LeetCode701. 二叉搜索树中的插入操作|刷题打卡

857 阅读2分钟

一、题目描述

给定二叉搜索树(BST)的根节点和要插入树中的值,将值插入二叉搜索树。 返回插入后二叉搜索树的根节点。 输入数据 保证 ,新值和原始二叉搜索树中的任意节点值都不同。

注意,可能存在多种有效的插入方式,只要树在插入后仍保持为二叉搜索树即可。 你可以返回 任意有效的结果 。

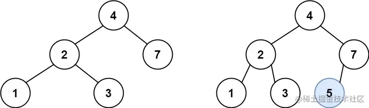
示例1

输入:root = [4,2,7,1,3], val = 5
输出:[4,2,7,1,3,5]
解释:另一个满足题目要求可以通过的树是:

示例2:

输入:root = [40,20,60,10,30,50,70], val = 25
输出:[40,20,60,10,30,50,70,null,null,25]

示例3:

输入:root = [4,2,7,1,3,null,null,null,null,null,null], val = 5
输出:[4,2,7,1,3,5]

提示:

  • 给定的树上的节点数介于 0 和 10^4 之间
  • 每个节点都有一个唯一整数值,取值范围从 0 到 10^8
  • -10^8 <= val <= 10^8
  • 新值和原始二叉搜索树中的任意节点值都不同

二、思路分析

二叉搜索树的数据域是有序的:

  • 二叉搜索树左子树上所有结点的数据域都小于等于根结点的数据域
  • 二叉搜索树右子树上所有结点的数据域都大于等于根结点的数据域
  • 左孩子 <= 根结点 <= 右孩子
  • 利用二叉搜索树数据域的有序性可以快速定位节点

二叉搜索树的查找路线是一个非常明确的路径:
我们会根据当前结点值的大小,决定路线应该是向左走还是向右走。
val<当前节点值:往左走;val>当前节点值:往右走 如果最后走到了一个空结点处,那就意味着这是我们需要插入节点的位置

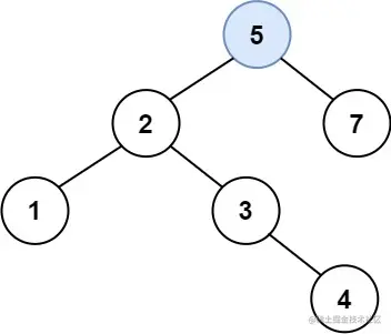
如例1中的插入5:

三、AC 代码

/**
 * Definition for a binary tree node.
 * function TreeNode(val, left, right) {
 *     this.val = (val===undefined ? 0 : val)
 *     this.left = (left===undefined ? null : left)
 *     this.right = (right===undefined ? null : right)
 * }
 */
/**
 * @param {TreeNode} root
 * @param {number} val
 * @return {TreeNode}
 */
var insertIntoBST = function(root, val) {
     // 若 root 为空,说明当前是一个可以插入的空位
    if(!root) { 
        // 在此处插入值为val的节点
        root = new TreeNode(val)
        return root
    }
    
    if(root.val > val) {
        // 当前结点数据大于val,向左查找
        root.left = insertIntoBST(root.left, val)
    } else {
        // 当前结点数据小于val,向右查找
        root.right = insertIntoBST(root.right, val)
    }

    // 返回插入后二叉搜索树的根结点
    return root 
};

四、总结

  • 二叉搜索树左子树上所有结点的数据域都小于等于根结点的数据域
  • 二叉搜索树右子树上所有结点的数据域都大于等于根结点的数据域
  • 左孩子 <= 根结点 <= 右孩子
  • 利用二叉搜索树数据域的有序性可以快速定位节点

本文正在参与「掘金 2021 春招闯关活动」, 点击查看 活动详情