树 Story —— 平衡二叉树

385 阅读5分钟

在计算机科学中,AVL树是最早被发明的自平衡二叉查找树。在AVL树中,任一节点对应的两棵子树的最大高度差为1,因此它也被称为高度平衡树。二叉查找树查找、插入和删除在平均和最坏情况下的时间复杂度都是 O(log n)。AVL 树得名于它的发明者 G. M. Adelson-Velsky 和 Evgenii Landis,他们在1962年的论文《An algorithm for the organization of information》中公开了这一数据结构。

平衡二叉树,又被称为「VL树」,且具有以下性质:它是一棵空树或它的左右两个子树的高度差的绝对值不超过 1,并且左右两个子树都是一棵平衡二叉树。

(我们平时所说的平衡二叉树,大部分指的是平衡二叉排序树,但是单说平衡二叉树的话,并不一定是有序的)

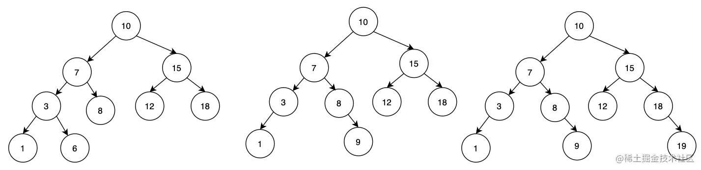
平衡二叉树

以上三个都是二叉平衡树,只要满足左右子树高度差不超过 1 ,就是平衡二叉树。

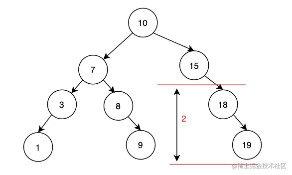
而上图虽然和上上面三个二叉树很像,但是它是不平衡的,节点 18 的左子树高度是 0,而右子树高度是 2,所以它不是平衡二叉树。

平衡二叉树

如何将不平衡二叉树调节成平衡二叉树呢?

在平衡二叉树插入或删除之前,二叉树一定是平衡的。插入或删除节点,导致了二叉树不平衡。

插入导致不平衡状态有四种情形:左左、左右、右右、右左。

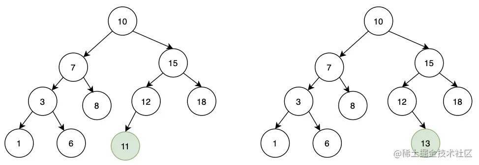
插入节点

左左 (LL):根节点左子树下的左子树下插入

左右 (LR):根节点左子树下的右子树插入

右右 (RR):根节点右子树的右子树插入

右左 (RL): 根节点右子树的左子树插入

为什么要分四种情况呢?因为四种的插入方式,会导致不同的平衡策略。

其实这四种情况,可以缩减为两种,剩下的两种只是相互对称的处理方式。

进行平衡的操作我们称之为「左旋」或者「右旋」

如果情况是 左左(右右)那么可以通过一次右旋(左旋)即可完成平衡,而左右(右左)则需要左旋+右旋(右旋+左旋)来完成平衡,下面我们分别介绍一下这四次平衡的过程。

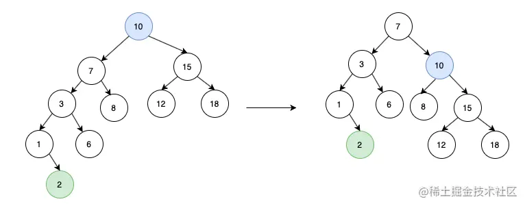
左左(LL)

假设需要右旋节点 10,蓝色标记。将节点 10 的左子节点向上提到根节点 10 的位置,节点 10 移动为节点 7 的右子节点,而节点 7 的原右子节点则成为节点 10 的左子节点。

右右则正好相反,需要进行左旋。左旋的流程如下

左右 (LR)

当时左右或者右左的时候,需要进行两次旋转才可以使二叉树平衡。

左右的时候,需要先将插入的节点 5 的祖父节点 3 进行左旋,然后再将节点 3 的祖父节点 7 右旋 ,最后得到一个平衡二叉树。重申一下平衡二叉树的原则:左右子树的高度之差不能大于 1。

右左的情况同理,只是进行对称操作。

删除节点

相比于插入,删除反而要更复杂一些。

删除的场景有:

  • 删除叶子节点
  • 删除节点只有左子树
  • 删除节点只有右子树
  • 删除节点有左子树和右子树

删除节点后,如果出现不平衡,则需要进行平衡调整。平衡调整逃不过 LL、RR、LR、RL 的情况,所以不管树出现了哪种不平衡,都可以通过左旋和右旋来是不平衡的二叉树变得平衡。

下面举出几个具体例子:

  1. 被删除的节点没有子节点

如果删除的节点 1 没有子节点,直接删除就好

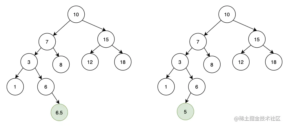
  1. 被删除的节点有左子节点和右子节点

如果删除的节点 7 有左右节点,则选择「左子树-最大节点 6」或者「右子树-最小节点 8 」与被删除的节点交换,并移除交换后的节点。

如果左子树和右子树的高度不一致,通常选择高度较高的子树进行替换。此例子中选择了左子树的最大节点 6 与被删除的节点 7 进行了替换。

如果删除的节点 3 有左右节点,可以选择「左子树-最大节点」或者「右子树-最小」节点

如果左右高度一致,比如删除节点 3,那么可以选择后继节点 6节点 3 替换后,删除节点 3。(选择节点 1 替换可以达到同样目的,理论上也是合理的)

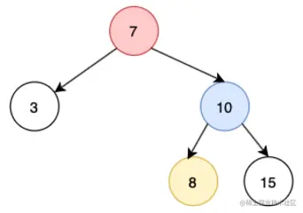
  1. 删除节点后出现不平衡

删除节点 8 后,导致不平衡,则需要针对不同情况进行旋转操作,让不平衡转为平衡。

删除节点后的不平衡,也分为四种情况,这四种情况与插入一个新节点是一样的。可以理解成,删除一个节点导致不平衡,等于新插入一个节点导致不平衡。

上面的例子中,删除节点 8,相当于在节点 8 的父节点节点 7 的左子树插入新节点(不管是节点 1 还是节点 6 )。同插入节点的左左 LL 的情形。所以进行一次右旋即可使树平衡。

总结

平衡二叉树是为了解决树的高度过高的问题。

对于二叉查找树,如果高度过高,会导致二分查找效率变低,会从 O(logn) 甚至变成 O(n) 的复杂度。

所以我们需要将二叉查找树的高度降低,宽度变大,就成为了平衡二叉排序树。

平衡二叉树的任意节点的两个子树高度之差不能大于 1 。平衡二叉排序树继承了二叉查找树的规则。

平衡二叉树不一定是有序的,不过大部分的时候默认是平衡二叉排序树。平衡二叉树家族中,有另外一个耳熟能详的数据结构——红黑树。