ML之LoR:逻辑回归LoR算法的简介、应用、经典案例之详细攻略

140 阅读2分钟

ML之LoR:逻辑回归LoR算法的简介、应用、经典案例之详细攻略

 

 

目录

逻辑回归LoR算法的简介

逻辑回归LoR算法的应用

1、逻辑回归可视化

逻辑回归LoR算法的经典案例


 

 

 

逻辑回归LoR算法的简介

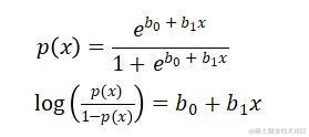
        逻辑回归最适合二进制分类(y = 0或1的数据集,其中1表示默认类)。例如:在预测事件是否发生时,发生的事件被分类为1。在预测人会生病或不生病,生病的实例记为1)。它是以其中使用的变换函数命名的,称为逻辑函数h(x) =1 / (1+e-x),它是一个S形曲线。
在逻辑回归中,输出是以缺省类别的概率形式出现的。因为这是一个概率,所以输出在0-1的范围内。输出(y值)通过对数转换x值,使用对数函数h(x) = 1 /(1+e-x)来生成。然后应用一个阈值来强制这个概率进入二元分类。

        上图判断了肿瘤是恶性还是良性。默认变量是y = 1(肿瘤=恶性);x变量可以是肿瘤的信息,例如肿瘤的尺寸。如图所示,逻辑函数将数据集的各种实例的x值转换成0到1的范围。如果概率超过阈值0.5(由水平线示出),则将肿瘤分类为恶性。

        逻辑回归的目标是使用训练数据来找到系数b0和b1的值,以使预测结果与实际结果之间的误差最小化。这些系数是使用最大似然估计来计算的。

 

 

逻辑回归LoR算法的应用

1、逻辑回归可视化


 

 

逻辑回归LoR算法的经典案例

TF之LoR:基于tensorflow利用逻辑回归算LoR法实现手写数字图片识别提高准确率
ML之LoR:LoR之二分类之线性决策算法实现根据两课成绩分数~预测期末通过率(合格还是不合格)
ML之LoR:利用LoR二分类之非线性决策算法案例应用之划分正负样本