LeetCode | 0145. 二叉树的后序遍历【Python】

346 阅读1分钟

Problem

LeetCode

Given the root of a binary tree, return the postorder traversal of its nodes' values.

Example 1:

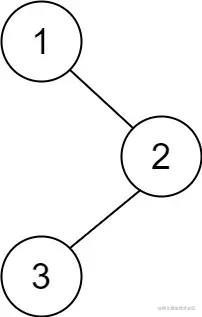
img

Input: root = [1,null,2,3]
Output: [3,2,1]

Example 2:

Input: root = []
Output: []

Example 3:

Input: root = [1]
Output: [1]

Example 4:

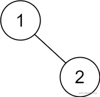
img

Input: root = [1,2]
Output: [2,1]

Example 5:

img

Input: root = [1,null,2]
Output: [2,1]

Constraints:

  • The number of the nodes in the tree is in the range [0, 100].
  • -100 <= Node.val <= 100

Follow up:

Recursive solution is trivial, could you do it iteratively?

问题

力扣

给定一个二叉树,返回它的 后序 遍历。

示例:

输入: [1,null,2,3]  
   1
    \
     2
    /
   3 

输出: [3,2,1]

进阶: 递归算法很简单,你可以通过迭代算法完成吗?

思路

递归

左右根
先遍历左右子树,再加入 root 节点的值。

Python3 代码

# Definition for a binary tree node.
# class TreeNode:
#     def __init__(self, val=0, left=None, right=None):
#         self.val = val
#         self.left = left
#         self.right = right
class Solution:
    def postorderTraversal(self, root: TreeNode) -> List[int]:
        # 递归
        res = []
        def dfs(root):
            if not root:
                return []
            dfs(root.left)
            dfs(root.right)
            res.append(root.val)
        
        dfs(root)
        return res

迭代

使用栈来模拟

Python3 代码

# Definition for a binary tree node.
# class TreeNode:
#     def __init__(self, val=0, left=None, right=None):
#         self.val = val
#         self.left = left
#         self.right = right
class Solution:
    def postorderTraversal(self, root: TreeNode) -> List[int]:
        # 迭代
        res = []
        if not root:
            return res
        stack = []
        node = root
        while stack or node:
            while node:
                # 根节点入栈
                stack.append(node)
                # 左子树存在
                if node.left:
                    node = node.left
                # 左子树不存在,转右子树
                else:
                    node = node.right
            # 取出栈顶元素
            node = stack.pop()
            res.append(node.val)
            # 栈不为空且当前节点是栈顶元素的左节点
            # stack[-1]就是取出的栈顶元素:node
            if stack and node == stack[-1].left:
                node = stack[-1].right
            # 没有左子树或右子树,退栈
            else:
                node = None
        return res

GitHub 链接

Python