思维私塾——动态规划

209 阅读3分钟

在刷剑指offer和LeetCode中发现,动态规划是经常出现的一类题目,那么接下来我们就来仔细分析和总结下其中的套路。

介绍

动态规划(DP)说白了其实就是一种求解最优解的方法,是一种比较特殊的分治思想,利用它可以对时间复杂度进行优化,其主要是根据状态转移方程来进行求解。

其内部包含了主要的两种思想就是分治和贪心。

解题思路

总体来说动态规划题目的解题思路就四步:

  • 状态表示
  • 转移方程
  • 初始状态
  • 最终状态

下面我们详细的说明一下这四步,在刚开始的时候我们需要构建一个存储数据的表格,一般使用数组居多,然后通过分析题目找出存在的状态转移方程,即从上一个状态到下一个状态是如何变化的,然后根据题目设置我们的初始值,然后根据状态转移方程重复计算,在此过程中利用到了前面积累下来的记录,所以能够加快速度。最后一直倒找最终我们所需要的状态。

真题演练

我们这边拿剑指offer中的第47题礼物的最大价值这个典型的题目来举例让大家明白这个算法的思路

连续子数组的最大和

题目:

在一个 m*n 的棋盘的每一格都放有一个礼物,每个礼物都有一定的价值(价值大于 0)。你可以从棋盘的左上角开始拿格子里的礼物,并每次向右或者向下移动一格、直到到达棋盘的右下角。给定一个棋盘及其上面的礼物的价值,请计算你最多能拿到多少价值的礼物?

解法

本文说了是讲解动态规划的肯定是要用动态规划来解决这个问题。那我们就按照我们的步骤来进行

  • 状态表示

设动态规划矩阵dp[][],其中dp[i][j]表示从棋盘的左上角开始到达单元格(i,j)时能拿到礼物的最大累计价值

  • 转移方程

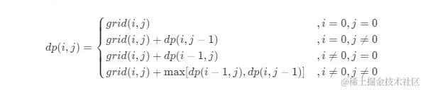
由于只能向右或者向下移动,所以:

    • 当i=0且j=0,为起始元素
    • 当i=0且j≠0,为第一行元素,只能左边到达
    • 当i≠0且j=0,为第一列元素,只能上边达到
    • 当i≠0且j不等于0,可从上边或者左边到达

所以,状态转移方程如下所示:

image

  • 初始状态

从上面分析我们可以知道dp[0][0]=grid[0][0]

  • 最终状态

最终状态就是我们遍历完即dp[m-1][n-1]。返回dp数组中右下角的元素

java实现

有了思路后面就是java的实现,如下所示:

class Solution {
    public int maxValue(int[][] grid) {
        int row = grid.length;
        int column = grid[0].length;
        //dp[i][j]表示从grid[0][0]到grid[i - 1][j - 1]时的最大价值
        int[][] dp = new int[row + 1][column + 1];
        for (int i = 1; i <= row; i++) {
            for (int j = 1; j <= column; j++) {
                dp[i][j] = Math.max(dp[i - 1][j], dp[i][j - 1]) + grid[i - 1][j - 1];
            }
        }
        return dp[row][column];
    }
}

总结

这些就是动态规划的所有内容了,作为一个在LeetCode中和面试中都经常出现的题目,可以说是必须要掌握起来了。总之就是关注四件事情:

  • 状态表示
  • 转移方程
  • 初始状态
  • 最终状态

其中最难的就是转移方程,这个要根据各个题目灵活处理,或者多做一些题目总结也可以获得不错的收获和进步。只要有了状态转移方程,后面的初始状态和边界值再多加注意就没有什么大问题了。

最后

  • 如果觉得看完有收获,希望能关注一下,顺便给我点个赞,这将会是我更新的最大动力,感谢各位的支持
  • 欢迎各位关注我的公众号【java冢狐】,专注于java和计算机基础知识,保证让你看完有所收获,不信你打我
  • 求一键三连:点赞、转发、在看。
  • 如果看完有不同的意见或者建议,欢迎多多评论一起交流。感谢各位的支持以及厚爱。

——我是冢狐,和你一样热爱编程。

欢迎关注公众号“ Java冢狐”,获取最新消息