常见分布

2,545 阅读5分钟

分布可以分为连续分布和离散分布。

常见的离散型随机变量的分布有单点分布、两点分布、二项分布、几何分布、负二项分布、超几何分布、泊松分布等.

常见的连续型随机变量的分布有:均匀分布,正态分布、柯西分布、对数正态分布、指数分布、伽玛(Γ)分布、贝塔(Β)分布、x2分布、学生分布、F分布等等

1.正态分布

正态分布又叫高斯分布,是一个非常常见的连续概率分布。正态分布在统计学上十分重要,经常用在自然和社会科学来代表一个不明的随机变量。

正态分布的数学期望值或期望值\mu等于位置参数,决定了分布的位置;其方差\sigma^2的开平方或标准差\sigma等于尺度参数,决定了分布的幅度。

  • 正态分布中一些值得注意的量:

密度函数关于平均值对称 平均值与它的众数(statistical mode)以及中位数(median)同一数值。 函数曲线下68.268949%的面积在平均数左右的一个标准差范围内。 95.449974%的面积在平均数左右两个标准差的范围内。 99.730020%的面积在平均数左右三个标准差的范围内。 99.993666%的面积在平均数左右四个标准差的范围内。 函数曲线的拐点(inflection point)为离平均数一个标准差距离的位置。

2.均匀分布

在概率论和统计学中,均匀分布也叫矩形分布,它是对称概率分布,在相同长度间隔的分布概率是等可能的。 均匀分布由两个参数a和b定义,它们是数轴上的最小值和最大值,通常缩写为U(a,b)。

3.指数分布

指数分布是事件的时间间隔的概率。

指数分布具有以下特征:

(1)随机变量X的取值范围是从0到无穷;

(2)极大值在x=0处,即f(x)=λ;

(3)函数为右偏,且随着x的增大,曲线稳步递减;

(4)随机变量的期望值和方差为µ=1/λ,σ2=1/λ2。

4. 伽玛(Γ)分布

伽玛分布(Gamma distribution)是统计学的一种连续概率函数。Gamma分布中的参数α,称为形状参数(shape parameter),β称为尺度参数(scale parameter)。

指数分布解决的问题是“要等到一个随机事件发生,需要经历多久时间”,伽玛分布解决的问题是“要等到n个随机事件都发生,需要经历多久时间”。伽玛分布可以看作是n个指数分布的独立随机变量的加总,即,n个Exponential(λ)random variables--->Gamma(n,λ)

X∼Gamma(α,λ),概率公式如下

alpha代表上述的n, 当alpha=1时,就变成了指数分布:

3、从统计指标来看:

这就是 n(alpha)倍的指数分布的期望啊!

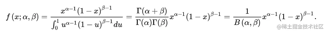
5. 贝塔(Β)分布

贝塔分布(Beta Distribution) 是一个作为伯努利分布和二项式分布的共轭先验分布的密度函数,在机器学习和数理统计学中有重要应用。在概率论中,贝塔分布,也称Β分布,是指一组定义在(0,1) 区间的连续概率分布。

在概率论中,贝塔分布,也称B分布,是指一组定义在(0,1)区间的连续概率分布,有两个参数>1 。

1.概率密度函数

Β分布的概率密度函数是:

其中 是Γ函数。随机变量X服从参数为 的Β分布通常写作

2.累积分布函数

6.F分布

它是两个服从卡方分布的独立随机变量各除以其自由度后的比值的抽样分布,是一种非对称分布,且位置不可互换。F分布有着广泛的应用,如在方差分析、回归方程的显著性检验中都有着重要的地位。

7.Bernoulli分布

伯努利分布(Bernoulli distribution)又名两点分布或0-1分布,介绍伯努利分布前首先需要引入伯努利试验(Bernoulli trial)。

8.二项分布

二项分布就是重复n次独立的伯努利试验,即当n-1时,二项分布退化为伯努利分布。在每次试验中只有两种可能的结果,而且两种结果发生与否互相对立,并且相互独立,与其它各次试验结果无关,事件发生与否的概率在每一次独立试验中都保持不变。

9.多项分布

二项分布的试验结果只有两个(成功和失败),而多项分布的试验结果则多于两个。如果试验的结果有三个,则是三项分布;如果结果有六个,则是六项分布。现实生活中也有很多符合多项分布的例子:例如,扔骰子,结果点数有六种可能(骰子有6个面对应6个不同的点数);足球比赛的结果有胜、平、负三种。参照二项分布试验的特点,多项分布试验的特点如下:

每次试验有多种可能的结果,但是每种结果只会出现一个;

每种结果都有各自发生的概率,所有结果的发生概率之和为1;

各次试验相互独立,每次试验结果都不受其他各次试验结果的影响。

10.poission分布

泊松分布(Poisson)是一种统计与概率学中常见的离散概率分布,适合用于描述单位时间(单位面积)内随机事件发生的次数(个数),例如:一分钟内不断抛硬币并得到正面向上的次数为 30 次,求解得到正面向上次数为 50 次的概率是多少。

适合于泊松分布的事件需要满足下述 3 个条件:

  1. 这个事件是一个小概率事件。

  2. 事件的每次发生都是独立的。

  3. 事件的概率是稳定的。

11.几何分布

12.超几何分布