有以下两种情况: 在这里插入图片描述

其次当current是parent的右子树时有以下两种情况:

在这里插入图片描述

最后我们还需要考虑当current为跟结点时的情况。

具体实现代码如下:

else if (current.left == null) {
                if (current == this.root) {
                    this.root = current.right
                } else if (isLeftChild) {
                    parent.left = current.right
                } else {
                    parent.right = current.right
                }
            } else if (current.right == null) {
                if (current == this.root) {
                    this.root = current.left
                } else if (isLeftChild) {
                    parent.left = current.left
                } else {
                    parent.right = current.left
                }
            }

7.3 删除的结点有两个子节点

这种情况是最复杂的一种情况。我们不得不考虑以下几个问题:

  1. 若current只有左右结点时我们删除current后应该使用左结点还是右节点来代替current的位置。
  2. 如果current的两个子节点下面还有结点我们应该选择哪一个结点来替代我们current的位置。

首先回答第一个问题:biking_woman: ,如果只有两个字节点时我们我们随便选左右都是可以的,因为你可以想象以下删除以后它的结构是不会改变的。

第二个问题:closed_lock_with_key: : 如果子节点的下面还是右子节点我们这个时候就应该找current的前驱后继结点。那么什么是前驱后继呢?

首先你可以想象一下在这些结点中你使用哪个结点替换其位置使得树结构变动最小。这里我们就用15这个结点来举例。假如我们要使用其左子树部分,那么我想没有哪个结点能比14再合适不过了。相同如果使用右子树的话18可能是最好的选择。为什么?

因为选择14刚好小于其右边分支,且大于左边的分支。18也是相反的道理。

所以我们由以上的例子可以看出前驱结点就是比current小一点点的结点,相反后继就是比其大一点点的结点。这让我想起来高数上的夹逼准则。

所以照着这个道理我们来实现以下它的代码。

在这里插入图片描述

我们代码实现就使用后继的方式,也就是使用右节点的方式来实现。

首先我们可能需要一个寻找后继的方法。然后再直接通过当前的状态直接删除就可以。

寻找后继的具体实现的方法(所有情况)。

	   BinarySerachTree.prototype.getSuccssor = function (delnode) {
            // 定义变量,保存后继
            var successor = delnode;
            // 向右走
            var current = delnode.right;
            // 后继结点的父节点
            var parentsuccessor=delnode;
            while (current != null) {
                parentsuccessor=successor;
                successor = current;
                current = current.left;
            }
            // 如果current的子节点还有子节点时
            if (successor!=delnode.right) {
                parentsuccessor.left=successor.right;
                successor.right=delnode.right
            }
            return successor;
        }

接着我们直接进行删除

  // 第三种情况(有两个子结点时)
            else {
                var successor=this.getSuccssor(current);
                if (current==this.root) {
                    this.root=successor;
                }else if(isLeftChild){
                    parent.left=successor;
                }else{
                    parent.right=successor;
                }
                // 将删除结点的左子树指向当前的左子树
                successor.left=current.left
            }

8.结语

到了这里我们的二叉搜索树就算是实现完成了,如果有什么不懂的地方,多看看图,再加深以下理解

这里附上源码。

<!DOCTYPE html>
<html lang="en">

<head>
    <meta charset="UTF-8">
    <meta http-equiv="X-UA-Compatible" content="IE=edge">
    <meta name="viewport" content="width=device-width, initial-scale=1.0">
    <title>Document</title>
</head>

<body>

</body>
<script>
    function BinarySerachTree() {
        // 结点类
        function Node(key) {
            this.key = key;
            this.left = null;
            this.right = null;
        }
        // 属性
        this.root = null;
        // 方法
        /* 插入操作的封装 */
        BinarySerachTree.prototype.insert = function (key) {
            // 1.创建key结点
            var newnode = new Node(key);
            // 2.判断根节点是否有值
            if (this.root == null) {
                // 2.1 若无值则将结点赋给根节点
                this.root = newnode
            } else {
                // 2.2 若有值则递归调用以此判断插入或继续递归
                this.insertNode(this.root, newnode)
            }
        }
        // 插入函数的递归函数
        BinarySerachTree.prototype.insertNode = function (node, newnode) {
            /* 
            判断路径方向
            判断是否有值,若有值,则继续递归,若无值,则赋值
            */
            if (newnode.key < node.key) {
                // 如果新节点小于根节点,则向左走
                if (node.left == null) {
                    node.left = newnode
                } else {
                    this.insertNode(node.left, newnode)
                }
            } else {
                // 如果新节点大于根节点,则向右走
                if (node.right == null) {
                    node.right = newnode
                } else {
                    this.insertNode(node.right, newnode)
                }
            }
        }


        /* 遍历方式 */
        /* 先序遍历 */
        BinarySerachTree.prototype.preOrderTravers = function (callback) {
            this.preOrderTraversNode(this.root, callback)
        }
        BinarySerachTree.prototype.preOrderTraversNode = function (nownode, callback) {
            if (nownode != null) {
                callback(nownode.key);
                // 递归调用左子树
                this.preOrderTraversNode(nownode.left, callback)
                // 左子树调用结束后直接右子树
                this.preOrderTraversNode(nownode.right, callback)
            }
        }

        /* 中序遍历 */
        BinarySerachTree.prototype.middleOrderTravers = function (callback) {
            this.middleOrderTraversNode(this.root, callback)
        }
        BinarySerachTree.prototype.middleOrderTraversNode = function (nownode, callback) {
            if (nownode != null) {
                this.middleOrderTraversNode(nownode.left, callback)
                callback(nownode.key);
                this.middleOrderTraversNode(nownode.right, callback)
            }
        }

        /* 后序遍历 */
        BinarySerachTree.prototype.postOrderTravers = function (callback) {
            this.postOrderTraversNode(this.root, callback)
        }
        BinarySerachTree.prototype.postOrderTraversNode = function (nownode, callback) {
            if (nownode != null) {
                this.postOrderTraversNode(nownode.left, callback)
                this.postOrderTraversNode(nownode.right, callback)
                callback(nownode.key);
            }
        }


        /*最大值*/
        BinarySerachTree.prototype.getmaxNode = function () {
            let node = this.root;
            while (node.right != null) {
                node = node.right
            }
            return node.key
        }
        /* 最小值 */
        BinarySerachTree.prototype.getminNode = function () {
            let node = this.root;
            while (node.left != null) {
                node = node.left
            }
            return node.key
        }


        /*搜索特定的值(递归实现)*/
        BinarySerachTree.prototype.searchThekey = function (key) {
            // 首先判断是否有值存在
            if (this.root == null) {
                return false;
            }
            // 递归操作
            return this.searchThekeyNode(this.root, key);
        }
        // 搜索特定的值的递归操作
        BinarySerachTree.prototype.searchThekeyNode = function (node, key) {
            if (node === null) {
                return false
            }
            if (key > node.key) {
                return this.searchThekeyNode(node.right, key);
            } else if (key < node.key) {
                return this.searchThekeyNode(node.left, key);
            } else {
                return true
            }
        }

        /*搜索特定的值(非递归实现)*/
        BinarySerachTree.prototype.searchThekeybywhile = function (key) {
            var node = this.root;
            if (node === null) {
                return false;
            }
            while (node != null) {
                if (key > node.key) {
                    node = node.right
                } else if (key < node.key) {
                    node = node.left
                } else {
                    return true
                }
            }
            return false
        }

        /* 移除节点 */
        BinarySerachTree.prototype.remove = function (key) {
            var current = this.root;
            var parent = this.root;
            var isLeftChild = true;
            // 查找(有则操作current,没有则返回false)
            while (current.key != key) {
                parent = current;
                if (key > current.key) {
                    isLeftChild=false
                    current = current.right
                } else {
                    isLeftChild=true
                    current = current.left
                }
                if (current == null) {
                    return false;
                }
            }
            // 第一种情况(只有一个叶子节点时)
            if (current.left == null && current.right == null) {
                if (current == this.root) {
                    this.root = null
                } else if (isLeftChild) {
                    parent.left = null
                } else {
                    parent.right = null
                }
                // 第二种情况(有一个子节点时)
            } else if (current.left == null) {
                if (current == this.root) {
                    this.root = current.right
                } else if (isLeftChild) {
                    parent.left = current.right
                } else {
                    parent.right = current.right
                }
            } else if (current.right == null) {
                if (current == this.root) {
                    this.root = current.left
                } else if (isLeftChild) {
                    parent.left = current.left
                } else {
                    parent.right = current.left
                }
            }
            // 第三种情况(有两个子结点时)
            else {
                var successor=this.getSuccssor(current);
                if (current==this.root) {
                    this.root=successor;
                }else if(isLeftChild){
                    parent.left=successor;
                }else{
                    parent.right=successor;
                }
                // 将删除结点的左子树指向当前的左子树
                successor.left=current.left
            }
            return true
        }
        BinarySerachTree.prototype.getSuccssor = function (delnode) {
            // 定义变量,保存后继
            var successor = delnode;
            // 向右走
            var current = delnode.right;
            // 后继结点的父节点
            var parentsuccessor=delnode;
            while (current != null) {
                parentsuccessor=successor;
                successor = current;
                current = current.left;
            }
            // 如果current的子节点还有子节点时
            if (successor!=delnode.right) {
                parentsuccessor.left=successor.right;
                successor.right=delnode.right
            }
            return successor;
        }

    }

    var bst = new BinarySerachTree();
    bst.insert(11)
    bst.insert(7)
    bst.insert(15)
    bst.insert(5)
    bst.insert(3)
    bst.insert(9)
    bst.insert(8)
    bst.insert(10)
    bst.insert(13)
    bst.insert(12)
    bst.insert(14)
    bst.insert(20)
    bst.insert(18)
    bst.insert(25)
    bst.insert(6)
    console.log(bst);

    var str = ''
    bst.preOrderTravers(function (key) {
        str += key + ' '
    })
    console.log('先序遍历', str);

    var str2 = ''
    bst.middleOrderTravers(function (key) {
        str2 += key + ' '
    })
    console.log('中序遍历', str2);


    var str3 = ''
    bst.postOrderTravers(function (key) {
        str3 += key + ' '
    })
    console.log('后序遍历', str3);


    // 获取最大值
    console.log(bst.getmaxNode());
    console.log(bst.getminNode());
    console.log(bst.searchThekey(23) + "结果");
    console.log(bst.searchThekeybywhile(23) + "结果");


    bst.remove(9);
    bst.remove(7);
    bst.remove(15);
    var str3 = ''
    bst.postOrderTravers(function (key) {
        str3 += key + ' '
    })
    console.log('后序遍历', str3);
</script>

</html>