CenterNet:Corner-Center三元关键点,检测性能全面提升 | ICCV 2019

220 阅读6分钟

为了解决CornerNet缺乏目标内部信息的问题,提出了CenterNet使用三元组进行目标检测,包含一个中心关键点和两个角点。从实验结果来看,CenterNet相对于CornerNet只增加了少量推理时延,但带来了将近5个点的AP提升

来源:晓飞的算法工程笔记 公众号

论文: CenterNet: Keypoint Triplets for Object Detection

Introduction


  CornerNet将目前常用的anchor-based目标检测转换为keypoint-based目标检测,使用角点对表示每个目标,CornerNet主要关注目标的边界信息,缺乏对目标内部信息的获取,很容易造成误检,如图1所示。为了解决这个问题,论文提出CenterNet,在角点对的基础上加入中心关键点组成三元组进行检测,既能捕捉目标的边界信息也能兼顾目标的内部信息。另外,为了更好地提取特征,论文还提出了center pooling和cascade corner pooling,分别用于更好地提取中心关键点和角点。

Baseline and Motivation


  CenterNet以CornerNet为基础,为了检测角点,CornerNet分别预测左上角点和右下角点的热图。另外,为每个角点预测了embedding向量和偏移值,相同目标的角点的embedding向量距离会非常小,偏移值则是对角点进行小范围调整。最后分别选择top-k个左上角点和top-k个右下角点,根据embedding向量距离进行配对,预测框置信度为角点对的置信度均值。

  论文对CornerNet的误检率进行了分析,如表1所示,大部分的误检集中在低IoU区域,有32.7%的预测结果与GT的IoU低于0.05,而小目标的误检率高达60.3%,可能的原因是CornerNet无法感知目标内部的信息,这个问题可以通过ROI池化二次分类来弥补,但是计算消耗很大。于是,论文提出高效的替代方案CenterNet,在CornerNet的角点对上再加入一个目标内部点组成三元组,以最低的成本捕捉目标的内部信息。

Object Detection as Keypoint Triplets


  CenterNet的整体结构如图2所示,将每个目标表示为中心关键点和角点对。在CornerNet的基础上增加一个中心关键点的热图输出,先按CornerNet的方法获取top-k个预测框,然后使用中心关键点对预测框进行过滤和排序:

  1. 根据分数选择top-k个中心关键点
  2. 结合对应的偏移值将中心关键点映射到输入图片
  3. 定义每个预测框的中心区域,检查中心区域是否包含中心关键点
  4. 如果中心区域包含中心关键点,保留该预测框,将分数替换为三个关键点的分数均值。如果中心区域不包含中心关键点,则去除该预测框。

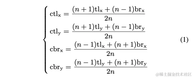
  中心区域的大小对检测结果有直接的影响,区域过小会导致小目标召回率低,而区域过大则会导致大目标准确率低。为此,论文提出了尺寸可知(scale-aware)的中心区域,能够根据预测框的大小进行调整。定义tlxtl_xtlytl_y为预测框的左上角点坐标,brxbr_xbrybr_y为预测框的右下角点坐标,ctlxctl_xctlyctl_y为中心区域的左上角点坐标,cbrxcbr_xcbrycbr_y分别为右下角点的坐标,四个点应满足以下关系:

nn为奇数,决定中心区域的尺寸大小,论文对于尺寸小于150和大于150的预测框分别将nn设为3和5。

  图3展示了n=3n=3n=5n=5的中心区域,根据公式1计算尺寸可知的中心区域,然后检查中心区域是否包含中心关键点。

Enriching Center and Corner Information


Center pooling

  通常,目标的几何中心不一定包含重要的分辨信息,比如人最有辨识度的地方在头部,而几何中心却在人体的中间。为了解决这个问题,论文提出中心池化来提取更丰富的可辨认信息。

  如图a所示,主干网络输出特征图后,在判断中心关键点时,取特征图水平方向和垂直方向的最大值之和作为分数,这样能够很好地帮助中心关键点的检测。

Cascade corner pooling

  由于角点通常在目标之外,缺少目标的相关信息,CornerNet使用corner pooling来解决这个问题,如图b所示,取边界方向的最大值作为分数,但这会导致角点过于关注边界信息。

  为了解决这个问题,需要让角点能够关注目标的内部,cascade corner pooling如图c所示,首先在边界方向找到最大值,然后在边界最大值处向内找到内部最大值,将两个最大值相加作为分数输出,这样角点能够同时关注边界信息和目标信息。

  Center pooling和cascade corner polling可通过组合不同方向的corner pooling进行简单实现,如图5所示。需要注意,图5b为cascade top corner pooling模块,只输出左上角点在top方向值,还要加上cascade left corner pooling输出的left方向值。cascade left corner pooling的结构跟图5b类似,只是交换Top pooling和Left pooling的位置。

Training and Inference


Training

  CenterNet的输入分辨率为511×511511\times 511,最后的热图大小为128×128128\times 128,完整的网络损失函数为:

LdetcoL^{co}_{det}LdetceL^{ce}_{det}为focal loss,用来训练网络检测角点和中心关键点,LpullcoL^{co}_{pull}LpushcoL^{co}_{push}为角点pull损失和push损失,用来最大化和最小化embedding向量的距离,LoffcoL^{co}_{off}LoffceL^{ce}_{off}为L1损失,用来调整角点和中心点的偏移值。

Inference

  测试时同时使用原图和水平翻转图片,每个图分别保留70个中心关键点、左上角点和右上关键点来预测,最后综合两个图片的结果进行Soft-nms输出。

Experiments


  与SOTA目标检测方法对比。

  与CornerNet的错误率优化对比。

  对比实验。

CONCLUSION


  为了解决CornerNet缺乏目标内部信息的问题,CenterNet使用三元组进行目标检测,包含一个中心关键点和两个角点。从实验结果来看,CenterNet相对于CornerNet只增加了少量推理时延,但带来了将近5个点的AP提升。



如果本文对你有帮助,麻烦点个赞或在看呗~
更多内容请关注 微信公众号【晓飞的算法工程笔记】

work-life balance.