【剑指Offer】32.1 从上往下打印二叉树

161 阅读1分钟

NowCoder

题目描述

从上往下打印出二叉树的每个节点,同层节点从左至右打印。

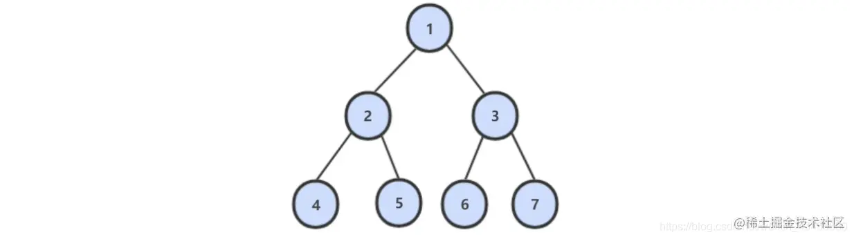
例如,以下二叉树层次遍历的结果为:1,2,3,4,5,6,7 在这里插入图片描述

解题思路

使用队列来进行层次遍历。

不需要使用两个队列分别存储当前层的节点和下一层的节点,因为在开始遍历一层的节点时,当前队列中的节点数就是当前层的节点数,只要控制遍历这么多节点数,就能保证这次遍历的都是当前层的节点。

public ArrayList<Integer> PrintFromTopToBottom(TreeNode root) {
    Queue<TreeNode> queue = new LinkedList<>();
    ArrayList<Integer> ret = new ArrayList<>();
    queue.add(root);
    while (!queue.isEmpty()) {
        int cnt = queue.size();
        while (cnt-- > 0) {
            TreeNode t = queue.poll();
            if (t == null)
                continue;
            ret.add(t.val);
            queue.add(t.left);
            queue.add(t.right);
        }
    }
    return ret;
}