【刷穿 LeetCode】19. 删除链表的倒数第 N 个结点(中等)

123 阅读1分钟

点击 这里 可以查看更多算法面试相关内容~

题目描述

给你一个链表,删除链表的倒数第 n 个结点,并且返回链表的头结点。

进阶:你能尝试使用一趟扫描实现吗?

示例 1:

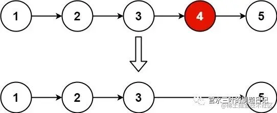
输入:head = [1,2,3,4,5], n = 2
输出:[1,2,3,5]

示例 2:

输入:head = [1], n = 1
输出:[]

示例 3:

输入:head = [1,2], n = 1
输出:[1]

提示:

  • 链表中结点的数目为 sz
  • 1 <= sz <= 30
  • 0 <= Node.val <= 100
  • 1 <= n <= sz

快慢指针解法

删除链表的倒数第 n 个结点,首先要确定倒数第 n 个节点的位置。

我们可以设定两个指针,分别为 slowfast,刚开始都指向 head。

然后先让 fast 往前走 n 步,slow 指针不动,这时候两个指针的距离为 n

再让 slowfast 同时往前走(保持两者距离不变),直到 fast 指针到达结尾的位置。

这时候 slow 会停在待删除节点的前一个位置,让 slow.next = slow.next.next 即可。

但这里有一个需要注意的边界情况是:如果链表的长度是 L,而我们恰好要删除的是倒数第 L 个节点(删除头节点),这时候 fast 往前走 n 步之后会变为 null,此时我们只需要让 head = slow.next 即可删除。

class Solution {
    public ListNode removeNthFromEnd(ListNode head, int n) {
        if (head.next == null) return null;

        ListNode slow = head;
        ListNode fast = head;
        while (n-- > 0) fast = fast.next;
            
        if (fast == null) {
            head = slow.next;
        } else {
            while (fast.next != null) {
                slow = slow.next;
                fast = fast.next;
            }
            slow.next = slow.next.next;
        }
        return head;
    }
}
  • 时间复杂度:需要扫描的长度为链表的长度。复杂度为 O(n)O(n)

  • 空间复杂度:O(1)O(1)


最后

这是我们「刷穿 LeetCode」系列文章的第 No.19 篇,系列开始于 2021/01/01,截止于起始日 LeetCode 上共有 1916 道题目,部分是有锁题,我们将先将所有不带锁的题目刷完。

在这个系列文章里面,除了讲解解题思路以外,还会尽可能给出最为简洁的代码。如果涉及通解还会相应的代码模板。

由于 LeetCode 的题目随着周赛 & 双周赛不断增加,为了方便我们统计进度,我们将按照系列起始时的总题数作为分母,完成的题目作为分子,进行进度计算。当前进度为 19/1916

为了方便各位同学能够电脑上进行调试和提交代码,我建立了相关的仓库:Github 地址 & Gitee 地址

在仓库地址里,你可以看到系列文章的题解链接、系列文章的相应代码、LeetCode 原题链接和一些其他的优选题解。


#算法与数据结构

#LeetCode题解

#算法面试