【深度学习】神经网络知识专题总结

78 阅读8分钟

译者:张峰,Datawhale成员

结构总览

一、神经网络简介

对于非线性分类问题(如图1所示),“非线性”意味着你无法使用形式为:

的模型准确预测标签。也就是说,“决策面”不是直线。之前,我们了解了对非线性问题进行建模的一种可行方法 - 特征组合。

现在,请考虑以下数据集:

图 2. 更难的非线性分类问题

图 2 所示的数据集问题无法用线性模型解决。为了了解神经网络可以如何帮助解决非线性问题,我们首先用图表呈现一个线性模型:

图 3. 用图表呈现的线性模型

每个蓝色圆圈均表示一个输入特征,绿色圆圈表示各个输入的加权和。要提高此模型处理非线性问题的能力,我们可以如何更改它?

1.1 隐藏层

在下图所示的模型中,我们添加了一个表示中间值的“隐藏层”。隐藏层中的每个黄色节点均是蓝色输入节点值的加权和。输出是黄色节点的加权和。

图 4. 两层模型的图表

此模型是线性的吗?是的,其输出仍是其输入的线性组合。

在下图所示的模型中,我们又添加了一个表示加权和的“隐藏层”。

图 5. 三层模型的图表

此模型仍是线性的吗?是的,没错。当你将输出表示为输入的函数并进行简化时,你只是获得输入的另一个加权和而已。该加权和无法对图 2 中的非线性问题进行有效建模。

1.2 激活函数

要对非线性问题进行建模,我们可以直接引入非线性函数。我们可以用非线性函数将每个隐藏层节点像管道一样连接起来。

在下图所示的模型中,在隐藏层 1 中的各个节点的值传递到下一层进行加权求和之前,我们采用一个非线性函数对其进行了转换。这种非线性函数称为激活函数。

图 6. 包含激活函数的三层模型的图表

现在,我们已经添加了激活函数,如果添加层,将会产生更多影响。通过在非线性上堆叠非线性,我们能够对输入和预测输出之间极其复杂的关系进行建模。简而言之,每一层均可通过原始输入有效学习更复杂、更高级别的函数。如果你想更直观地了解这一过程的工作原理,请参阅 Chris Olah 的精彩博文。

常见激活函数

以下 S 型激活函数将加权和转换为介于 0 和 1 之间的值。

曲线图如下:

图 7. S 型激活函数

相较于 S 型函数等平滑函数,以下修正线性单元激活函数(简称为 ReLU)的效果通常要好一点,同时还非常易于计算。

ReLU 的优势在于它基于实证发现(可能由 ReLU 驱动),拥有更实用的响应范围。S 型函数的响应性在两端相对较快地减少。

图 8. ReLU 激活函数

实际上,所有数学函数均可作为激活函数。假设 σσ 表示我们的激活函数(ReLU、S 型函数等等)。因此,网络中节点的值由以下公式指定:

TensorFlow 为各种激活函数提供开箱即用型支持。但是,我们仍建议从 ReLU 着手。

1.3 小结

现在,我们的模型拥有了人们通常所说的“神经网络”的所有标准组件:

  • 一组节点,类似于神经元,位于层中。
  • 一组权重,表示每个神经网络层与其下方的层之间的关系。下方的层可能是另一个神经网络层,也可能是其他类型的层。
  • 一组偏差,每个节点一个偏差。
  • 一个激活函数,对层中每个节点的输出进行转换。不同的层可能拥有不同的激活函数。

警告:神经网络不一定始终比特征组合好,但它确实可以提供适用于很多情形的灵活替代方案。

二、训练神经网络

本部分介绍了反向传播算法的失败案例,以及正则化神经网络的常见方法。

2.1 失败案例

很多常见情况都会导致反向传播算法出错。

梯度消失

较低层(更接近输入)的梯度可能会变得非常小。在深度网络中,计算这些梯度时,可能涉及许多小项的乘积。

当较低层的梯度逐渐消失到 0 时,这些层的训练速度会非常缓慢,甚至不再训练。

ReLU 激活函数有助于防止梯度消失。

梯度爆炸

如果网络中的权重过大,则较低层的梯度会涉及许多大项的乘积。在这种情况下,梯度就会爆炸:梯度过大导致难以收敛。批标准化可以降低学习速率,因而有助于防止梯度爆炸。

ReLU 单元消失

一旦 ReLU 单元的加权和低于 0,ReLU 单元就可能会停滞。它会输出对网络输出没有任何贡献的 0 激活,而梯度在反向传播算法期间将无法再从中流过。由于梯度的来源被切断,ReLU 的输入可能无法作出足够的改变来使加权和恢复到 0 以上。

降低学习速率有助于防止 ReLU 单元消失。

2.2 丢弃正则化

这是称为丢弃的另一种形式的正则化,可用于神经网络。其工作原理是,在梯度下降法的每一步中随机丢弃一些网络单元。丢弃得越多,正则化效果就越强:

  • 0.0 = 无丢弃正则化。
  • 1.0 = 丢弃所有内容。模型学不到任何规律。

0.0 和 1.0 之间的值更有用。

三、多类别神经网络

3.1 一对多(OnevsAll)

一对多提供了一种利用二元分类的方法。鉴于一个分类问题会有 N 个可行的解决方案,一对多解决方案包括 N 个单独的二元分类器,每个可能的结果对应一个二元分类器。在训练期间,模型会训练一系列二元分类器,使每个分类器都能回答单独的分类问题。以一张狗狗的照片为例,可能需要训练五个不同的识别器,其中四个将图片看作负样本(不是狗狗),一个将图片看作正样本(是狗狗)。即:

  1. 这是一张苹果的图片吗?不是。
  2. 这是一张熊的图片吗?不是。
  3. 这是一张糖果的图片吗?不是。
  4. 这是一张狗狗的图片吗?是。
  5. 这是一张鸡蛋的图片吗?不是。

当类别总数较少时,这种方法比较合理,但随着类别数量的增加,其效率会变得越来越低下。

我们可以借助深度神经网络(在该网络中,每个输出节点表示一个不同的类别)创建明显更加高效的一对多模型。图9展示了这种方法:

图 9. 一对多神经网络

四、Softmax

我们已经知道,逻辑回归可生成介于 0 和 1.0 之间的小数。例如,某电子邮件分类器的逻辑回归输出值为 0.8,表明电子邮件是垃圾邮件的概率为 80%,不是垃圾邮件的概率为 20%。很明显,一封电子邮件是垃圾邮件或非垃圾邮件的概率之和为 1.0。

Softmax 将这一想法延伸到多类别领域。也就是说,在多类别问题中,Softmax 会为每个类别分配一个用小数表示的概率。这些用小数表示的概率相加之和必须是 1.0。与其他方式相比,这种附加限制有助于让训练过程更快速地收敛。

例如,回到我们在图 9 中看到的图片分析示例,Softmax 可能会得出图片属于某一特定类别的以下概率:

Softmax 层是紧挨着输出层之前的神经网络层。Softmax 层必须和输出层拥有一样的节点数。

图 10. 神经网络中的 Softmax 层

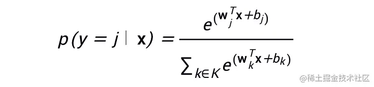
Softmax 方程式如下所示:

请注意,此公式本质上是将逻辑回归公式延伸到了多类别。

4.1 Softmax 选项

请查看以下 Softmax 变体:

  • 完整 Softmax 是我们一直以来讨论的 Softmax;也就是说,Softmax 针对每个可能的类别计算概率。
  • 候选采样指 Softmax 针对所有正类别标签计算概率,但仅针对负类别标签的随机样本计算概率。例如,如果我们想要确定某个输入图片是小猎犬还是寻血猎犬图片,则不必针对每个非狗狗样本提供概率。

类别数量较少时,完整 Softmax 代价很小,但随着类别数量的增加,它的代价会变得极其高昂。候选采样可以提高处理具有大量类别的问题的效率。

五、一个标签与多个标签

Softmax 假设每个样本只是一个类别的成员。但是,一些样本可以同时是多个类别的成员。对于此类示例:

  • 你不能使用 Softmax。
  • 你必须依赖多个逻辑回归。

例如,假设你的样本是只包含一项内容(一块水果)的图片。Softmax 可以确定该内容是梨、橙子、苹果等的概率。如果你的样本是包含各种各样内容(几份不同种类的水果)的图片,你必须改用多个逻辑回归。