
文章目录
又要画图了。一到这里就莫名其妙的烦,之前写过的图相关博客已经让我都删了,讲的语无伦次。
希望这篇能写好点。
开头先讲点好玩的吧,不然看着看着就觉得无聊死了。
讲个故事
咱们在用百度地图的时候,常常会使用导航功能。比如你在地铁站A附近,你想去的地点在地铁站F附近,那么导航会告诉你一个最佳的地铁线路换乘方案、
这许许多多地铁站所组成的交通网络,也可以认为是数据结构当中的图。
图,是一种比树更为复杂的数据结构。树的节点之间是一对多的关系,并且存在父与子的层级划分;而图的顶点(注意,这里不叫节点)之间是多对多的关系,并且所有顶点都是平等的,无所谓谁是父谁是子。
图的相关定义
定义一:有向图、无向图、权重、活用图
图是由顶点的有穷非空集合和顶点之间边的集合组成, 通常表示为: G(V,E), 其中,G表示一个图,V是图G中顶点的集合,E是图G中边的集合。

这种叫做无向图,里面的边叫做无向边。
图有各种形状和大小。边可以有权重(weight),即每一条边会被分配一个正数或者负数值。考虑一个代表航线的图。各个城市就是顶点,航线就是边。那么边的权重可以是飞行时间,或者机票价格。
边可以是有方向的。在上面提到的例子中,边是没有方向的。有方向的边意味着是单方面的关系。
事实证明图是一种有用的数据结构。
如果你有一个编程问题可以通过顶点和边表示出来,那么你就可以将你的问题用图画出来,然后使用著名的图算法(比如广度优先搜索 或者 深度优先搜索)来找到解决方案。
离散数学中有不少这方面的栗子。
假设你有一系列任务需要完成,但是有的任务必须等待其他任务完成后才可以开始。你可以通过非循环有向图来建立模型:
每一个顶点代表一个任务。两个任务之间的边表示目的任务必须等到源任务完成后才可以开始。比如,在任务B和任务D都完成之前,任务C不可以开始。在任务A完成之前,任务A和D都不能开始。
现在这个问题就通过图描述清楚了,你可以使用深度优先搜索算法来执行执行拓扑排序。这样就可以将所有的任务排入最优的执行顺序,保证等待任务完成的时间最小化。(这里可能的顺序之一是:A, B, D, E, C, F, G, H, I, J, K)
定义二:完全图、连通图、连通分量、生成树
在图中,若不存在顶点到其自身的边,且同一条边不重复出现,则称这样的图为简单图。目前讨论的都是简单图。在无向图中,如果任意两个顶点之间都存在边,则称该图为无向完全图。含有n个顶点的无向完全图有n*(n-1)/2条边。在有向图中,如果任意两个顶点之间都存在方向互为相反的两条弧,则称该图为有向完全图。含有n个顶点的有向完全图有n* (n-1) 条边。
在无向图G中,如果从顶点v到顶点v’有路径,则称v和v’是连通的。 如果对于图中任意两个顶点vi、vj ∈E, vi,和vj都是连通的,则称G是连通图。
无向图中的极大连通子图称为连通分量。注意连通分量的概念,它强调:
要是子图;
子图要是连通的;
连通子图含有极大顶点数;
具有极大顶点数的连通子图包含依附于这些顶点的所有边。
所谓的一个连通图的生成树是一个极小的连通子图, 它含有图中全部的n 个顶点,但只有足以构成一棵树的n-1条边。比如下图的图1是一普通图,但显然它不是生成树,当去掉两条构成环的边后,比如图2 或图3,就满足n个顶点n-1条边且连通的定义了, 它们都是一棵生成树。从这里也可知道,如果一个图有n 个顶点和小子n-1条边,则是非连通图,如果多于n-1 边条,必定构成一个环, 因为这条边使得它依附的那两个顶点之间有了第二条路径。比如图2 和图3,随便加哪两顶点的边都将构成环。 不过有n-1条边并不一定是生成树,比如图4。
定义三:邻接表、邻接矩阵
理论上,图就是一堆顶点和边对象而已,但是怎么在代码中来描述呢?
有两种主要的方法:邻接列表和邻接矩阵。
在邻接列表实现中,每一个顶点会存储一个从它这里开始的边的列表。比如,如果顶点A 有一条边到B、C和D,那么A的列表中会有3条边

在邻接矩阵实现中,由行和列都表示顶点,由两个顶点所决定的矩阵对应元素表示这里两个顶点是否相连、如果相连这个值表示的是相连边的权重。例如,如果从顶点A到顶点B有一条权重为 5.6 的边,那么矩阵中第A行第B列的位置的元素值应该是5.6:
邻接列表只描述了指向外部的边。A 有一条边到B,但是B没有边到A,所以 A没有出现在B的邻接列表中。查找两个顶点之间的边或者权重会比较费时。
所以使用哪一个呢?大多数时候,选择邻接列表是正确的。下面是两种实现方法更详细的比较:
定义四:DFS、BFS
(1) 深度优先遍历(DFS)
a. 访问顶点v
b. 依次从v的未被访问的邻接点出发,对图进行深度优先遍历;直至图中和v有路径相通的顶点都被访问
c. 若此时图中尚有顶点未被访问,则从一个未被访问的顶点出发,重新进行深度优先遍历,直到图中所有顶点均被访问过为止

(2) 广度优先遍历(BFS)
a. 从图中某个顶点v出发,访问v
b. 依次访问v的各个未被访问过的邻接点
c. 分别从这些邻接点出发依次访问他们的邻接点
d. 重复步骤c,直至所有已被访问的顶点的邻接点都被访问到

定义五:Prim 算法、Kruskal 算法、Dijkstra 算法
Prim 算法
a. 以某一个点开始,寻找当前该点可以访问的所有的边
b. 在已经寻找的边中发现最小边,这个边必须有一个点还没有访问过,将还没有访问的点加入集合,记录添加的边
c. 寻找当前集合可以访问的所有边,重复 b 的过程,直到没有新的点可以加入
Kruskal 算法
a. 设一个有n个顶点的连通网络为 G(V,E),最初先构造一个只有 n 个顶点,没有边的非连通图 T,图中每个顶点自成一个连通分量
b. 当在E中选择一条具有最小权值的边时,若该边的两个顶点落在不同的连通分量上,则将此边加入到 T 中;否则重新选择一条权值最小的边
c. 如此重复下去,直到所有顶点在同一个连通分量上为止
Dijkstra 算法
a. 遍历与结点1相连的所有结点,找到距离最近的一个,把这个结点标记为访问过,并更新最短路径
b. 遍历最短路径包含的点相连的节点,找到距离最近的加入最短路径,并且标记为访问过
c. 重复 b 步骤
总结:先遍历一遍还没有在最短路径中的点,选出一个距离最近的点,把它加入到最短路径中并更新,直到所有的点都加入到最短路径中。
存储结构
邻接表
得拿俩栗子来看,不然看着晕晕的。
如图是一个无向图的连接表结构,有向图则类似。
对于带权值的网图,可以在边表结点定义中再增加一个weight 的数据域,存储权值信息即可,如下图所示。

邻接表结点定义:
typedef char VertexType; /* 顶点类型应由用户定义 */
typedef int EdgeType; /* 边上的权值类型应由用户定义 */
typedef struct EdgeNode /* 边表结点 */
{
int adjvex; /* 邻接点域,存储该顶点对应的下标 */
EdgeType info; /* 用于存储权值,对于非网图可以不需要 */
struct EdgeNode *next; /* 链域,指向下一个邻接点 */
}EdgeNode;
typedef struct VertexNode /* 顶点表结点 */
{
VertexType data; /* 顶点域,存储顶点信息 */
EdgeNode *firstedge;/* 边表头指针 */
}VertexNode, AdjList[MAXVEX];
typedef struct
{
AdjList adjList;
int numNodes,numEdges; /* 图中当前顶点数和边数 */
}GraphAdjList;
无向图的邻接表创建代码如下:
* 建立图的邻接表结构 */
void CreateALGraph(GraphAdjList *G)
{
int i,j,k;
EdgeNode *e;
printf("输入顶点数和边数:\n");
scanf("%d,%d",&G->numNodes,&G->numEdges); /* 输入顶点数和边数 */
for(i = 0;i < G->numNodes;i++) /* 读入顶点信息,建立顶点表 */
{
scanf(&G->adjList[i].data); /* 输入顶点信息 */
G->adjList[i].firstedge=NULL; /* 将边表置为空表 */
}
for(k = 0;k < G->numEdges;k++)/* 建立边表 */
{
printf("输入边(vi,vj)上的顶点序号:\n");
scanf("%d,%d",&i,&j); /* 输入边(vi,vj)上的顶点序号 */
e=(EdgeNode *)malloc(sizeof(EdgeNode)); /* 向内存申请空间,生成边表结点 */
e->adjvex=j; /* 邻接序号为j */
e->next=G->adjList[i].firstedge; /* 将e的指针指向当前顶点上指向的结点 */
G->adjList[i].firstedge=e; /* 将当前顶点的指针指向e */
e=(EdgeNode *)malloc(sizeof(EdgeNode)); /* 向内存申请空间,生成边表结点 */
e->adjvex=i; /* 邻接序号为i */
e->next=G->adjList[j].firstedge; /* 将e的指针指向当前顶点上指向的结点 */
G->adjList[j].firstedge=e; /* 将当前顶点的指针指向e */
}
}
邻接矩阵
如下无向图,
如下有向图,

如下网图:

邻接矩阵结构:
#define OK 1
#define ERROR 0
#define TRUE 1
#define FALSE 0
#define MAXVEX 100 /* 最大顶点数,应由用户定义 */
#define INFINITY 65535
typedef int Status; /* Status是函数的类型,其值是函数结果状态代码,如OK等 */
typedef char VertexType; /* 顶点类型应由用户定义 */
typedef int EdgeType; /* 边上的权值类型应由用户定义 */
typedef struct
{
VertexType vexs[MAXVEX]; /* 顶点表 */
EdgeType arc[MAXVEX][MAXVEX];/* 邻接矩阵,可看作边表 */
int numNodes, numEdges; /* 图中当前的顶点数和边数 */
}MGraph;
有了这个结构定义,我们构造一个图,其实就是给顶点表和边表输入数据的过程。我们来看看无向网图的创建代码。
/* 建立无向网图的邻接矩阵表示 */
void CreateMGraph(MGraph *G)
{
int i,j,k,w;
printf("输入顶点数和边数:\n");
scanf("%d,%d",&G->numNodes,&G->numEdges); /* 输入顶点数和边数 */
for(i = 0;i <G->numNodes;i++) /* 读入顶点信息,建立顶点表 */
scanf(&G->vexs[i]);
for(i = 0;i <G->numNodes;i++)
for(j = 0;j <G->numNodes;j++)
G->arc[i][j]=INFINITY; /* 邻接矩阵初始化 */
for(k = 0;k <G->numEdges;k++) /* 读入numEdges条边,建立邻接矩阵 */
{
printf("输入边(vi,vj)上的下标i,下标j和权w:\n");
scanf("%d,%d,%d",&i,&j,&w); /* 输入边(vi,vj)上的权w */
G->arc[i][j]=w;
G->arc[j][i]= G->arc[i][j]; /* 因为是无向图,矩阵对称 */
}
}
从代码中也可以得到,n 个顶点和e 条边的无向网图的创建,时间复杂度O(n^2)。
遍历
DFS:深度优先
如果使用邻接矩阵,代码如下:
Boolean visited[MAXVEX]; /* 访问标志的数组 */
/* 邻接矩阵的深度优先递归算法 */
void DFS(MGraph G, int i)
{
int j;
visited[i] = TRUE;
printf("%c ", G.vexs[i]);/* 打印顶点,也可以其它操作 */
for(j = 0; j < G.numVertexes; j++)
if(G.arc[i][j] == 1 && !visited[j])
DFS(G, j);/* 对为访问的邻接顶点递归调用 */
}
/* 邻接矩阵的深度遍历操作 */
void DFSTraverse(MGraph G)
{
int i;
for(i = 0; i < G.numVertexes; i++)
visited[i] = FALSE; /* 初始所有顶点状态都是未访问过状态 */
for(i = 0; i < G.numVertexes; i++)
if(!visited[i]) /* 对未访问过的顶点调用DFS,若是连通图,只会执行一次 */
DFS(G, i);
}
如果使用邻接表结构,代码如下:
Boolean visited[MAXSIZE]; /* 访问标志的数组 */
/* 邻接表的深度优先递归算法 */
void DFS(GraphAdjList GL, int i)
{
EdgeNode *p;
visited[i] = TRUE;
printf("%c ",GL->adjList[i].data);/* 打印顶点,也可以其它操作 */
p = GL->adjList[i].firstedge;
while(p)
{
if(!visited[p->adjvex])
DFS(GL, p->adjvex);/* 对为访问的邻接顶点递归调用 */
p = p->next;
}
}
/* 邻接表的深度遍历操作 */
void DFSTraverse(GraphAdjList GL)
{
int i;
for(i = 0; i < GL->numVertexes; i++)
visited[i] = FALSE; /* 初始所有顶点状态都是未访问过状态 */
for(i = 0; i < GL->numVertexes; i++)
if(!visited[i]) /* 对未访问过的顶点调用DFS,若是连通图,只会执行一次 */
DFS(GL, i);
}
BFS:广度优先
如果说图的深度优先遍历类似树的前序遍历, 那么图的广度优先遍历就类似于树的层序遍历了。
以下是邻接矩阵结构的广度优先遍历算法:
/* 邻接矩阵的广度遍历算法 */
void BFSTraverse(MGraph G)
{
int i, j;
Queue Q;
for(i = 0; i < G.numVertexes; i++)
visited[i] = FALSE;
InitQueue(&Q); /* 初始化一辅助用的队列 */
for(i = 0; i < G.numVertexes; i++) /* 对每一个顶点做循环 */
{
if (!visited[i]) /* 若是未访问过就处理 */
{
visited[i]=TRUE; /* 设置当前顶点访问过 */
printf("%c ", G.vexs[i]);/* 打印顶点,也可以其它操作 */
EnQueue(&Q,i); /* 将此顶点入队列 */
while(!QueueEmpty(Q)) /* 若当前队列不为空 */
{
DeQueue(&Q,&i); /* 将队对元素出队列,赋值给i */
for(j=0;j<G.numVertexes;j++)
{
/* 判断其它顶点若与当前顶点存在边且未访问过 */
if(G.arc[i][j] == 1 && !visited[j])
{
visited[j]=TRUE; /* 将找到的此顶点标记为已访问 */
printf("%c ", G.vexs[j]); /* 打印顶点 */
EnQueue(&Q,j); /* 将找到的此顶点入队列 */
}
}
}
}
}
}
对于邻接表的广度优先遍历,代码与邻接矩阵差异不大,代码如下:
/* 邻接表的广度遍历算法 */
void BFSTraverse(GraphAdjList GL)
{
int i;
EdgeNode *p;
Queue Q;
for(i = 0; i < GL->numVertexes; i++)
visited[i] = FALSE;
InitQueue(&Q);
for(i = 0; i < GL->numVertexes; i++)
{
if (!visited[i])
{
visited[i]=TRUE;
printf("%c ",GL->adjList[i].data);/* 打印顶点,也可以其它操作 */
EnQueue(&Q,i);
while(!QueueEmpty(Q))
{
DeQueue(&Q,&i);
p = GL->adjList[i].firstedge; /* 找到当前顶点的边表链表头指针 */
while(p)
{
if(!visited[p->adjvex]) /* 若此顶点未被访问 */
{
visited[p->adjvex]=TRUE;
printf("%c ",GL->adjList[p->adjvex].data);
EnQueue(&Q,p->adjvex); /* 将此顶点入队列 */
}
p = p->next; /* 指针指向下一个邻接点 */
}
}
}
}
}
最小生成树
这俩算法倒是在运筹学里学过。

Prim算法
此算法可以称为“加点法”,每次迭代选择代价最小的边对应的点,加入到最小生成树中。算法从某一个顶点s开始,逐渐长大覆盖整个连通网的所有顶点。
1、图的所有顶点集合为V;初始令集合u={s},v=V−u;
2、在两个集合u,v能够组成的边中,选择一条代价最小的边(u0,v0),加入到最小生成树中,并把v0并入到集合u中。
3、重复上述步骤,直到最小生成树有n-1条边或者n个顶点为止。

(先将图构造成一个邻接矩阵G)
/* Prim算法生成最小生成树 */
void MiniSpanTree_Prim(MGraph G)
{
int min, i, j, k;
int adjvex[MAXVEX]; /* 保存相关顶点下标 */
int lowcost[MAXVEX]; /* 保存相关顶点间边的权值 */
lowcost[0] = 0;/* 初始化第一个权值为0,即v0加入生成树 */
/* lowcost的值为0,在这里就是此下标的顶点已经加入生成树 */
adjvex[0] = 0; /* 初始化第一个顶点下标为0 */
for(i = 1; i < G.numVertexes; i++) /* 循环除下标为0外的全部顶点 */
{
lowcost[i] = G.arc[0][i]; /* 将v0顶点与之有边的权值存入数组 */
adjvex[i] = 0; /* 初始化都为v0的下标 */
}
for(i = 1; i < G.numVertexes; i++)
{
min = INFINITY; /* 初始化最小权值为∞, */
/* 通常设置为不可能的大数字如32767、65535等 */
j = 1;k = 0;
while(j < G.numVertexes) /* 循环全部顶点 */
{
if(lowcost[j]!=0 && lowcost[j] < min)/* 如果权值不为0且权值小于min */
{
min = lowcost[j]; /* 则让当前权值成为最小值 */
k = j; /* 将当前最小值的下标存入k */
}
j++;
}
printf("(%d, %d)\n", adjvex[k], k);/* 打印当前顶点边中权值最小的边 */
lowcost[k] = 0;/* 将当前顶点的权值设置为0,表示此顶点已经完成任务 */
for(j = 1; j < G.numVertexes; j++) /* 循环所有顶点 */
{
if(lowcost[j]!=0 && G.arc[k][j] < lowcost[j])
{/* 如果下标为k顶点各边权值小于此前这些顶点未被加入生成树权值 */
lowcost[j] = G.arc[k][j];/* 将较小的权值存入lowcost相应位置 */
adjvex[j] = k; /* 将下标为k的顶点存入adjvex */
}
}
}
}
Kruskal算法
此算法可以称为“加边法”,初始最小生成树边数为0,每迭代一次就选择一条满足条件的最小代价边,加入到最小生成树的边集合里。
- 把图中的所有边按代价从小到大排序;
- 把图中的n个顶点看成独立的n棵树组成的森林;
- 按权值从小到大选择边,所选的边连接的两个顶点ui,vi,应属于两颗不同的树,则成为最小生成树的一条边,并将这两颗树合并作为一颗树。
- 重复(3),直到所有顶点都在一颗树内或者有n-1条边为止。

typedef struct
{
int begin;
int end;
int weight;
}Edge; /* 对边集数组Edge结构的定义 */
/* 生成最小生成树 */
void MiniSpanTree_Kruskal(MGraph G)
{
int i, j, n, m;
int k = 0;
int parent[MAXVEX];/* 定义一数组用来判断边与边是否形成环路 */
Edge edges[MAXEDGE];/* 定义边集数组,edge的结构为begin,end,weight,均为整型 */
/* 用来构建边集数组并排序********************* */
for ( i = 0; i < G.numVertexes-1; i++)
{
for (j = i + 1; j < G.numVertexes; j++)
{
if (G.arc[i][j]<INFINITY)
{
edges[k].begin = i;
edges[k].end = j;
edges[k].weight = G.arc[i][j];
k++;
}
}
}
sort(edges, &G);
/* ******************************************* */
for (i = 0; i < G.numVertexes; i++)
parent[i] = 0; /* 初始化数组值为0 */
printf("打印最小生成树:\n");
for (i = 0; i < G.numEdges; i++) /* 循环每一条边 */
{
n = Find(parent,edges[i].begin);
m = Find(parent,edges[i].end);
if (n != m) /* 假如n与m不等,说明此边没有与现有的生成树形成环路 */
{
parent[n] = m; /* 将此边的结尾顶点放入下标为起点的parent中。 */
/* 表示此顶点已经在生成树集合中 */
printf("(%d, %d) %d\n", edges[i].begin, edges[i].end, edges[i].weight);
}
}
}
克鲁斯卡尔算法主要是针对边来展开,边数少时效率会非常高,所以对于稀疏图有很大的优势; 而普里姆算法对于稠密图,即边数非常多的情况会更好一些。
最短路径
对于网图来说,最短路径,是指两顶点之间经过的边上权值之和最少的路径,并且我们称路径上的第一个顶点是源点,最后一个顶点是终点。关于最短路径主要有两种算法,迪杰斯特拉(Dijkstra) 算法和弗洛伊德(Floyd) 算法。
这俩算法在运筹学中也学了。
Dijkstra 算法
文字解释枯燥无味,我选择看图:(求解节点“1”到其他所有节点的最短路径)

这是我能找到的最容易理解的图了,其他图文讲的讳莫如深,我不喜欢。
上面这两张理解完,再重新看一套,上面这两张是用来了解一下啥是迪杰斯特拉算法,接下来这套是用来写代码的:



下面我们来模拟一下:

直接看这套的时候,会有点晕,不过有前面那套的铺垫,就好多了。
#include <iostream>
#include <cstring>
using namespace std;
const int INF = 0x3f3f3f3f, N = 205;
int ma[N][N];
int dis[N];
bool vis[N];
int n, m, st, ed;
void init()
{
// 初始化ma数组
for (int i = 0; i < n; i++)
for (int j = 0; j < n; j++)
ma[i][j] = (i == j ? 0 : INF);
}
void Dijk()
{
for (int i = 0; i < n - 1; i++){
int minv = INF, k; // k用来存储最小的且没被松弛过的城市
for (int j = 0; j < n; j++){
if (minv > dis[j] && !vis[j]){
minv = dis[j];
k = j;
}
}
vis[k] = 1;
for (int h = 0; h < n; h++)
dis[h] = min(dis[h], dis[k] + ma[k][h]);
}
}
int main(void)
{
int a, b, c;
while (cin >> n >> m){
// 初始化ma数组
init();
for (int i = 0; i < m; i++){
cin >> a >> b >> c;
if (ma[a][b] > c)
ma[a][b] = ma[b][a] = c;
}
// 输入起点和终点
cin >> st >> ed;
// 初始化dis数组
for (int i = 0; i < n; i++)
dis[i] = ma[st][i];
// 初始化vis数组
memset(vis, 0, sizeof vis);
vis[st] = 1;
Dijk();
cout << (dis[ed] == INF ? -1 : dis[ed]) << endl;
}
return 0;
}
Floyd 算法
Floyd-Warshall算法,简称Floyd算法,用于求解任意两点间的最短距离,时间复杂度为O(n^3)。
适用范围:无负权回路即可,边权可正可负,运行一次算法即可求得任意两点间最短路。
核心思想:
任意节点i到j的最短路径两种可能:
1、直接从i到j;
2、从i经过若干个节点k到j。
实现步骤:
第1步:初始化map矩阵。
矩阵中map[i][j]的距离为顶点i到顶点j的权值;
如果i和j不相邻,则map[i][j]=∞。
如果i==j,则map[i][j]=0;
第2步:以顶点A(假设是第1个顶点)为中介点,若a[i][j] > a[i][1]+a[1][j],则设置a[i][j]=a[i][1]+a[1][j]。
不好理解,看图吧,虽然图也挺抽象


这步可以理解不?理解不了慢慢理解,下面都是这种操作。





优点:容易理解,可以算出任意两个节点之间的最短距离,代码编写简单
缺点:时间复杂度比较高,不适合计算大量数据。
时间复杂度:O(n^3);空间复杂度:O(n^2);
#define mem(a,b) memset(a,b,sizeof(a))
const int inf=1<<29;
int main()
{
int map[10][10],n,m,t1,t2,t3;
scanf("%d%d",&n,&m);//n表示顶点个数,m表示边的条数
//初始化
for(int i=1; i<=n; i++)
for(int j=1; j<=n; j++)
if(i==j)
map[i][j]=0;
else
map[i][j]=inf;
//读入边
for(int i=1; i<=m; i++)
{
scanf("%d%d%d",&t1,&t2,&t3);
map[t1][t2]=t3;
}
//弗洛伊德(Floyd)核心语句
for(int k=1; k<=n; k++)
for(int i=1; i<=n; i++)
for(int j=1; j<=n; j++)
if(map[i][k]+map[k][j]<map[i][j])
map[i][j]=map[i][k]+map[k][j];
for(int i=1; i<=n; i++)
{
for(int j=1; j<=n; j++)
printf("%10d",map[i][j]);
printf("\n");
}
return 0;
}
拓扑排序
(系统提醒:看完这篇至少需要半个小时,建议收藏下次再看)
什么是拓扑排序?在离散数学里面有教,我还记得当时的栗子:要学数据科学,必须先学C++、数据结构、数据库、数学分析、线性代数;要学数据结构、数据库,必须先学C/C++,就是一个次序的问题。
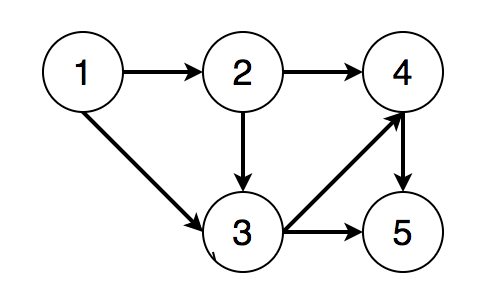
抽象到图里面,就是这样的:

1、结点1必须在结点2、3之前
2、结点2必须在结点3、4之前
3、结点3必须在结点4、5之前
4、结点4必须在结点5之前
则一个满足条件的拓扑排序为[1, 2, 3, 4, 5]。
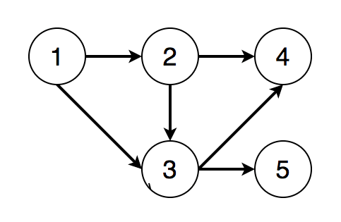
若我们删去图中4、5结点之前的有向边,上图变为如下所示:

则我们可得到两个不同的拓扑排序结果:[1, 2, 3, 4, 5]和[1, 2, 3, 5, 4]。
要想完成拓扑排序,我们每次都应当从入度为0的结点开始遍历。因为只有入度为0的结点才能够成为拓扑排序的起点。
由此我们可以进一步得出一个改进的深度优先遍历或广度优先遍历算法来完成拓扑排序。以广度优先遍历为例,这一改进后的算法与普通的广度优先遍历唯一的区别在于我们应当保存每一个结点对应的入度,并在遍历的每一层选取入度为0的结点开始遍历(而普通的广度优先遍历则无此限制,可以从该吃呢个任意一个结点开始遍历)。
这个算法描述如下:
1、初始化一个int[] inDegree保存每一个结点的入度。
2、对于图中的每一个结点的子结点,将其子结点的入度加1。
3、选取入度为0的结点开始遍历,并将该节点加入输出。
4、对于遍历过的每个结点,更新其子结点的入度:将子结点的入度减1。
5、重复步骤3,直到遍历完所有的结点。
如果无法遍历完所有的结点,则意味着当前的图不是有向无环图。不存在拓扑排序。
#include <cstdio>
#include <cstring>
#include <algorithm>
#include <iostream>
#include <vector>
#include <queue>
using namespace std;
const int maxn=505;
vector <int>ve[maxn]; //保存出度的节点
int inde[maxn]; //入度的数目
bool vis[maxn]; //是否删除此节点
vector <int> re; //保存结果
int n,m;
//初始化
void init()
{
memset (inde,0,sizeof(inde));
for (int i=0;i<maxn;i++)
{
ve[i].clear();
vis[i]=false;
}
re.clear();
}
//广度优先搜索
void bfs (int x)
{
queue <int> q;
q.push(x);
vis[x]=true;
while (!q.empty())
{
int now=q.front();
q.pop();
//将结果放入容器中
re.push_back(now);
//通过删除此点,检查是否还有0入度的点
for (int i=0;i<ve[now].size();i++)
{
int v=ve[now][i];
inde[v]--;
//如果有,加入队列
if(!vis[v]&&inde[v]==0)
{
vis[v]=1;
q.push(v);
}
}
}
}
//拓扑排序
void topsort ()
{
for (int i=1;i<=n;i++)
{
if(!vis[i]&&inde[i]==0)
{
bfs(i);
}
}
printf("结果为\n");
for (int i=0;i<re.size();i++)
printf("%d%c",re[i],i==re.size()-1? '\n':' ');
}
int main()
{
scanf("%d%d",&n,&m);
init();
for (int i=0;i<m;i++)
{
int x,y;
scanf("%d%d",&x,&y);
ve[x].push_back(y);
inde[y]++;
}
topsort();
return 0;
}
点赞收藏关注,一键三连好习惯哦
