LeetCode | 0563. 二叉树的坡度【Python】

350 阅读1分钟

Problem

LeetCode

Given the root of a binary tree, return the sum of every tree node's tilt.

The tilt of a tree node is the absolute difference between the sum of all left subtree node values and all right subtree node values. If a node does not have a left child, then the sum of the left subtree node values is treated as 0. The rule is similar if there the node does not have a right child.

Example 1:

img

Input: root = [1,2,3]
Output: 1
Explanation: 
Tilt of node 2 : |0-0| = 0 (no children)
Tilt of node 3 : |0-0| = 0 (no children)
Tile of node 1 : |2-3| = 1 (left subtree is just left child, so sum is 2; right subtree is just right child, so sum is 3)
Sum of every tilt : 0 + 0 + 1 = 1

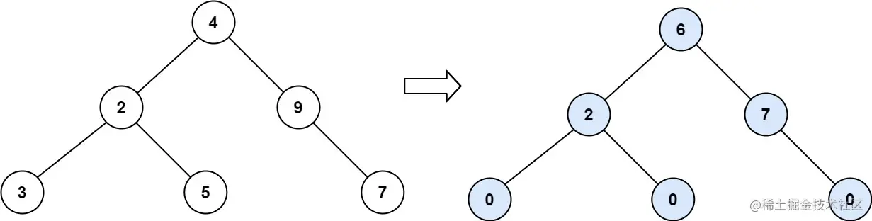
Example 2:

img

Input: root = [4,2,9,3,5,null,7]
Output: 15
Explanation: 
Tilt of node 3 : |0-0| = 0 (no children)
Tilt of node 5 : |0-0| = 0 (no children)
Tilt of node 7 : |0-0| = 0 (no children)
Tilt of node 2 : |3-5| = 2 (left subtree is just left child, so sum is 3; right subtree is just right child, so sum is 5)
Tilt of node 9 : |0-7| = 7 (no left child, so sum is 0; right subtree is just right child, so sum is 7)
Tilt of node 4 : |(3+5+2)-(9+7)| = |10-16| = 6 (left subtree values are 3, 5, and 2, which sums to 10; right subtree values are 9 and 7, which sums to 16)
Sum of every tilt : 0 + 0 + 0 + 2 + 7 + 6 = 15

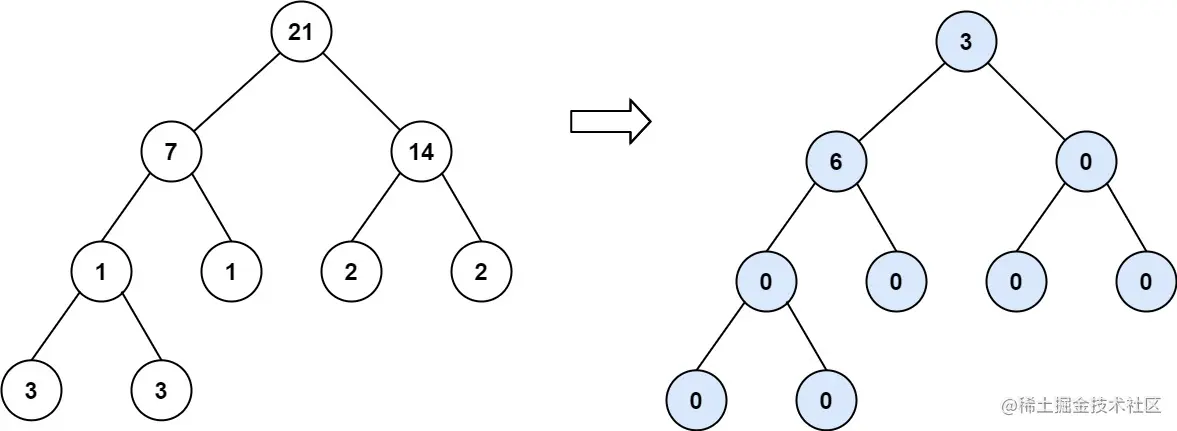
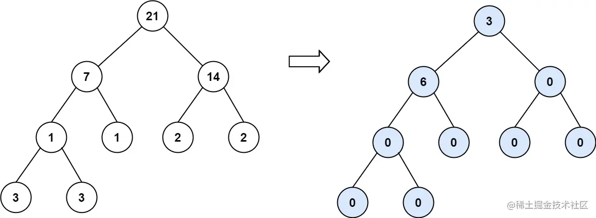
Example 3:

img

Input: root = [21,7,14,1,1,2,2,3,3]
Output: 9

Constraints:

  • The number of nodes in the tree is in the range [0, 104].
  • -1000 <= Node.val <= 1000

问题

力扣

给定一个二叉树,计算 整个树 的坡度 。

一个树的 节点的坡度 定义即为,该节点左子树的节点之和和右子树节点之和的 差的绝对值 。如果没有左子树的话,左子树的节点之和为 0 ;没有右子树的话也是一样。空结点的坡度是 0 。

整个树 的坡度就是其所有节点的坡度之和。

示例 1:

img

输入:root = [1,2,3]
输出:1
解释:
节点 2 的坡度:|0-0| = 0(没有子节点)
节点 3 的坡度:|0-0| = 0(没有子节点)
节点 1 的坡度:|2-3| = 1(左子树就是左子节点,所以和是 2 ;右子树就是右子节点,所以和是 3 )
坡度总和:0 + 0 + 1 = 1

示例 2:

img

输入:root = [4,2,9,3,5,null,7]
输出:15
解释:
节点 3 的坡度:|0-0| = 0(没有子节点)
节点 5 的坡度:|0-0| = 0(没有子节点)
节点 7 的坡度:|0-0| = 0(没有子节点)
节点 2 的坡度:|3-5| = 2(左子树就是左子节点,所以和是 3 ;右子树就是右子节点,所以和是 5 )
节点 9 的坡度:|0-7| = 7(没有左子树,所以和是 0 ;右子树正好是右子节点,所以和是 7 )
节点 4 的坡度:|(3+5+2)-(9+7)| = |10-16| = 6(左子树值为 3、5 和 2 ,和是 10 ;右子树值为 9 和 7 ,和是 16 )
坡度总和:0 + 0 + 0 + 2 + 7 + 6 = 15

示例 3:

img

输入:root = [21,7,14,1,1,2,2,3,3]
输出:9

提示:

  • 树中节点数目的范围在 [0, 10^4] 内
  • -1000 <= Node.val <= 1000

思路

DFS

后序遍历
每个节点要做的事:自己的值加上左右子树的坡度值。

Python3 代码

# Definition for a binary tree node.
# class TreeNode:
#     def __init__(self, val=0, left=None, right=None):
#         self.val = val
#         self.left = left
#         self.right = right
class Solution:
    def findTilt(self, root: TreeNode) -> int:
        # 后序遍历
        def dfs(root):
            nonlocal res
            if not root:
                return 0
            # if root.left:
            left = dfs(root.left)
            # if root.right:
            right = dfs(root.right)
            res += abs(left - right)
            return root.val + left + right
        
        res = 0
        dfs(root)
        return res

GitHub 链接

Python