LeetCode | 0144. 二叉树的前序遍历【Python】

169 阅读1分钟

Problem

LeetCode

Given the root of a binary tree, return the preorder traversal of its nodes' values.

Example 1:

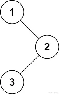
img

Input: root = [1,null,2,3]
Output: [1,2,3]

Example 2:

Input: root = []
Output: []

Example 3:

Input: root = [1]
Output: [1]

Example 4:

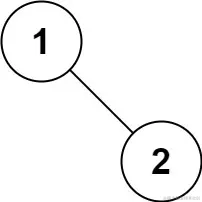
img

Input: root = [1,2]
Output: [1,2]

Example 5:

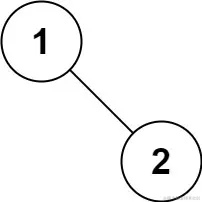
img

Input: root = [1,null,2]
Output: [1,2]

Constraints:

  • The number of nodes in the tree is in the range [0, 100].
  • -100 <= Node.val <= 100

Follow up:

Recursive solution is trivial, could you do it iteratively?

问题

力扣

给你二叉树的根节点 root ,返回它节点值的 前序 遍历。

示例 1:

img

输入:root = [1,null,2,3]
输出:[1,2,3]

示例 2:

输入:root = []
输出:[]

示例 3:

输入:root = [1]
输出:[1]

示例 4:

img

输入:root = [1,2]
输出:[1,2]

示例 5:

img

输入:root = [1,null,2]
输出:[1,2]

提示:

  • 树中节点数目在范围 [0, 100] 内
  • -100 <= Node.val <= 100

进阶:递归算法很简单,你可以通过迭代算法完成吗?

思路

递归

根左右
先加入 root 节点的值,再遍历左右子树

Python3 代码

# Definition for a binary tree node.
# class TreeNode:
#     def __init__(self, val=0, left=None, right=None):
#         self.val = val
#         self.left = left
#         self.right = right
class Solution:
    def preorderTraversal(self, root: TreeNode) -> List[int]:
        # 递归
        res = []
        def dfs(root):
            if not root:
                return []
            res.append(root.val)
            dfs(root.left)
            dfs(root.right)
        
        dfs(root)
        return res

迭代

使用栈来模拟

Python3 代码

# Definition for a binary tree node.
# class TreeNode:
#     def __init__(self, val=0, left=None, right=None):
#         self.val = val
#         self.left = left
#         self.right = right
class Solution:
    def preorderTraversal(self, root: TreeNode) -> List[int]:
        # 迭代
        res = []
        if not root:
            return res
        stack = []
        node = root
        while stack or node:
            while node:
                res.append(node.val)
                stack.append(node)
                # 前序遍历
                node = node.left
            node = stack.pop()
            node = node.right
        return res

GitHub 链接

Python