【剑指Offer】23. 链表中环的入口结点

160 阅读2分钟

NowCoder

题目描述

一个链表中包含环,请找出该链表的环的入口结点。要求不能使用额外的空间。

解题思路

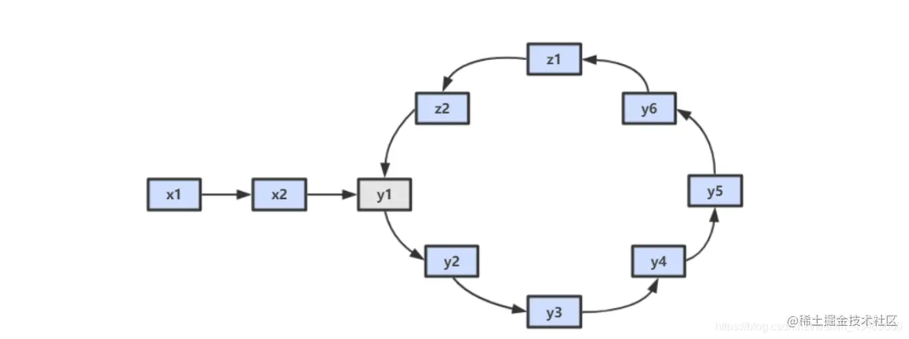
使用双指针,一个指针 fast 每次移动两个节点,一个指针 slow 每次移动一个节点。因为存在环,所以两个指针必定相遇在环中的某个节点上。假设相遇点在下图的 z1 位置,此时 fast 移动的节点数为 x+2y+z,slow 为 x+y,由于 fast 速度比 slow 快一倍,因此 x+2y+z=2(x+y),得到 x=z。

在相遇点,slow 要到环的入口点还需要移动 z 个节点,如果让 fast 重新从头开始移动,并且速度变为每次移动一个节点,那么它到环入口点还需要移动 x 个节点。在上面已经推导出 x=z,因此 fast 和 slow 将在环入口点相遇。 在这里插入图片描述

/*
 public class ListNode {
    int val;
    ListNode next = null;

    ListNode(int val) {
        this.val = val;
    }
}
*/
public class Solution {

    public ListNode EntryNodeOfLoop(ListNode pHead) {
        if(pHead == null || pHead.next == null)
            return null;
        
        ListNode fast = pHead, slow = pHead;
        do{
            fast = fast.next.next;
            slow = slow.next;
        }while(fast != slow);
        
        // 此时x=z(fast从头节点开始,slow从第一次相遇z点开始。下一次相遇则是入口)
        fast = pHead;
        while(fast != slow) {
            fast = fast.next;
            slow = slow.next;
        }
       
        return slow;
    }
}