总体介绍
Markdown 是一种轻量级标记语言,让写作者专注于写作而不用关注样式。许多网站文章均采用了 Markdown 语法,是大部分程序员喜欢使用的文档编写语言。
标题
用 Markdown 书写时,只需要在文本前面加上 『#』 即可创建一级标题。同理,创建二级标题、三级标题等只需要增加 『#』 个数即可,Markdown 共支持六级标题。如下所示:
# 一级标题
## 二级标题
### 三级标题
#### 四级标题
##### 五级标题
###### 六级标题
对应的效果:
锚点
CODING 会针对每个标题,在解析时都会添加锚点 id,如:
# 锚点
会被解析成:
<h1 id="user-content-锚点">锚点</h1>
注意我们添加了一个 user-content- 的前缀,所以如果要自己添加跳转链接要使用 Markdown 的形式,且链接要加一个 user-content- 前缀,如:
[访问链接](#user-content-锚点);
引用
Markdown 标记区块引用和 email 中用 『>』的引用方式类似,只需要在整个段落的第一行最前面加上 『>』 :
> 用干净的的代码实现每一个功能。
对应的效果:
区块引用可以嵌套,只要根据层次加上不同数量的『>』:
> 这是第一级引用。
>
> > 这是第二级引用。
>
> 现在回到第一级引用。
对应的效果:
引用的区块内也可以使用其他的 Markdown 语法,包括标题、列表、代码区块等:
> ## 这是一个标题。
> 1. 这是第一行列表项。
> 2. 这是第二行列表项。
>
> 给出一些例子代码:
>
> return shell_exec(`echo $input | $markdown_script`);
对应的效果:
列表
列表项目标记通常放在最左边,项目标记后面要接一个字符的空格。
无序列表
使用星号、加号或是减号作为列表标记
- Red
- Green
- Blue
对应的效果:
有序列表
使用数字接着一个英文句点
1. Red
2. Green
3. Blue
对应的效果:
如果要在列表项目内放进引用,那『>』就需要缩进:
* 编程语言如下:
> Java
> Golang
> Python
> PHP
对应的效果:
代办列表
表示列表是否勾选状态(注意:[ ] 前后都要有空格)
- [ ] 不勾选
- [x] 勾选
对应的效果:
代码
只要把你的代码块包裹在『```』之间,你就不需要通过无休止的缩进来标记代码块了。 在围栏式代码块中,你可以指定一个可选的语言标识符,然后我们就可以为它启用语法着色了。 举个例子,这样可以为一段 Java 代码着色:
```java
public class CodeApplication {
public static void main(String[] args) {
SpringApplication.run(CodeApplication.class, args);
}
}
```
对应的效果:
强调
在 Markdown 中,可以使用 * 和 _ 来表示斜体和加粗。
斜体
*CodeLong,让开发更简单*
_CodeLong,让开发更简单_
对应的效果:
加粗
**CodeLong,让开发更简单**
__CodeLong,让开发更简单__
对应的效果:
斜体加粗
***CodeLong,让开发更简单***
___CodeLong,让开发更简单___
对应的效果:
删除线
~~CodeLong,让开发更简单~~
对应的效果:
超链接
方括号显示说明,圆括号内显示网址, Markdown 会自动把它转成链接,例如:
[码字泷](http://codelong.wang)
对应的效果:
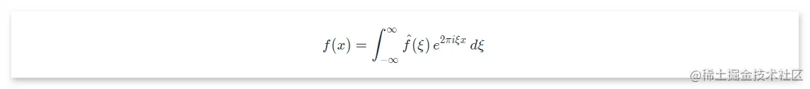
数学公式
Markdown 编辑器可以支持 katex 服务,公式语法可参考:katex.org/ 。
$$ f(x) = \int _{-\infty}^\infty \hat f(\xi)\, e^{2 \pi i \xi x} \, d\xi$$
对应的效果:
表格
在 Markdown 中,可以制作表格,例如:
First Header | Second Header | Third Header
------------ | ------------- | ------------
Content Cell | Content Cell | Content Cell
Content Cell | Content Cell | Content Cell
对应的效果如下:
或者也可以让表格两边内容对齐,中间内容居中,例如:
First Header | Second Header | Third Header
:----------- | :-----------: | -----------:
Left | Center | Right
Left | Center | Right
对应的效果如下:
分割线
在 Markdown 中,可以使用 3 个以上『-』符号制作分割线,例如:
这是分隔线上部分内容
---
这是分隔线上部分内容
对应的效果:
图片
Markdown 使用了类似链接的语法来插入图片,您可以直接复制图片粘贴至 Markdown 编辑框,系统将自动生成图片语法。
图片语法举例:

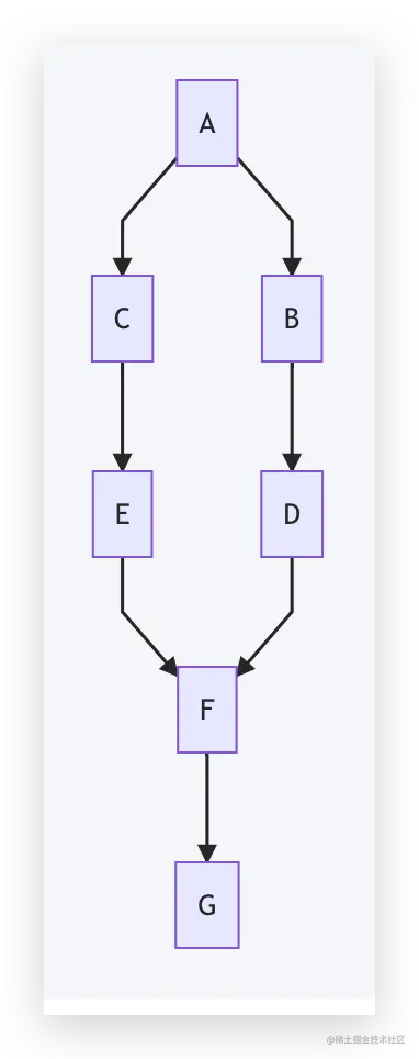
流程图
Markdown 编辑器已支持绘制流程图、时序图和甘特图。通过 mermaid 实现图形的插入,点击查看更多语法详情。
```graph
graph TD;
A-->B;
A-->C;
B-->D;
C-->E;
E-->F;
D-->F;
F-->G;
```
对应的效果:
时序图
```graph
sequenceDiagram
participant z as 洋葱猴 A
participant l as 洋葱猴 B
loop 日复一日
z->>l: 敲代码了吗今天?
l-->>z: 敲了,您呢?
activate z
Note left of z: 想了一下
alt 还没呢
z-xl: 还没呢,正准备打开 CODING
else 敲了,正遛弯儿呢
z-xl: 我也敲了,哈哈
end
opt 大过年的
l-->z: 祝您新年好啊
end
end
```
对应的效果:
甘特图
```graph
gantt
dateFormat YYYY-MM-DD
title Adding GANTT diagram functionality to mermaid
section A section
Completed task :done, des1, 2014-01-06,2014-01-08
Active task :active, des2, 2014-01-09, 3d
Future task : des3, after des2, 5d
Future task2 : des4, after des3, 5d
section Critical tasks
Completed task in the critical line :crit, done, 2014-01-06,24h
Implement parser and jison :crit, done, after des1, 2d
Create tests for parser :crit, active, 3d
Future task in critical line :crit, 5d
Create tests for renderer :2d
Add to mermaid :1d
```
对应的效果: