Kafka技术内幕 (三) 消费者:高级API和低级API—基础知识

230 阅读9分钟

欢迎大家关注 github.com/hsfxuebao/j… ,希望对大家有所帮助,要是觉得可以的话麻烦给点一下Star哈

转自:www.cnblogs.com/jixp/p/9828…

1. 使用消费组实现消息队列的两种模式

  分布式的消息系统Kafka支持多个生产者和多个消费者,生产者可以将消息发布到集群中不同节点的不同分区上;消费者也可以消费集群中多个节点的多个分区上的消息 。

写消息时

,多个生产者可以写到同一个分区 。

读消息时

,如果多个消费者同时读取一个分区,为了保证将日志文件的不同数据分配给不同的消费者,需要采用加锁 、 同步等方式,在分区级别的日志文件上做些控制 。

如果约定“同一个分区只可被一个消费者处理”,就不需要加锁同步了,从而可提升消费者的处理能力 。

下图给出了一种最简单的消息系统部署模式,生产者的数据源多种多样,它们都统一写人Kafka集群 。 处理消息时有多个消费者分担任务 ,
这些消费者的处理逻辑都相同, 每个消费者处理的分区都不会重复。

  Kafka使用消费组的概念,允许一组消费者进程对消费工作进行划分。 每个消费者都可以配置一个所属的消费组,并且订阅多个主题。
Kafka会发送每条消息给每个消费组中的一个消费者进程( 同一条消息广播给多个消费组,单播给同一****组中的消费者)被订阅主题的所有分区会平均地负载给订
阅方,即消费组中的所有消费者 。 比如 1个主题有4个分区, 1个消费组有2个消费者,那么每个消费者都会分配到2个分区 。

如下图所示,典型的Kafka集群部署方式会有多个消费组,并且每个消费组中也有多个消费者。这样既允许多种业务逻辑的消费组存在,也可以保证同一个消费组内
的多个消费者协调工作,避免因一个消费组中只有一个消费者导致数据丢失 。

Kafka采用消费组保证了“一个分区只可被消费组中的****一个消费者所消费” ,这意味着 :
(1)在一个消费组中,一个消费者可以消费多个分区 。
(2)不同的消费者消费的分区一定不会重复,所有消费者一起消费所有的分区 。
(3)在不同消费组中,每个消费组都会消费所有的分区 。
(4)个消费组下消费者对分区是互斥的,而不同消费组之间是共

  比如,有两个消费者订阅了一个主题 , 如果这两个消费者在不同的消费组中,那么每个消费者都会获取到这个主题所有的记录 ,如果这两个消费者在
同一个消费组中,那么它们会各自获取到一半的记录(两者的记录是对半分的,而且都不重复)。下图给出了多个消费者都在同一个消费组中(有图),
或者各自组成一个消费组(左图)的不同消费场景,这样Kafka也可以实现传统消息队列的发布一订阅模式和队列模式

发布

**


订阅模式

**。同一条消息会被多个消费组消费,每个消费组只有一个消费者,实现广播。
**

队列模式

**。只有一个消费组、多个消费者 一条消息只被消费组的一个消费者消费 ,实现单播 。

2. 消费组再平衡实现故障容错
消费者是客户端的业务处理逻辑程序,因此要考虑消费者的故障容错。一个消费组有多个消费者,因此消费组需要维护所有的消费者 。
如果个消费者宕机了,分配给这个消费者的分区需要重新分配给

相同组的

其他消费者;
**如果个消费者加入了同一个组,之前分配给

其他消费组

的分区需要分配给新加入的消费者**。

一旦有消费者加入或退出消费组,导致消费组成员列表发生变化 ,消费组中所有的消费者就要执行再平衡( rebalance ) 工作 。
如果订阅主题的分区有变化,所有的消费者也都要再平衡。 如下图 所示 ,
在加入一个新的消费者后,需要为所有的消费者重新分配分区 , 因此所有消费者都会执行再平衡。

  消费者再平衡前后分配到的分区会完全不同,那么消费者之间如何确保各向消费消息的平滑过渡呢?
假设分区P1原先分配给消费者C1,再平衡后被分配给消费者C2 。 如果再平衡前消费者C1保存了分区P1 的消费进度,再平衡后消费者C2就可以从保存的
进度位置继续读取分区进度,保证分区P1不管分配给哪个消费者,消息都不会丢失,实现了消费者的故障容错。

3 . 消费者保存消费进度
生产者的提交日志采用递增的偏移量,连同消息内容起写入本地日志文件**。** 消费者客户端则要保存消费消息的偏移盘 即消费进度 消费进度表示消
费者对一个分区已经消费到了哪里 。
由于消费者消费消息的最小单元是分区,因此每个分区都应该记录消费进度,而且消费进度应该面向消费组级别 。假设面向的是消费者级别,
虽然分区是以消费者级别被消费的,但分区的消费进度要保存成消费组级别的 。消费者对分区的消费进度通常保存在外部存储系统中,
比如 ZK或者 Kafka 的内部主题( _consume_offsets )。 这样分区的不同拥有者总是可以读取同一个存储系统的消费进度,即使消费
者成员发生变化,也不会影响消息的消费和处理。 如下图所示,消费者消费消息时,需要定时将分区的最新消费进度保存到ZK中 。
当发生再平衡时,消费者拥有的新分区消费进度都可以从ZK中读取出来,从而恢复到最近的消费状态。

4 . 分区分配给消费者
一个分区只能属于一个消费者线程,将分区分配给消费者有以下几种场景。
线程数量多于分区的数量,有部分线程无法消费该主题下任何一条消息 。
线程数量少于分区的数量,有一些线程会消费多个分区的数据 。
线程数量等于分区的数量,则正好一个钱程消费一个分区的数据 。

下图展示了上面这3种场景,正常情况下采用第二种是最好的,这种方案既不会有第一种的资源浪费现象存在,也不会像第三种那样
每个线程只负责一点点工作 。 通过让一个线程消费多个分区,可以最大限度地利用每个线程的处理能力 。

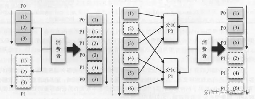
一个消费者线程消费多个分区,可以保证消费同一个分区的消息一定是有序的,但并不保证消费者接收到多个分区的消息完全有序 。
如下图所示,消费者分配了分区P0和分区P1 ,虽然消费者收到的消息整体上不是有序的,但是针对同一个分区的消息是有序的 。
比如下图(左)中分区内的消息
顺序()(2)(3)对应的消费者读取顺序也一定是( 1 )(2)(坷,图 3-7 (右)中分区PO的消息顺序( 1)(3)(5)对应
的消费者读取顺序也一定是( 1)(3)(5) 。

5 . 消费者与 ZK的关系
消费者除了需要保存消费进度到ZK中,它分配的分区也是从ZK读取的 。 ZK不仅存储了 Kafka的
内部元数据,而且记录了消费组的成员列表、分区的消费进度、分区的所有者 。 表3 -1总结了消息代理
节点、主题 、 分区 、 消费者、偏移量( offset )、所有权( ownership )在ZK中的注册信息 。

  消费者要消费哪些分区的消息由消费组来决定,因为消费组管理所有的消费者,所以它需要知道集群中所有可用的分区和所有存活的消费者,

才能执行分区分配算法,而这些信息都需要保存到ZK中 。 每个消费者都要在ZK的消费组节点下注册对应的消费者节点,在分配到不同的分区后,
才会开始各自拉取分区的消息 。
通常,客户端代码并不直接完成上面那些复杂的操作步骤,而是由服务端暴露出一个API接口,让客户端可以透明地和集群交互。 这个API接口实际
上属于客户端进程范畴,用来和管理员以及数据存储节点通信。 Kafka提供了两种层次的客户端API : 如果消费者不太关心消息偏移量的处理,可以使用
高级API ;如果想自定义消费逻辑,可以使用低级API。

高级

**

API

**:消费者客户端代码不需要管理偏移量的提交,并且采用了消费组的自动负载均衡功能,确保消费者的增减不会影响消息的消费 。
高级API提供了从Kafka消费数据的高层抽象 。
**

低级API

**:通常针对特殊的消费逻辑,比如消费者只想消费某些特定的分区 。 低级API的客户端代码需要自己实现一些和Kafka服务端相关的底层逻辑,
比如选择分区的主副本 、 处理主副本的故障转移等。