LinkedList详解

378 阅读7分钟

基本属性

LinkedList既是List的实现类,也是Queue的实现类,所以LinkedList也可以当作队列使用。LinkedList的属性有:

/**
 * 存储的元素个数
 */
transient int size = 0;

/**
 * 头节点
 */
transient Node<E> first;

/**
 * 尾节点
 */
transient Node<E> last;

private static class Node<E> {
    E item;
    Node<E> next;
    Node<E> prev;

    /**
     * 在构造节点的时候指定了前继节点和后继节点
     */
    Node(Node<E> prev, E element, Node<E> next) {
        this.item = element;
        this.next = next;
        this.prev = prev;
    }
}

LinkedList.Node包含实际存储的元素、指向上一个节点的指针、指向下一个节点的指针,所以LinkedList是一个双向链表,它提供了两个构造方法:

/**
 * 构造一个空的list
 */
public LinkedList() {
}

/**
 * 从另一个集合构建list,将集合c中的元素全部添加到当前list
 */
public LinkedList(Collection<? extends E> c) {
    this();
    addAll(c);
}

链表操作

插入节点

LinkedList里面,节点的插入分成三种情况,在头部插入、在尾部插入、在中间插入。

  1. 头部插入
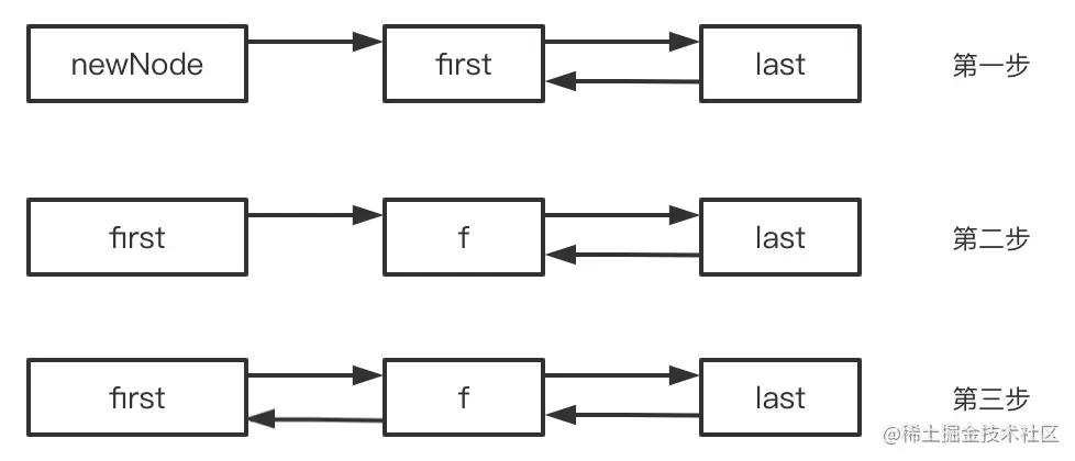
private void linkFirst(E e) {
    final Node<E> f = first;
    final Node<E> newNode = new Node<>(null, e, f);
    first = newNode;
    if (f == null)
        last = newNode;
    else
        f.prev = newNode;
    size++;
    modCount++;
}
  • 首先复制头节点的引用,然后创建一个新节点(newNode),并将newNode.next指向头节点。
  • 将头节点的引用指向新节点。
  • 如果头节点为null,表明列表是空的,将尾节点引用也指向新节点就完了;否则将旧头节点的prev指向新节点(f.prev = newNode)。 这个过程图解如下:
  1. 尾部插入
void linkLast(E e) {
    final Node<E> l = last;
    final Node<E> newNode = new Node<>(l, e, null);
    last = newNode;
    if (l == null)
        first = newNode;
    else
        l.next = newNode;
    size++;
    modCount++;
}

尾部插入相对于头部插入来说是一个镜像的过程:

  • 首先复制尾节点的引用,然后创建一个新节点并将新节点的prev指向尾节点。
  • 将尾节点的引用指向新节点。
  • 如果尾节点为null,表明列表是空的,将头节点的引用指向新节点就好了;否则将旧尾节点的next指向新节点。
  1. 中间插入
/**
 * @param e 要插入的元素
 * @param succ 插入元素的后继节点,既插入位置是在succ节点前面
 */
void linkBefore(E e, Node<E> succ) {
    // assert succ != null;
    final Node<E> pred = succ.prev;
    final Node<E> newNode = new Node<>(pred, e, succ);
    succ.prev = newNode;
    if (pred == null)
        first = newNode;
    else
        pred.next = newNode;
    size++;
    modCount++;
}
  • 首先保留succ节点的prev引用,然后创建新节点,并且newNode.next = succnewNode.prev = pred
  • succ节点的prev指向新节点。
  • 如果pred节点为null,表示succ节点是头节点,将头节点的引用指向新节点就完成了;否则将pred节点的next指向新节点。 这个过程图解如下:

删除节点

删除也分成了三种情况。

  1. 头部删除
/**
 * @param f 要删除的节点
 */
private E unlinkFirst(Node<E> f) {
    // assert f == first && f != null;
    final E element = f.item;
    final Node<E> next = f.next;
    f.item = null;
    f.next = null; // help GC
    first = next;
    if (next == null)
        last = null;
    else
        next.prev = null;
    size--;
    modCount++;
    return element;
}
  • 复制要删除节点存储的元素和next的引用。
  • 将要删除节点的itemnext置为null,为了帮助垃圾回收。
  • 将头节点指向被删除节点的next节点,如果next节点为空,表明列表只存储了一个元素,将尾节点置为null就完了;否则将nextprev节点置为null。 过程图解如下:
  1. 尾部删除
private E unlinkLast(Node<E> l) {
    // assert l == last && l != null;
    final E element = l.item;
    final Node<E> prev = l.prev;
    l.item = null;
    l.prev = null; // help GC
    last = prev;
    if (prev == null)
        first = null;
    else
        prev.next = null;
    size--;
    modCount++;
    return element;
}

尾部删除相对于头部删除来说,是一个镜像的过程。

  • 复制要删除节点存储的元素和prev引用。
  • 将要删除节点的itemprev置为null,帮助垃圾回收。
  • 将尾节点指向要删除节点的prev节点,如果prev节点为空,表明列表只有一个元素,将头节点置为空就完了;否则将prev节点的引用置为null
  1. 中间删除
E unlink(Node<E> x) {
    // assert x != null;
    final E element = x.item;
    final Node<E> next = x.next;
    final Node<E> prev = x.prev;

    if (prev == null) {
        first = next;
    } else {
        prev.next = next;
        x.prev = null;
    }

    if (next == null) {
        last = prev;
    } else {
        next.prev = prev;
        x.next = null;
    }

    x.item = null;
    size--;
    modCount++;
    return element;
}
  • 首先复制要删除节点的itemnextprev引用。
  • 如果prev节点为null,表明被删除的节点是头节点,将头节点的引用指向next节点就完了;否则将prev.next指向next节点,并将被删除节点的prev置为null
  • 如果next节点为null,表明被删除的节点是尾节点,将尾节点的引用指向prev节点就完了;否则将next.prev指向prev节点,并将被删除节点的next置为null。 过程图解如下:

元素操作

添加元素

单个元素的插入有两种类型的方法,一种继承自List,一种继承自Queue,因为LinkedList属于无界队列,所以对于插入来说,并不会抛出异常。

/**
 * 尾部插入
 */
public boolean add(E e) {
    linkLast(e);
    return true;
}

/**
 * 在指定下标处插入,首先检测下标是否越界,然后确定插入的位置
 */
public void add(int index, E element) {
    checkPositionIndex(index);

    if (index == size)
        linkLast(element);
    else
        linkBefore(element, node(index));
}

/**
 * 头部插入
 */
public void addFirst(E e) {
    linkFirst(e);
}

/**
 * 尾部插入
 */
public void addLast(E e) {
    linkLast(e);
}

// 队列相关方法

/**
 * 尾部插入(入队列)
 */
public boolean offer(E e) {
    return add(e);
}

/**
 * 头部插入
 */
public boolean offerFirst(E e) {
    addFirst(e);
    return true;
}

/**
 * 尾部插入
 */
public boolean offerLast(E e) {
    addLast(e);
    return true;
}

/**
 * 头部插入
 */
public void push(E e) {
    addFirst(e);
}

批量添加元素相关方法:

/**
 * 在尾部插入多个元素
 */
public boolean addAll(Collection<? extends E> c) {
    return addAll(size, c);
}

/**
 * 在指定位置处插入多个元素
 */
public boolean addAll(int index, Collection<? extends E> c) {
    // 首先检查是否越界
    checkPositionIndex(index);

    Object[] a = c.toArray();
    int numNew = a.length;
    if (numNew == 0)
        return false;

    // 找到指定位置的前继节点和后继节点
    Node<E> pred, succ;
    if (index == size) {
        succ = null;
        pred = last;
    } else {
        succ = node(index);
        pred = succ.prev;
    }

    // 从指定位置开始插入节点
    for (Object o : a) {
        @SuppressWarnings("unchecked") E e = (E) o;
        Node<E> newNode = new Node<>(pred, e, null);
        if (pred == null)
            first = newNode;
        else
            pred.next = newNode;
        pred = newNode;
    }

    // 更新最后一个插入的节点和原来后继节点相关的引用
    if (succ == null) {
        last = pred;
    } else {
        pred.next = succ;
        succ.prev = pred;
    }

    size += numNew;
    modCount++;
    return true;
}

删除元素

LinkedList中,出队列时,如果通过remove方法,没有元素时会抛出异常,删除单个元素方法如下:

/**
 * 头部删除(出队列),没有元素时,会抛出异常
 */
public E remove() {
    return removeFirst();
}

/**
 * 删除指定位置元素,先判断是否越界,然后删除对应节点
 */
public E remove(int index) {
    checkElementIndex(index);
    return unlink(node(index));
}

/**
 * 删除指定元素,从头部开始查找,找到对应节点后,删除节点(从前往后)
 */
public boolean remove(Object o) {
    if (o == null) {
        for (Node<E> x = first; x != null; x = x.next) {
            if (x.item == null) {
                unlink(x);
                return true;
            }
        }
    } else {
        for (Node<E> x = first; x != null; x = x.next) {
            if (o.equals(x.item)) {
                unlink(x);
                return true;
            }
        }
    }
    return false;
}

/**
 * 头部删除
 */
public E removeFirst() {
    final Node<E> f = first;
    if (f == null)
        throw new NoSuchElementException();
    return unlinkFirst(f);
}

/**
 * 尾部删除
 */
public E removeLast() {
    final Node<E> l = last;
    if (l == null)
        throw new NoSuchElementException();
    return unlinkLast(l);
}

/**
 * 删除链表的第一个元素o
 */
public boolean removeFirstOccurrence(Object o) {
    return remove(o);
}

/**
 * 删除链表中的最后一个元素o,从尾节点开始查找(从后往前)
 */
public boolean removeLastOccurrence(Object o) {
    if (o == null) {
        for (Node<E> x = last; x != null; x = x.prev) {
            if (x.item == null) {
                unlink(x);
                return true;
            }
        }
    } else {
        for (Node<E> x = last; x != null; x = x.prev) {
            if (o.equals(x.item)) {
                unlink(x);
                return true;
            }
        }
    }
    return false;
}

// 队列相关方法

/**
 * 出队列
 */
 public E poll() {
    final Node<E> f = first;
    return (f == null) ? null : unlinkFirst(f);
}

public E pollFirst() {
    final Node<E> f = first;
    return (f == null) ? null : unlinkFirst(f);
}

public E pollLast() {
    final Node<E> l = last;
    return (l == null) ? null : unlinkLast(l);
}

LinkedList批量删除元素是其父类AbstractCollection提供的,通过迭代器的删除实现,方法如下:

public boolean removeAll(Collection<?> c) {
    Objects.requireNonNull(c);
    boolean modified = false;
    Iterator<?> it = iterator();
    while (it.hasNext()) {
        if (c.contains(it.next())) {
            it.remove();
            modified = true;
        }
    }
    return modified;
}

访问元素

public E getFirst() {
    final Node<E> f = first;
    if (f == null)
        throw new NoSuchElementException();
    return f.item;
}
    
public E getLast() {
    final Node<E> l = last;
    if (l == null)
        throw new NoSuchElementException();
    return l.item;
}

/**
 * 查找指定位置的元素
 */
public E get(int index) {
    checkElementIndex(index);
    return node(index).item;
}
    
Node<E> node(int index) {
    // assert isElementIndex(index);
    
    // 如果指定位置小于 size / 2,从前往后查找,否者从后往前查找
    if (index < (size >> 1)) {
        Node<E> x = first;
        for (int i = 0; i < index; i++)
            x = x.next;
        return x;
    } else {
        Node<E> x = last;
        for (int i = size - 1; i > index; i--)
            x = x.prev;
        return x;
    }
}

/**
 * 查找指定元素的下标,从前往后查找第一次出现的位置
 */
public int indexOf(Object o) {
    int index = 0;
    if (o == null) {
        for (Node<E> x = first; x != null; x = x.next) {
            if (x.item == null)
                return index;
            index++;
        }
    } else {
        for (Node<E> x = first; x != null; x = x.next) {
            if (o.equals(x.item))
                return index;
            index++;
        }
    }
    return -1;
}

/**
 * 查找指定元素最后一次出现的下标,从后往前查找,第一次出现的位置
 */
public int lastIndexOf(Object o) {
    int index = size;
    if (o == null) {
        for (Node<E> x = last; x != null; x = x.prev) {
            index--;
            if (x.item == null)
                return index;
        }
    } else {
        for (Node<E> x = last; x != null; x = x.prev) {
            index--;
            if (o.equals(x.item))
                return index;
        }
    }
    return -1;
}

// 队列相关方法

/**
 * 返回队列中的第一个元素,如果队列为空,返回null
 */
public E peek() {
    final Node<E> f = first;
    return (f == null) ? null : f.item;
}

/**
 * 返回队列中的第一个元素,如果队列为空,抛出异常
 */
public E element() {
    return getFirst();
}

public E peekFirst() {
    final Node<E> f = first;
    return (f == null) ? null : f.item;
}
     
public E peekLast() {
    final Node<E> l = last;
    return (l == null) ? null : l.item;
}

其他

equals

LinkedListequals方法由其父类AbstractList实现,方法如下:

public boolean equals(Object o) {
    if (o == this)
        return true;
    if (!(o instanceof List))
        return false;

    ListIterator<E> e1 = listIterator();
    ListIterator<?> e2 = ((List<?>) o).listIterator();
    while (e1.hasNext() && e2.hasNext()) {
        E o1 = e1.next();
        Object o2 = e2.next();
        if (!(o1==null ? o2==null : o1.equals(o2)))
            return false;
    }
    return !(e1.hasNext() || e2.hasNext());
}

可以看到,两个List比较,只要存储元素的顺序和值相等,那么这两个List通过equals比较的时候,它们就是相等的。

hashcode

也是在AbstractList中实现:

public int hashCode() {
    int hashCode = 1;
    for (E e : this)
        hashCode = 31*hashCode + (e==null ? 0 : e.hashCode());
    return hashCode;
}

Java集合框架中,List实现类的hashcode值随着其存储的元素改变而改变,所以不要将List的实现类作为HashMap的键。

序列化

LinkedList也是自己实现了序列化和反序列化逻辑,代码如下:

private void writeObject(java.io.ObjectOutputStream s)
    throws java.io.IOException {
    // Write out any hidden serialization magic
    s.defaultWriteObject();

    // Write out size
    s.writeInt(size);

    // Write out all elements in the proper order.
    for (Node<E> x = first; x != null; x = x.next)
        s.writeObject(x.item);
}
    
private void readObject(java.io.ObjectInputStream s)
    throws java.io.IOException, ClassNotFoundException {
    // Read in any hidden serialization magic
    s.defaultReadObject();

    // Read in size
    int size = s.readInt();

    // Read in all elements in the proper order.
    for (int i = 0; i < size; i++)
        linkLast((E)s.readObject());
}

LinkedList元素实际上是保存在LinkedList.Node.item上,自定义是为了避免序列化额外的东西(Node.nextNode.prev)。

迭代器

ArrayList类似,不要在foreach循环中,对链表进行修改,否则会抛出ConcurrentModificationException异常。

总结

  1. LinkedList实际上是一个双向链表,它拥有链表头节点和尾节点的引用。
  2. 能够存储null元素,非线程安全,hashcode随着存储元素的变化而变化。
  3. 随机访问效率比较低,实际复杂度为O(n)n为你想访问的下标。