【刷穿leetcode】141. 环形链表|刷题打卡

406 阅读4分钟

一、题目描述:

leetcode第141题:环形链表

给定一个链表,判断链表中是否有环。

如果链表中有某个节点,可以通过连续跟踪 next 指针再次到达,则链表中存在环。 为了表示给定链表中的环,我们使用整数 pos 来表示链表尾连接到链表中的位置(索引从 0 开始)。 如果 pos 是 -1,则在该链表中没有环。注意:pos 不作为参数进行传递,仅仅是为了标识链表的实际情况。
如果链表中存在环,则返回 true 。 否则,返回 false 。

进阶: 你能用 O(1)(即,常量)内存解决此问题吗?

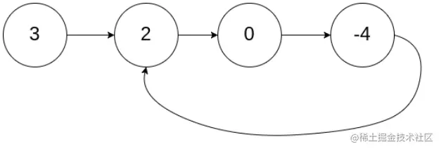
示例 1:

输入:head = [3,2,0,-4], pos = 1
输出:true
解释:链表中有一个环,其尾部连接到第二个节点。

示例 2:

输入:head = [1,2], pos = 0
输出:true
解释:链表中有一个环,其尾部连接到第一个节点。

示例 3:

输入:head = [1], pos = -1
输出:false
解释:链表中没有环。

二、思路分析:

解法1:暴力法

设定cur1、cur2两个指针

  • cur1 每遍历到一个节点,就让 cur2 从头遍历之前所有节点
  • 如果 cur2 走到 cur1,所用的步数二者一样,则相遇点不是入环点
  • 如果 cur2 走到 cur1,所用的步数不一样,则相遇点就是入环点,cur1比 cur2多走一个环 复杂度分析
    时间复杂度:O(n^2),其中n为链表中的元素数量。
    空间复杂度:O(1),没有产生额外的空间开销。

解法2:借助哈希表,标记判重

借助哈希表查询时间快的特点,我们创建一个哈希Map。每遍历一个链表节点,都查看哈希表是否存在当前节点,如果存在,则说明链表有环;如果不存在,则存入哈希表,继续遍历。
复杂度分析
时间复杂度:O(n),其中n为链表中的元素数量。该方法遍历一次链表节点,时间复杂就为n,哈希表查询节点是否存在,时间复杂度为1,所以综合时间复杂度为n。
空间复杂度:O(n),哈希表为额外空间消耗。

解法3:快慢指针

设定fast、slow 快慢指针

  • 快、慢指针,从头节点出发
  • 慢指针每次走一步,快指针每次走两步,不断比较它们指向的节点的值
  • 如果节点值相同,说明有环。如果不同,继续循环。

类似 “追及问题”:两个人在环形跑道上赛跑,同一个起点出发,一个跑得快一个跑得慢,在某一时刻,跑得快的必定会追上跑得慢的,只要是跑道是环形的,不是环形就肯定追不上。

复杂度分析
时间复杂度:O(n)
空间复杂度:O(1)

三、AC 代码:

暴力法的代码

var hasCycle = (head) => {
  let cur1 = head;    // cur1指针
  let step1 = 0;      // cur1指针走的步数
  while (cur1) {
    step1++;
    let cur2 = head;  // cur2指针从头遍历
    let step2 = 0;    // cur2指针走的步数
    while (cur2) {
      step2++;
      if (cur1 == cur2) {     // cur1和cur2的元素相同
        if (step1 == step2) { // 如果走的步数一样,即走到了cur1这里
          break;              // 退出内层while
        } else {              // 相遇但步数不一样
          return true;        // 说明链表有环。cur1比cur2多走一个环
        }
      }
      cur2 = cur2.next;   // cur2一次走一步
    }
    cur1 = cur1.next;     // cur1一次走一步
  }
  return false;
};

借助哈希表,标记判重的代码

var hasCycle = (head) => {
  let map = new Map();
  while(head) {
    if(map.has(head)) return true;
    map.set(head, true);
    head = head.next;
  }
  return false;
}

快慢指针的代码

var hasCycle = function(head) {
    if(!head || !head.next) {
      return false
    }
    let slow = head;
    let fast = head.next;

    while(fast !== null && fast.next) {
      slow = slow.next;
      fast = fast.next.next;
      if(slow === fast) {
        return true;
      }
    }
    return false;
};

四、总结:

解法2继续借用第一天学习到的空间换时间的解题思路,解法3则是在解法2基础又进一步优化空间复杂度。因此,写出执行效率高的高质量代码,需要我们不断修炼内功!!
明天继续坚持刷题~~

本文正在参与「掘金 3 月闯关活动」,点击查看活动详情