人工智能-机器学习-简单介绍下LR

127 阅读2分钟

把LR从头到脚都给讲一遍。建模,现场数学推导,每种解法的原理,正则化,LR和maxent模型啥关系。有不少会背答案的人,问逻辑细节就糊涂了。

原理都会? 那就问工程,并行化怎么做,有几种并行化方式,读过哪些开源的实现。还会,那就准备收了吧,顺便逼问LR模型发展历史。

虽然逻辑斯蒂回归姓回归,不过其实它的真实身份是二分类器。先弄清楚一个概念:线性分类器。

给定一些数据点,它们分别属于两个不同的类,现在要找到一个线性分类器把这些数据分成两类。

如果用x表示数据点,用y表示类别(y可以取1或者-1,分别代表两个不同的类),一个线性分类器的学习目标便是要在n维的数据空间中找到一个超平面(hyper plane),这个超平面的方程可以表示为( wT中的T代表转置):

可能有读者对类别取1或-1有疑问,事实上,这个1或-1的分类标准起源于logistic回归。

Logistic回归目的是从特征学习出一个0/1分类模型,而这个模型是将特性的线性组合作为自变量,由于自变量的取值范围是负无穷到正无穷。因此,使用logistic函数(或称作sigmoid函数)将自变量映射到(0,1)上,映射后的值被认为是属于y=1的概率。

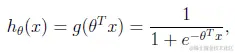
假设函数

其中x是n维特征向量,函数g就是logistic函数。

的图像是

可以看到,将无穷映射到了(0,1)。 而假设函数就是特征属于y=1的概率。

从而,当我们要判别一个新来的特征属于哪个类时,只需求即可,若大于0.5就是y=1的类,反之属于y=0类。