LeetCode 160. 相交链表|刷题打卡

567 阅读3分钟

题目描述

编写一个程序,找到两个单链表相交的起始节点。

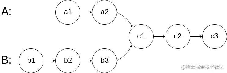
如下面的两个链表:

img

在节点 c1 开始相交。

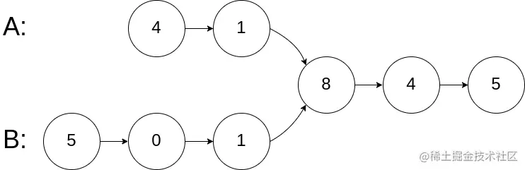
示例 1:

img

输入:intersectVal = 8, listA = [4,1,8,4,5], listB = [5,0,1,8,4,5], skipA = 2, skipB = 3
输出:Reference of the node with value = 8
输入解释:相交节点的值为 8 (注意,如果两个链表相交则不能为 0)。从各自的表头开始算起,链表 A 为 [4,1,8,4,5],链表 B 为 [5,0,1,8,4,5]。在 A 中,相交节点前有 2 个节点;在 B 中,相交节点前有 3 个节点。

 

示例 2:

img

输入:intersectVal = 2, listA = [0,9,1,2,4], listB = [3,2,4], skipA = 3, skipB = 1
输出:Reference of the node with value = 2
输入解释:相交节点的值为 2 (注意,如果两个链表相交则不能为 0)。从各自的表头开始算起,链表 A 为 [0,9,1,2,4],链表 B 为 [3,2,4]。在 A 中,相交节点前有 3 个节点;在 B 中,相交节点前有 1 个节点。

 

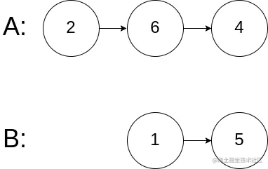
示例 3:

img

输入:intersectVal = 0, listA = [2,6,4], listB = [1,5], skipA = 3, skipB = 2
输出:null
输入解释:从各自的表头开始算起,链表 A 为 [2,6,4],链表 B 为 [1,5]。由于这两个链表不相交,所以 intersectVal 必须为 0,而 skipA 和 skipB 可以是任意值。
解释:这两个链表不相交,因此返回 null

 

注意:

  • 如果两个链表没有交点,返回 null.
  • 在返回结果后,两个链表仍须保持原有的结构。
  • 可假定整个链表结构中没有循环。
  • 程序尽量满足 O(n) 时间复杂度,且仅用 O(1) 内存。

解题思路

方法一:双指针

  • 创建两个指针 p1, p2, 分别指向链表 AB
  • 迭代两个链表,条件为 p1 !== p2
  • p1 到达链表尾部时,让 p1 指向 B 链表
  • p2 到达链表尾部时,让 p2 指向 A 链表
  • 循环结束,最后返回 p1即可
  • 说明:
    • 如果链表 A B,存在相交的节点,循环到这个节点时, p1 会与 p2 相等,并且 p1 即为 两个链表的相交节点
    • 如果不存在相交节点,最后 p1p2 会在 null 时退出循环

复杂度分析

  • 时间复杂度 : O(m+n)
  • 空间复杂度 : O(1)

代码

/**
 * Definition for singly-linked list.
 * function ListNode(val) {
 *     this.val = val;
 *     this.next = null;
 * }
 */

/**
 * @param {ListNode} headA
 * @param {ListNode} headB
 * @return {ListNode}
 */
// todo 双指针
var getIntersectionNode = function (headA, headB) {
  let p1 = headA;
  let p2 = headB;
  while (p1 !== p2) {
    p1 = p1 === null ? headB : p1.next;
    p2 = p2 === null ? headA : p2.next;
  }
  return p1;
};

方法二:哈希表法

遍历链表 A 并将每个结点的地址/引用存储在哈希表中。然后检查链表 B 中的每一个结点 b(i) 是否在哈希表中。若在,则 b(i)为相交结点。

复杂度分析

  • 时间复杂度 : O(m+n)
  • 空间复杂度 : O(m)O(n)

代码

/**
 * Definition for singly-linked list.
 * function ListNode(val) {
 *     this.val = val;
 *     this.next = null;
 * }
 */

/**
 * @param {ListNode} headA
 * @param {ListNode} headB
 * @return {ListNode}
 */
// todo 哈希表法
var getIntersectionNode = function (headA, headB) {
  let map = new Map();
  while (headA) {
    map.set(headA, true);
    headA = headA.next;
  }

  while (headB) {
    if (map.has(headB)) {
      break;
    }
    headB = headB.next;
  }
  return headB;
};