Day12 删除链表的倒数第 N 个结点

177 阅读2分钟

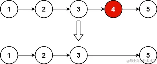
给你一个链表,删除链表的倒数第 n 个结点,并且返回链表的头结点。

进阶:你能尝试使用一趟扫描实现吗?

leetcode-cn.com/problems/re…

示例1:

输入:head = [1,2,3,4,5], n = 2 输出:[1,2,3,5]

示例2:

输入:head = [1], n = 1 输出:[]

示例3:

输入:head = [1,2], n = 1 输出:[1]

提示:

链表中结点的数目为 sz 1 <= sz <= 30 0 <= Node.val <= 100 1 <= n <= sz

Java解法

思路:

  • 面试被问的一道题,当时回答了转双链表、用栈处理,然而并没有接收到什么反馈。这次来试试顺便看看我差在哪里
  • 栈解:头结点入栈,随后出栈,到第N个移除,继续出栈;简单,一把过,但效率不高
  • 双链表:改变了数据结构,不太合理,弃用
  • 双指针:两个指针在同一趟循环中遍历,前指针与后指针间隔为N,这样保证了前指针移到末尾时,后指针正好到要移除的位置的前一结点;效率很高,但不知道为啥耗内存了,还少用一个栈
package sj.shimmer.algorithm;
import java.util.Stack;

/**
 * Created by SJ on 2021/2/5.
 */

class D12 {
    public static void main(String[] args) {
        System.out.println(removeNthFromEnd(ListNode.createNode(new int[]{1,2,3,4,5}),2));
        System.out.println(removeNthFromEnd(ListNode.createNode(new int[]{1}),1));
        System.out.println(removeNthFromEnd(ListNode.createNode(new int[]{1,2}),1));

    }
    public static ListNode removeNthFromEnd(ListNode head, int n) {
        if (head == null) {
            return head;
        }
        Stack<ListNode> stack = new Stack<>();
        ListNode temp = head;
        stack.push(temp);
        while (temp.next != null) {
            stack.push(temp.next);
            temp = temp.next;
        }
        while (!stack.isEmpty()) {
            if (n==1) {//n 是个数,从1开始
                ListNode listNode = stack.pop();
                if (stack.isEmpty()) {
                    return listNode.next;
                }else {
                    ListNode pop = stack.pop();
                    pop.next = listNode.next;
                    return head;
                }
            }
            stack.pop();
            n--;
        }
        return head;
    }
     public static ListNode removeNthFromEnd2(ListNode head, int n) {
        if (head == null) {
            return head;
        }
        ListNode temp = head;
        ListNode preRemove = null;
        int i = 0;
        while (temp.next != null) {
            i++;
            temp = temp.next;//前指针移动
            if (i >=n) {//当等待间隔满足n时,后指针开始移动
                if (preRemove == null) {
                    preRemove =head;
                }else {
                    preRemove = preRemove.next;
                }
            }
        }
        if (preRemove == null) {//说明n超出或等于链表长度
            if (head == null) {
                return null;
            }
            return head.next;
        }else {
            preRemove.next = preRemove.next.next;
        }
        return head;
    }
}

栈解

双指针

官方解

leetcode-cn.com/problems/re…

  1. 计算链表长度

    两次遍历,一次算长度,一次移除结点

    • 时间复杂度:O(L),其中 L 是链表的长度。
    • 空间复杂度:O(1)
  2. 类似我的栈解

    • 时间复杂度:O(L)
    • 空间复杂度:O(L)。主要为栈的开销。
  3. 一次遍历

    双指针解法,但官方解写的更优雅

    class Solution {
        public ListNode removeNthFromEnd(ListNode head, int n) {
            ListNode dummy = new ListNode(0, head);
            ListNode first = head;
            ListNode second = dummy;
            for (int i = 0; i < n; ++i) {
                first = first.next;
            }
            while (first != null) {
                first = first.next;
                second = second.next;
            }
            second.next = second.next.next;
            ListNode ans = dummy.next;
            return ans;
        }
    }
    
    • 时间复杂度:O(L)
    • 空间复杂度:O(1)。