深入浅出神经网络原理

438 阅读8分钟

目录

一、感知器

二、感知器的例子

三、权重和阈值

四、决策模型

五、矢量化

六、神经网络的运作过程

七、神经网络的例子

八、输出的连续性


眼下最热门的技术,绝对是人工智能。

人工智能的底层模型是"神经网络"(neural network)。许多复杂的应用(比如模式识别、自动控制)和高级模型(比如深度学习)都基于它。学习人工智能,一定是从它开始。

什么是神经网络呢?网上似乎缺乏通俗的解释。

前两天,读到 Michael Nielsen 的开源教材《神经网络与深度学习》(Neural Networks and Deep Learning),意外发现里面的解释非常好懂。下面,我就按照这本书,介绍什么是神经网络。

一、感知器

历史上,科学家一直希望模拟人的大脑,造出可以思考的机器。人为什么能够思考?科学家发现,原因在于人体的神经网络。

  • 外部刺激通过神经末梢,转化为电信号,转导到神经细胞(又叫神经元)。
  • 无数神经元构成神经中枢。
  • 神经中枢综合各种信号,做出判断。
  • 人体根据神经中枢的指令,对外部刺激做出反应。

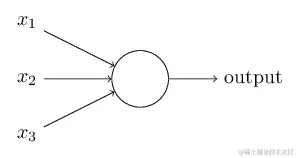
既然思考的基础是神经元,如果能够"人造神经元"(artificial neuron),就能组成人工神经网络,模拟思考。上个世纪六十年代,提出了最早的"人造神经元"模型,叫做"感知器"(perceptron),直到今天还在用。

 

上图的圆圈就代表一个感知器。它接受多个输入(x1,x2,x3...),产生一个输出(output),好比神经末梢感受各种外部环境的变化,最后产生电信号。

为了简化模型,我们约定每种输入只有两种可能:1 或 0。如果所有输入都是1,表示各种条件都成立,输出就是1;如果所有输入都是0,表示条件都不成立,输出就是0。

二、感知器的例子

下面来看一个例子。城里正在举办一年一度的游戏动漫展览,小明拿不定主意,周末要不要去参观。

他决定考虑三个因素。

  • 天气:周末是否晴天?
  • 同伴:能否找到人一起去?
  • 价格:门票是否可承受?

这就构成一个感知器。上面三个因素就是外部输入,最后的决定就是感知器的输出。如果三个因素都是 Yes(使用1表示),输出就是1(去参观);如果都是 No(使用0表示),输出就是0(不去参观)。

三、权重和阈值

看到这里,你肯定会问:如果某些因素成立,另一些因素不成立,输出是什么?比如,周末是好天气,门票也不贵,但是小明找不到同伴,他还要不要去参观呢?

现实中,各种因素很少具有同等重要性:某些因素是决定性因素,另一些因素是次要因素。因此,可以给这些因素指定权重(weight),代表它们不同的重要性。

  • 天气:权重为8
  • 同伴:权重为4
  • 价格:权重为4

上面的权重表示,天气是决定性因素,同伴和价格都是次要因素。

如果三个因素都为1,它们乘以权重的总和就是 8 + 4 + 4 = 16。如果天气和价格因素为1,同伴因素为0,总和就变为 8 + 0 + 4 = 12。

这时,还需要指定一个阈值(threshold)。如果总和大于阈值,感知器输出1,否则输出0。假定阈值为8,那么 12 > 8,小明决定去参观。阈值的高低代表了意愿的强烈,阈值越低就表示越想去,越高就越不想去。

上面的决策过程,使用数学表达如下。

 

上面公式中,x表示各种外部因素,w表示对应的权重。

四、决策模型

单个的感知器构成了一个简单的决策模型,已经可以拿来用了。真实世界中,实际的决策模型则要复杂得多,是由多个感知器组成的多层网络。

上图中,底层感知器接收外部输入,做出判断以后,再发出信号,作为上层感知器的输入,直至得到最后的结果。(注意:感知器的输出依然只有一个,但是可以发送给多个目标。)

这张图里,信号都是单向的,即下层感知器的输出总是上层感知器的输入。现实中,有可能发生循环传递,即 A 传给 B,B 传给 C,C 又传给 A,这称为"递归神经网络"(recurrent neural network),本文不涉及。

 

五、矢量化

为了方便后面的讨论,需要对上面的模型进行一些数学处理。

  • 外部因素 x1x2x3 写成矢量 <x1, x2, x3>,简写为 x
  • 权重 w1w2w3 也写成矢量 (w1, w2, w3),简写为 w
  • 定义运算 w⋅x = ∑ wx,即 w 和 x 的点运算,等于因素与权重的乘积之和
  • 定义 b 等于负的阈值 b = -threshold

感知器模型就变成了下面这样。

 

六、神经网络的运作过程

一个神经网络的搭建,需要满足三个条件。

  • 输入和输出
  • 权重(w)和阈值(b
  • 多层感知器的结构

也就是说,需要事先画出上面出现的那张图。

其中,最困难的部分就是确定权重(w)和阈值(b)。目前为止,这两个值都是主观给出的,但现实中很难估计它们的值,必需有一种方法,可以找出答案。

这种方法就是试错法。其他参数都不变,w(或b)的微小变动,记作Δw(或Δb),然后观察输出有什么变化。不断重复这个过程,直至得到对应最精确输出的那组w和b,就是我们要的值。这个过程称为模型的训练。

 

因此,神经网络的运作过程如下。

  • 确定输入和输出
  • 找到一种或多种算法,可以从输入得到输出
  • 找到一组已知答案的数据集,用来训练模型,估算wb
  • 一旦新的数据产生,输入模型,就可以得到结果,同时对wb进行校正

可以看到,整个过程需要海量计算。所以,神经网络直到最近这几年才有实用价值,而且一般的 CPU 还不行,要使用专门为机器学习定制的 GPU 来计算。

 

七、神经网络的例子

下面通过车牌自动识别的例子,来解释神经网络。

所谓"车牌自动识别",就是高速公路的探头拍下车牌照片,计算机识别出照片里的数字。

 

这个例子里面,车牌照片就是输入,车牌号码就是输出,照片的清晰度可以设置权重(w)。然后,找到一种或多种图像比对算法,作为感知器。算法的得到结果是一个概率,比如75%的概率可以确定是数字1。这就需要设置一个阈值(b)(比如85%的可信度),低于这个门槛结果就无效。

一组已经识别好的车牌照片,作为训练集数据,输入模型。不断调整各种参数,直至找到正确率最高的参数组合。以后拿到新照片,就可以直接给出结果了。

八、输出的连续性

 

上面的模型有一个问题没有解决,按照假设,输出只有两种结果:0和1。但是,模型要求w或b的微小变化,会引发输出的变化。如果只输出0和1,未免也太不敏感了,无法保证训练的正确性,因此必须将"输出"改造成一个连续性函数。

这就需要进行一点简单的数学改造。

首先,将感知器的计算结果wx + b记为z。

z = wx + b

然后,计算下面的式子,将结果记为σ(z)。

σ(z) = 1 / (1 + e^(-z))

这是因为如果z趋向正无穷z → +∞(表示感知器强烈匹配),那么σ(z) → 1;如果z趋向负无穷z → -∞(表示感知器强烈不匹配),那么σ(z) → 0。也就是说,只要使用σ(z)当作输出结果,那么输出就会变成一个连续性函数。

原来的输出曲线是下面这样。

现在变成了这样。

 

实际上,还可以证明Δσ满足下面的公式。

即Δσ和Δw和Δb之间是线性关系,变化率是偏导数。这就有利于精确推算出w和b的值了。