剑指offer--表示数值的字符串

148 阅读3分钟

题目

请实现一个函数用来判断字符串是否表示数值(包括整数和小数)。

例如,字符串"+100",“5e2”,"-123",“3.1416"和”-1E-16"都表示数值。但是"12e",“1a3.14”,“1.2.3”,"±5"和"12e+4.3"都不是。

思路

这道题还是比较简单的。表示数值的字符串遵循如下模式:

[sign]integral-digits[.[fractional-digits]][e|E[sign]exponential-digits]

其中,(’[‘和’]'之间的为可有可无的部分)。

在数值之前可能有一个表示正负的’+‘或者’-’。接下来是若干个0到9的数位表示数值的整数部分(在某些小数里可能没有数值的整数部分)。如果数值是一个小数,那么在小数后面可能会有若干个0到9的数位表示数值的小数部分。如果数值用科学记数法表示,接下来是一个’e’或者’E’,以及紧跟着的一个整数(可以有正负号)表示指数。

判断一个字符串是否符合上述模式时,首先看第一个字符是不是正负号。如果是,在字符串上移动一个字符,继续扫描剩余的字符串中0到9的数位。如果是一个小数,则将遇到小数点。另外,如果是用科学记数法表示的数值,在整数或者小数的后面还有可能遇到’e’或者’E’。

代码

1 常规

public class Solution {
    public boolean isNumeric(char[] str) {
        if(str == null || str.length ==0){
            return false;
        }
        boolean hasnumber = false;
        //是否有数字
        boolean hasE = false;
        //是否有e
        boolean hasPoint = false;
        for(int i = 0;i<str.length;i++){
            if(str[i]-'0' >=0 && str[i]-'0' <=9){
                hasnumber = true;
            }else if(str[i] =='.'){
                if(hasPoint || hasE){
                    return false;
                }else{
                    hasPoint = true;
                }
            }else if(str[i] == 'e' || str[i] =='E'){
                if(hasE || !hasnumber || i==str.length-1){
                    return false;
                }else{
                    hasE = true;
                }
            }else if(str[i] =='+' ||str[i] =='-'){
                if(i !=0 && (str[i-1] != 'e' && str[i-1] !='E')){
                    return false;
                }
            }else{
                return false;
            }
        }
        return true;
    }
}





public boolean isNumeric(char[] str) {
        boolean isNumber = false;
        boolean isHasE = false;
        boolean ishaspoint = false;
        boolean isAddSub = false;
        for(int i = 0;i < str.length;i++){
            if(str[i] == '+' || str[i] == '-'){
                if(i !=0 && !isHasE){
                    return false;
                }
            }else if(str[i]>='0' && str[i] <='9'){
                isNumber =true;
            }else if(str[i] =='.'){
                if(ishaspoint || isHasE){
                    return false;
                }
                ishaspoint = true;
            }else if(str[i] =='e' || str[i]=='E'){
                if(!isNumber || i==str.length-1 ||isHasE){
                    return false;
                }
                isHasE  = true;
            }else{
                return false;
            }
        }
        return true;
    }

2正则

class Solution {
    public boolean isNumber(String s) {
        boolean flag1=s.matches("(\\s)*[+-]?[0-9]+(\\.[0-9]*)?([eE][+-]?[0-9]+)?(\\s)*");
        //存在整数部分时,可以没有小数部分
        boolean flag2=s.matches("(\\s)*[+-]?[0-9]*(\\.[0-9]+)([eE][+-]?[0-9]+)?(\\s)*");//可以没有整数部分,此时必须有小数部分
        //可以没有整数部分,此时必须有小数部分
        return flag1 || flag2;
    }
}

3责任链模式

利用责任链的设计模式,会使得写出的算法扩展性以及维护性更高。这里用到的思想就是,每个类只判断一种类型。比如判断是否是正数的类,判断是否是小数的类,判断是否是科学计数法的类,这样每个类只关心自己的部分,出了问题很好排查,而且互不影响。

//每个类都实现这个接口
interface NumberValidate { 
    boolean validate(String s);
}
//定义一个抽象类,用来检查一些基础的操作,是否为空,去掉首尾空格,去掉 +/-
//doValidate 交给子类自己去实现
abstract class  NumberValidateTemplate implements NumberValidate{
 
    public boolean validate(String s)
{
        if (checkStringEmpty(s))
        {
            return false;
        }
 
        s = checkAndProcessHeader(s);
 
        if (s.length() == 0)
        {
            return false;
        }
 
        return doValidate(s);
    }
 
    private boolean checkStringEmpty(String s)
{
        if (s.equals(""))
        {
            return true;
        }
 
        return false;
    }
 
    private String checkAndProcessHeader(String value)
{
        value = value.trim();
 
        if (value.startsWith("+") || value.startsWith("-"))
        {
            value = value.substring(1);
        }
 
 
        return value;
    }
 
 
 
    protected abstract boolean doValidate(String s);
}
 
//实现 doValidate 判断是否是整数
class IntegerValidate extends NumberValidateTemplate{
 
    protected boolean doValidate(String integer)
{
        for (int i = 0; i < integer.length(); i++)
        {
            if(Character.isDigit(integer.charAt(i)) == false)
            {
                return false;
            }
        }
 
        return true;
    }
}
 
//实现 doValidate 判断是否是科学计数法
class SienceFormatValidate extends NumberValidateTemplate{
 
    protected boolean doValidate(String s)
{
        s = s.toLowerCase();
        int pos = s.indexOf("e");
        if (pos == -1)
        {
            return false;
        }
 
        if (s.length() == 1)
        {
            return false;
        }
 
        String first = s.substring(0, pos);
        String second = s.substring(pos+1, s.length());
 
        if (validatePartBeforeE(first) == false || validatePartAfterE(second) == false)
        {
            return false;
        }
 
 
        return true;
    }
 
    private boolean validatePartBeforeE(String first)
{
        if (first.equals("") == true)
        {
            return false;
        }
 
        if (checkHeadAndEndForSpace(first) == false)
        {
            return false;
        }
 
        NumberValidate integerValidate = new IntegerValidate();
        NumberValidate floatValidate = new FloatValidate();
        if (integerValidate.validate(first) == false && floatValidate.validate(first) == false)
        {
            return false;
        }
 
        return true;
    }
 
    private boolean checkHeadAndEndForSpace(String part)
{
 
        if (part.startsWith(" ") ||
            part.endsWith(" "))
        {
            return false;
        }
 
        return true;
    }
 
    private boolean validatePartAfterE(String second)
{
        if (second.equals("") == true)
        {
            return false;
        }
 
        if (checkHeadAndEndForSpace(second) == false)
        {
            return false;
        }
 
        NumberValidate integerValidate = new IntegerValidate();
        if (integerValidate.validate(second) == false)
        {
            return false;
        }
 
        return true;
    }
}
//实现 doValidate 判断是否是小数
class FloatValidate extends NumberValidateTemplate{
 
    protected boolean doValidate(String floatVal)
{
        int pos = floatVal.indexOf(".");
        if (pos == -1)
        {
            return false;
        }
 
        if (floatVal.length() == 1)
        {
            return false;
        }
 
        NumberValidate nv = new IntegerValidate();
        String first = floatVal.substring(0, pos);
        String second = floatVal.substring(pos + 1, floatVal.length());
 
        if (checkFirstPart(first) == true && checkFirstPart(second) == true)
        {
            return true;
        }
 
        return false;
    }
 
    private boolean checkFirstPart(String first)
{
        if (first.equals("") == false && checkPart(first) == false)
        {
            return false;
        }
 
        return true;
    }
 
    private boolean checkPart(String part)
{
        if (Character.isDigit(part.charAt(0)) == false ||
            Character.isDigit(part.charAt(part.length() - 1)) == false)
        {
            return false;
        }
 
        NumberValidate nv = new IntegerValidate();
        if (nv.validate(part) == false)
        {
            return false;
        }
 
        return true;
    }
}
//定义一个执行者,我们把之前实现的各个类加到一个数组里,然后依次调用
class NumberValidator implements NumberValidate {
 
    private ArrayList<NumberValidate> validators = new ArrayList<NumberValidate>();
 
    public NumberValidator()
{
        addValidators();
    }
 
    private  void addValidators()
{
        NumberValidate nv = new IntegerValidate();
        validators.add(nv);
 
        nv = new FloatValidate();
        validators.add(nv);
 
        nv = new HexValidate();
        validators.add(nv);
 
        nv = new SienceFormatValidate();
        validators.add(nv);
    }
 
    @Override
    public boolean validate(String s)
{
        for (NumberValidate nv : validators)
        {
            if (nv.validate(s) == true)
            {
                return true;
            }
        }
 
        return false;
    }
 
 
}
public boolean isNumber(String s) {
    NumberValidate nv = new NumberValidator(); 
    return nv.validate(s);
}
 

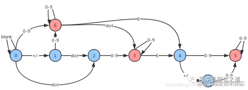
4 有限状态机(DFA)大神的思路

本题可以采用《编译原理》里面的确定的有限状态机(DFA)解决。构造一个DFA并实现,构造方法可以先写正则表达式,然后转为 DFA,也可以直接写,我就是直接写的,虽然大概率不会是最简结构(具体请参考《编译器原理》图灵出版社),不过不影响解题。DFA 作为确定的有限状态机,比 NFA 更加实用,因为对于每一个状态接收的下一个字符,DFA 能确定唯一一条转换路径,所以使用简单的表驱动的一些方法就可以实现,并且只需要读一遍输入流,比起 NFA 需要回读在速度上会有所提升。

构建出来的状态机如封面图片所示(红色为 终止状态,蓝色为 中间状态)。根据《编译原理》的解释,DFA 从状态 0 接受串 s 作为输入。当s耗尽的时候如果当前状态处于中间状态,则拒绝;如果到达终止状态,则接受。

然后,根据 DFA 列出如下的状态跳转表,之后我们就可以采用 表驱动法 进行编程实现了。需要注意的是,这里面多了一个状态 8,是用于处理串后面的若干个多余空格的。所以,所有的终止态都要跟上一个状态 8。其中,有一些状态标识为-1,是表示遇到了一些意外的字符,可以直接停止后续的计算。状态跳转表如下:

在这里插入图片描述
在这里插入图片描述

class Solution {
    public int make(char c) {
        switch(c) {
            case ' ': return 0;
            case '+':
            case '-': return 1;
            case '.': return 3;
            case 'e': return 4;
            default:
                if(c >= 48 && c <= 57) return 2;
        }
        return -1;
    }
    
    public boolean isNumber(String s) {
        int state = 0;
        int finals = 0b101101000;
        int[][] transfer = new int[][]{{ 0, 1, 6, 2,-1},
                                       {-1,-1, 6, 2,-1},
                                       {-1,-1, 3,-1,-1},
                                       { 8,-1, 3,-1, 4},
                                       {-1, 7, 5,-1,-1},
                                       { 8,-1, 5,-1,-1},
                                       { 8,-1, 6, 3, 4},
                                       {-1,-1, 5,-1,-1},
                                       { 8,-1,-1,-1,-1}};
        char[] ss = s.toCharArray();
        for(int i=0; i < ss.length; ++i) {
            int id = make(ss[i]);
            if (id < 0) return false;
            state = transfer[state][id];
            if (state < 0) return false;
        }
        return (finals & (1 << state)) > 0;
    }
}

原文地址mp.weixin.qq.com/s/dcvhaUGex…

请关注公众号 “程序员面试之道”回复“面试”获取面试一整套大礼包!!!