DL之DNN优化技术:神经网络算法简介之GD/SGD算法的简介、代码实现、代码调参之详细攻略

474 阅读3分钟

DL之DNN优化技术:神经网络算法简介之GD/SGD算法的简介、代码实现、代码调参之详细攻略

 

 

目录

GD算法的简介

GD/SGD算法的代码实现

1、Matlab编程实现

GD算法的改进算法

GD算法中的超参数


 

 

GD算法的简介

      GD算法,是求解非线性无约束优化问题的基本方法,最小化损失函数的一种常用的一阶优化方法。如图所示,找出最陡峭的方向作为下山的方向。

1、如何求梯度?

沿着梯度方向,函数值下降最快。

2、二元曲面

具有两个输入权重的线性神经元的误差曲面,Error surface of a linear neuron with two input weights

3、GD算法容易陷入局部最小值

 

 

GD/SGD算法的代码实现

1、Matlab编程实现

%% 最速下降法图示
% 设置步长为0.1,f_change为改变前后的y值变化,仅设置了一个退出条件。
syms x;f=x^2;
step=0.1;x=2;k=0;         %设置步长,初始值,迭代记录数
f_change=x^2;             %初始化差值
f_current=x^2;            %计算当前函数值
ezplot(@(x,f)f-x.^2)       %画出函数图像
axis([-2,2,-0.2,3])       %固定坐标轴
hold on
while f_change>0.000000001                %设置条件,两次计算的值之差小于某个数,跳出循环
    x=x-step*2*x;                         %-2*x为梯度反方向,step为步长,!最速下降法!
    f_change = f_current - x^2;           %计算两次函数值之差
    f_current = x^2 ;                     %重新计算当前的函数值
    plot(x,f_current,'ro','markersize',7) %标记当前的位置
    drawnow;pause(0.2);
    k=k+1;
end
hold off
fprintf('在迭代%d次后找到函数最小值为%e,对应的x值为%e\n',k,x^2,x)

2、基于python实现SGD算法

class SGD:
    def __init__(self, lr=0.01):
        self.lr = lr  #学习率,实例变量
    
    #update()方法,在SGD中会被反复调用
    def update(self, params, grads):
        for key in params.keys():
            params[key] -= self.lr * grads[key]  #参数params、grads依旧是字典型变量,按params['W1']、grads['W1']的形式,分别保存了权重参数和它们的梯度。
    
'伪代码:神经网络的参数的更新'   
network = TwoLayerNet(...)
optimizer = SGD()
for i in range(10000):
    ...
    x_batch, t_batch = get_mini_batch(...) # mini-batch
    grads = network.gradient(x_batch, t_batch)
    params = network.params
    optimiz

 

 

GD算法的改进算法

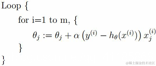
1、SGD算法
(1)、mini-batch
如果不是每拿到一个样本即更改梯度,而是若干个样本的平均梯度作为更新方向,则是mini-batch梯度下降算法。



(1)、SGD与学习率、Rate、Loss

 

 

GD算法中的超参数

1、学习率

(1)、固定学习率实验的C代码

(2)、回溯线性搜索(Backing Line Search)

(3)、二次插值线性搜索:回溯线性搜索的思考——插值法,二次插值法求极值