select * 查询效率为什么低

1,559 阅读5分钟

最近写作生涯遭遇了滑铁卢,写了两篇文章阅读量都不怎么样,但还是要继续分享所学,服务端的菜鸡不能输,要重新称霸中原,233333当然这是很难的,后端优秀作者实在太多了,还得继续加油。回归主题,最近又在重新学习MySQL,想起了阿里开发手册禁用select * 查询语句,这是为什么呢

引言

阿里巴巴开发手册中指出: 【强制】在表查询中,一律不要使用 * 作为查询的字段列表,需要哪些字段必须明确写明 说明:

  • 增加查询分析器解析成本
  • 增减字段容易与 resultMap 配置不一致
  • 无用字段增加网络 消耗,尤其是 text 类型的字段 文章将从这几个方面展开说明

增加查询分析器解析成本

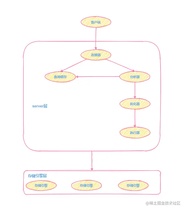
首先介绍一下MySQL基本架构,基本结构如下图:

MySQL 基本架构可以分为 Server 层和存储引擎层两部分。Server 层包括连接器、查询缓存、分析器、优化器、执行器等。存储引擎层负责数据的存储和提取,其架构模式是插件式的,支持 InnoDB、MyISAM、Memory 等多个存储引擎

当我们执行一条查询语句:select * from t where id = 1,在MySQL中执行过程如下:

  • 在真正执行select * from t where id = 1时首先需要输入命令mysql -uroot -p,通过连接器将客户端和服务层建立起连接
  • 建立起连接以后输入select * from t where id = 1这条SQL
  • 首先查找查询缓存中是否已经执行过该条语句
  • 若未命中查询缓存,则执行select * from t where id = 1这条SQL,分析器会对这条SQL进行词法分析。
  • MySQL 从输入的select这个关键字识别出来这是一个查询语句。
  • 把字符串t识别成表名t,把字符串id识别成列id
  • 判断输入的这个 SQL 语句是否满足 MySQL 语法
  • 经过了分析器,MySQL 就知道要做什么了。在开始执行之前,还要先经过优化器的处理。优化器是在表里面有多个索引的时候,决定使用哪个索引,或者在一个语句有多表关联(join)的时候,决定各个表的连接顺序
  • MySQL通过分析器知道了要做什么,通过优化器知道了要怎么做,就进入了执行器阶段开始执行语句。开始执行的时候首先要判断一下是否有对表t的查询权限,如果没有就会返回没有权限的错误 如果使用select * 来查询语句,分析器需要对*进行额外的解析,如果直接指定成列名,则不需要进行额外的解析,直接识别成列名,使用*增加了分析器成本

失去MySQL优化器“覆盖索引​”策略优化的可能性

假设有一条sql语句为select * from t where name = "何甜甜",其中id为主键,name为索引,而实际上这么写的目的只是想查询指定name的id 在innodb存储引擎中,索引可以分为非主键索引和主键索引,主键索引和主键的区别在于叶子节点存放数据的不同。主键索引中叶子节点存放的是整行数据,而非主键索引中叶子节点存放的是主键的值。现在我们来看select * from t where name = "何甜甜"这条语句是如何执行的 因为name是索引且name是查询条件,查询优化器会选择使用name索引。首先根据name查询到该name对应的主键id为1,因为需要查询的是指定name的所有数据,因此还需要根据主键id进行一次回表操作。所谓回表操作是指非主键索引中查询到主键id,在根据主键id到主键索引中查询到所有数据,具体过程可看下图

前面已经提到查询到的*中只是用到了id字段,如果将原来的sql语句修改为select id from t where name = "何甜甜",就可以避免一次回表操作。在非主键索引中已经覆盖了查询需求【即所需查询的ID已在非主键索引上了】,也被称为覆盖索引。通过覆盖索引可以减少回表次数,从而显著提升查询性能,因此在实际写sql过程中应该尽量避免写select * 这样的查询语句,写之前先反问是否真的需要用到这么多字段

增加IO操作

BLOB和TEXT是为了存储很大的数据而设计的字符串数据类型,当BLOB和TEXT值太大时,InnoDB会使用专门的外部存储区域来进行存储,每个值在行内需要1~4字节存储一个指针,然后在外部存储区域存储实际的值,如果查询的*中有BLOB或TEXT类型的字段,则查询的BLOB或TEXT列需要在进行额外一次IO操作去外部存储区域将数据查询到,所以尽量避免使用select *

增加数据传输时间和网络开销

传输数据过多会增加网络开销。同时,查询语句执行时会先将查询到的数据放到查询缓存区中,再从查询缓存中将结果返回给客户端,如果查询到的数据量非常大则需要花很多时间来存储结果,所以在说一次,避免使用select *

小结

在实际开发中应尽量避免写select *这样的SQL语句,虽然通常情况下即使真的写了这样的select *这样的SQL语句,对项目的影响可能也没这么大,但好习惯还是要养成的
我还是觉得之前写的文章也很不错,用户管理模块:如何保证用户数据安全,还是要再继续宣传一波,点个赞在走吧