【剑指Offer】10.2 矩形覆盖

209 阅读2分钟

NowCode

题目描述

我们可以用 2*1 的小矩形横着或者竖着去覆盖更大的矩形。请问用 n 个 2*1 的小矩形无重叠地覆盖一个 2*n 的大矩形,总共有多少种方法?

解题思路

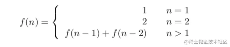
当 n 为 1 时,只有一种覆盖方法 当 n 为 2 时,有两种覆盖方法 要覆盖 2*n 的大矩形,可以先覆盖 2*1 的矩形,再覆盖 2*(n-1) 的矩形;或者先覆盖 2*2 的矩形,再覆盖 2*(n-2) 的矩形。而覆盖 2*(n-1) 和 2*(n-2) 的矩形可以看成子问题。该问题的递推公式如下: 在这里插入图片描述 n = 1 的时候 只能横着覆盖,一种 n = 2 的时候 可以横着和竖着覆盖,两种 n = 3 的时候 第三级横着覆盖,用了一级,剩下 n = 2,有两种覆盖方法 第三季竖着覆盖,用了两级,剩下 n = 1,有一种覆盖方法 总共有 3 种 n = 4 的时候 第 4 级横着覆盖,用了一级,剩下 n = 3,有三种覆盖方法 第 4 级竖着覆盖,用了两级,剩下 n = 2,有两种覆盖方法 总共有 5 种方法 n = n 的时候 第 n 级横着覆盖,用了一级,剩下 n = n - 1,所以关注第 n - 1 种有几种覆盖方法 第 n 级竖着覆盖,用了两级,剩下 n = n - 2,所以关注第 n - 2 种有几种覆盖方法 总和为两种情况的总和 在这里插入图片描述

public class Solution {
    public int rectCover(int target) {
        if(target <= 2) 
            return target;
        
        int pre1 = 2;
        int pre2 = 1;
        for(int i = 3; i <= target; i++) {
            int cur = pre1 + pre2;
            pre2 = pre1;
            pre1 = cur;
        }
        return pre1;
    }
}