自监督图像论文精读 | BYOL(SOTA) | 2020

3,271 阅读3分钟

  • 文章原创自微信公众号「机器学习炼丹术」
  • 作者:炼丹兄
  • 联系方式:微信cyx645016617

本篇文章主要讲解两个无监督2020年比较新比较火的论文:

  • 论文名称:“Bootstrap Your Own Latent: A New Approach to Self-Supervised Learning”
  • 论文链接:arxiv.org/pdf/2006.07…

0 综述

BYOL是Boostrap Your Own Latent,这个无监督框架非常的优雅和简单,而且work。收到了很多人的称赞,上一个这样起名的在我认知中就是YOLO。两者都非常简单而优美。

1 数学符号

这个结构有两个网络,一个是online network,一个是target network。

  • online network:用θ\theta来表示online network的参数,包含,encoderfθf_{\theta},projectorgθg_{\theta}和predictorqθq_\theta
  • target netowrk:使用ξ\xi来表示参数,也有fξf_{\xi}gξg_{\xi},但是没有predictor。

我们会更新online network,然后用滑动平均的方式,更新target network:

ξτξ+(1τ)θ\xi\leftarrow \tau\xi + (1-\tau)\theta

现在我们有一个图像数据集D,其中获取一个图片xDx\in D,然后我们对这个D做不同的图像增强,得到了两个新的分布T\TauT\Tau',然后从两个新分布中获取的图片,用vvvv'标记。也就是说,如果用t()t()t()t'()表示对图像做图像增强的过程,那么v=t(x),v=t(x)v=t(x),v'=t'(x)

2 损失函数

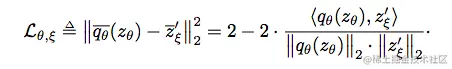
我们现在有vv,经过encoder,得到y=fθ(v)y=f_{\theta}(v),经过prejector,得到z=gθ(y)z=g_{\theta}(y),经过predictor,得到qθ(z)q_{\theta}(z);同理,target network也是如此,只是没有最后的predictor,最终得到zz'

我们对zz'qθ(z)q_{\theta}(z)做l2-normalization,含义为取出这两个隐含变量的绝对大小,而保留其方向性,为后面要做的向量点乘做铺垫。

上图中,qθˉ(z)=qθ(z)qθ(z)2\bar{q_{\theta}}(z)=\frac{q_{\theta}(z)}{||q_{\theta}(z)||_2},损失函数不难,其实有点像是:22cosθ2-2\cos\theta

上面,我们得到了损失Lθ,ξL_{\theta,\xi},接下来,我们需要计算symmetric loss,这个是把v和v‘分别放入target network和online network计算,得到的L~θ,ξ\widetilde{L}_{\theta,\xi},然后论文中提到,通过SGD来最小化

Lθ,ξBYOL=Lθ,ξ+L~θ,ξL^{BYOL}_{\theta,\xi}=L_{\theta,\xi} + \widetilde{L}_{\theta,\xi}

需要注意的是,这个优化的过程,仅仅更新online network,target network的参数不变化,目的是让online network逐渐拥有target network的性能

因此,这个BYOL的整个训练过程可以浓缩成下面的两行:

3 细节部分

3.1 图像增强

3.2 结构

上图中的encoderfθ,fξf_{\theta},f_{\xi}使用的是resnet50和post activation,这里第一次看到post activation,就去看了一下发现,其实就是先卷积还是先激活层,如果relu放在conv后面就是post activation,relu放在conv前面就是pre activation。

经过encoder,一个图片会输出2048个features,然后经过MLP,特征扩展到4096个特征,最终输出256个特征,在SimCLR模型中,MLP后跟了一个BN层和Relu激活层,但是在BYOP中没有BN层。

3.3 优化器

使用的是LARS优化器,使用cosine 学习率衰减策略,训练1000epoch,其中包含10个warn-up epoch。学习率设置的为0.2。

至于online更新到target的参数τ\tau,τbase=0.996\tau_{base}=0.996,

τ=1(1τbase)(cosπkK+1)12\tau=1-(1-\tau_{base})(\cos\frac{\pi k}{K}+1)\frac{1}{2}

k is current training step and K is maximum training steps.

3.4 财力

batchsize为4096,分布在512个TPU v3的核,训练encoder大约需要8个hour。

4 模型评估

在ImageNet上做监督学习,先用无监督训练好encoder后,然后用标准的resnet50进行监督微调:

前面同行,这里的监督训练也是获取ImageNet上的少部分数据集进行训练,所以叫做semi-supervised:

这样的方法在其他的分类数据集上的效果:

觉得笔记不错的,可以关注作者的微信公众号「机器学习炼丹术」。