拜托,面试别再问我表达式求值了!!!

2,010 阅读3分钟

上周面试一个候选人,问了一个数据结构与算法的问题,表达式求值

题目大概是这样的:

输入长度为 n 的字符串,例如:1+2+345

输出表达式的值,即:63

我暗示的问:应该用什么数据结构?

候选人回答:栈。

_画外音:_算是答对。

问:时间复杂度呢?

回答:O(n^2)

_画外音:_额,应该不需要两个 for 循环吧。

我接着提示:应该先计算哪一步?

候选人回答:先计算 3*4。

_画外音:_额,难道是乘除大于加减?

实际应该先计算 1+2,说明候选人对 “表达式求值” 并没有搞透。

怎么用栈来实现呢?

候选人:…

本来以为是送分题,候选人竟一时语塞。

为了广大面试的同学不再在这一题上送命,今天花几分钟把这个问题讲透彻。

_画外音:_希望没有帮面试官增加题库。

“表达式求值” 问题,两个核心关键点:

(1)双栈,一个操作数栈,一个运算符栈;

(2)运算符优先级,栈顶运算符,和,即将入栈的运算符的优先级比较:

  • 如果栈顶的运算符优先级低,新运算符直接入栈

  • 如果栈顶的运算符优先级高,先出栈计算,新运算符再入栈

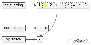
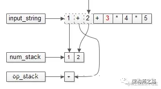
仍以 1+2+345 举例,看是如何利用上述两个关键点实施计算的。

首先,这个例子只有 + 和 * 两个运算符,所以它的运算符表是:

这里的含义是:

(1)如果栈顶是 +,即将入栈的是 +,栈顶优先级高,需要先计算,再入栈;

(2)如果栈顶是 +,即将入栈的是 *,栈顶优先级低,直接入栈;

(3)如果栈顶是 *,即将入栈的是 +,栈顶优先级高,需要先计算,再入栈;

(4)如果栈顶是 *,即将入栈的是 *,栈顶优先级高,需要先计算,再入栈;

_画外音:_运算符有 +-/()~^& 都没问题,如果共有 n 个运算符,会有一个 nn 的优先级表。

有了运算符表,一切就好办了。

一开始,初始化好输入的字符串,以及操作数栈,运算符栈。

一步步,扫描字符串,操作数一个个入栈,运算符也入栈。

_画外音:_如果有 “789” 这样的多个字符的多位数,要先转化为数字 789,这个过程很容易。

下一个操作符要入栈时,需要先比较优先级。

栈内的优先级高,必须先计算,才能入栈。

计算的过程为:

(1)操作数出栈,作为 num2;

(2)操作数出栈,作为 num1;

(3)运算符出栈,作为 op;

(4)计算出结果;

(5)结果入操作数栈;

接下来,运算符和操作数才能继续入栈。下一个操作符要入栈时,继续比较与栈顶的优先级。

栈内的优先级低,可以直接入栈。

字符串继续移动。

又要比较优先级了。

栈内的优先级高,还是先计算(3*4=12),再入栈。

不断入栈,直到字符串扫描完毕。

不断出栈,直到得到最终结果 3+60=63,算法完成。

总结

“表达式求值” 问题,两个核心关键点:

(1)双栈,一个操作数栈,一个运算符栈;

(2)运算符优先级,栈顶运算符,和,即将入栈的运算符的优先级比较:

  • 如果栈顶的运算符优先级低,新运算符直接入栈

  • 如果栈顶的运算符优先级高,先出栈计算,新运算符再入栈

这个方法的时间复杂度为 O(n),整个字符串只需要扫描一遍。

思路比结论重要,学到了吗?

架构师之路 - 分享技术思路

作业题:字符串 “789” 怎么转化为数字 789?

画外音:别说是 atoi。