【剑指Offer】35. 复杂链表的复制

197 阅读2分钟

NowCoder

题目描述

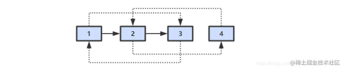
输入一个复杂链表(每个节点中有节点值,以及两个指针,一个指向下一个节点,另一个特殊指针指向任意一个节点),返回结果为复制后复杂链表的 head。 请对此链表进行深拷贝,并返回拷贝后的头结点。(注意,输出结果中请不要返回参数中的节点引用,否则判题程序会直接返回空)

public class RandomListNode {
    int label;
    RandomListNode next = null;
    RandomListNode random = null;

    RandomListNode(int label) {
        this.label = label;
    }
}
在这里插入图片描述
在这里插入图片描述

解题思路

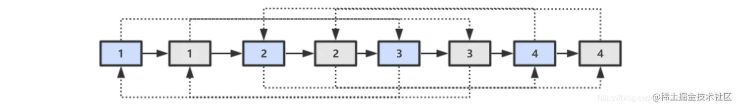
第一步,在每个节点的后面插入复制的节点。 在这里插入图片描述

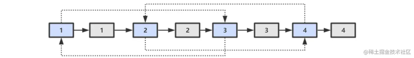
第二步,对复制节点的 random 链接进行赋值。 在这里插入图片描述 第三步,拆分。 在这里插入图片描述

/*
public class RandomListNode {
    int label;
    RandomListNode next = null;
    RandomListNode random = null;

    RandomListNode(int label) {
        this.label = label;
    }
}
*/
public class Solution {
    public RandomListNode Clone(RandomListNode pHead) {
        if(pHead == null)
            return null;
        // 插入节点-相同值紧跟
        RandomListNode cur = pHead;
        while(cur != null) {
            RandomListNode clone = new RandomListNode(cur.label);
            clone.next = cur.next;
            cur.next = clone;
            
            cur = clone.next;
        }
        // 拷贝指针
        cur = pHead;
        while(cur != null) {
            RandomListNode clone = cur.next;
            if(cur.random != null)
                clone.random = cur.random.next;
            
            cur = clone.next;
        }
        // 分离两组
        cur = pHead;
        RandomListNode pCloneHead = pHead.next;
        while(cur.next != null) {
            RandomListNode next = cur.next;
            cur.next = next.next;
            
            cur = next;
        }
        
        return pCloneHead;
    }
}