【算法】贪心算法

960 阅读4分钟

概念&&介绍

贪心算法是指,在对问题求解时,总是做出在当前看来是最好的选择。也就是说,不从整体最优上加以考虑,算法得到的是在某种意义上的局部最优解。所以说只有证明局部最优解在全局最优解序列中,才能通过贪心算法得到问题的全局最优解。也就是说选择的贪心策略必须具备无后效性,即某个状态以后的过程不会影响以前的状态,只与当前状态有关。所以对所采用的贪心策略一定要仔细分析其是否满足无后效性。

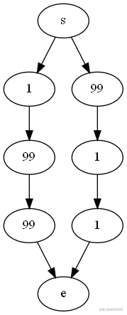
如图0.0所示,我们从ss点出发到达点ee,如果我们想要在经过的路径中累计数值最大,我们可以采取在每个分支处选择数值最大的点的贪心策略。但显然我们会选择991199\rightarrow1\rightarrow1的路径,但实际上正解是路径199991\rightarrow99\rightarrow99,这是由于我们的选择是具有后效性的,当前选择的点会影响到后面可选择的点,所以会导致我们不能得到全局最优解。

图0.0

如图0.1所示,我们选择三次,每次从两点中选择一个点并累加它的数值,如果我们想要使累计的数值最大,我们可以选择三次点9999,并且我们最后得出的解是正解。这是由于我们的选择不具有后效性,当前选择的点并不会影响到后面可选择的点,所以我们可以得到全局最优解。

图0.1

算法流程

  1. 把求解的问题分成若干个子问题。
  2. 对每一子问题求解,得到子问题的局部最优解。
  3. 把子问题的解局部最优解合成原来解问题的一个解。

适用问题

局部最优策略能导致产生全局最优解。或者将贪心算法进行修改以求出全局最优解

深入理解&&例题

如果前面的两个小例子不能使你透彻地理解贪心算法,那么我们可以来看看下面的几个小例题,通过它们来深入理解贪心算法以及贪心算法使用的场景。

删数问题

读入一个高精度整数nn,去掉其中ss个数字后剩下的数字按照原来的次序组成一个新的正整数。寻求一种方案,使得最后组成的数最小。

分析题目,我们可以设计一种贪心策略:进行ss轮删数,每轮删除最大的一个数,如果数值相同则删除靠前的一个。

我们可以对这个贪心策略进行证明:每轮删除的数字并不会影响后面可删除的数字,因此这种贪心策略不具有后效性,且ss次删数后剩余所有数字组成的数即为问题的可行解,因此这种贪心策略可行。

#include<bits/stdc++.h>
using namespace std;
int s,len;
char n[241];
int main(){
	cin>>n;
	cin>>s;
	len=strlen(n);
	while(s--){
		int p,q;
		p=0,q=n[0];
		for(int i=1;i<len;i++){
			if(n[i]>q){
				q=n[i];
				p=i;
			}
		}//找到目标数
		for(int i=p+1;i<len;i++){
			n[i-1]=n[i];
		}
		len--;//删数
	}
	for(int i=0;i<len;i++){
		cout<<n[i];
	}
	return 0;
}

均分纸牌

如图3.0所示,有nn堆纸牌,编号分别为1,2,3,...,n1,2,3,...,n。每堆上有若干张,但纸牌总数必为nn的倍数。可以在任一堆上取若于张纸牌,然后移动。移牌规则:编号为11堆上取的纸牌,只能移到编号为22的堆上;编号为nn的堆上取的纸牌,只能移到编号为n1n-1的堆上;其他堆上取的纸牌,可以移到相邻左边或右边的堆上。现在要求找出一种移动方法,用最少的移动次数使每堆上纸牌数都一样多。

分析题目,我们可以得知:要想使移动次数最少,就要把移动的浪费降到最低。例如在相邻的两堆间移动2\ge2次就是一种浪费,因为这2\ge2次移动都可以合并成1\le1次。

图3.0

因此,我们可以采用移动一次使得一堆牌数达到平均值的贪心策略:先把每堆的牌数减去平均数,然后由左而右的顺序移动纸牌。若第ii堆纸牌的张数a[i]a[i]不为00,则将值移动到下一堆。如图3.1所示,所有堆的纸牌平均数为66,我们可以先将每堆减掉平均数。

图3.1

然后遍历每堆纸牌,如图3.2所示,纸牌数不为00则向下一堆移动,每次移动将移动次数+1+1,最后得到图3.3。

图3.2

这种贪心策略类似于“把不足平均值的责任推给下一堆,直至多于平均值的纸牌堆来弥补”。通过求解两个纸牌堆之间的最优子解,把所有子解合并得到问题的一个可行解。

#include<bits/stdc++.h>
using namespace std;
int n,a[101],sum,ans;
int main(){
	scanf("%d",&n);
	for(int i=1;i<=n;i++){
		scanf("%d",&a[i]);
		sum+=a[i];
	} 
	sum/=n;
	for(int i=1;i<=n;i++){
		a[i]-=sum;
	} 
	for(int i=1;i<=n;i++){
		if(a[i]!=0){
			a[i+1]+=a[i];
			ans++;
		}
	}
	printf("%d\n",ans);
	return 0;
}

糖果传递

nn个小朋友坐成一圈,每人有a[i]a[i]个糖果。每人只能给左右两人传递糖果。每人每次传递一个糖果代价为11。求使所有人获得均等糖果的最小代价。

和均分纸牌类似,现在假设编号为ii的人初始有a[i]a[i]个糖果。对于11号来说,他给了nnx[1]x[1]个糖果,还剩a[1]x[1]a[1]-x[1]个;但是因为22号给了他x[2]x[2]个糖果,所以最后还剩a[1]x[1]+x[2]a[1]-x[1]+x[2]个糖果。根据题设,该金币数等于mm。换句话说,我们得到了一个方程:m=a[1]x[1]+x[2]m=a[1]-x[1]+x[2]

同理,对于第22个人,有m=a[2]x[2]+x[3]m=a[2]-x[2]+x[3]。最终,我们可以得到nn个方程,一共nn个变量,是不是可以直接解方程组了呢?很可惜,还不行。因为从前n1n-1个方程可以推导出最后一个方程。所以,实际上只有n1n-1个方程是有用的。

尽管无法直接解出答案,我们还是可以尝试着用x[1]x[1]表示出其他的x[i]x[i],则本题就变成了单变量的极值问题。

对于第11个人,a[1]x[1]+x[2]=mx[2]=ma[1]+x[1]=x[1]c[1]a[1]-x[1]+x[2]=m\rightarrow x[2]=m-a[1]+x[1]=x[1]-c[1](令c[1]=a[1]mc[1]=a[1]-m,下面类似) 对于第22个人,a[2]x[2]+x[3]=mx[3]=ma[2]+x[2]=2ma[1]a[2]+x[1]=x[1]c[2]a[2]-x[2]+x[3]=m\rightarrow x[3]=m-a[2]+x[2]=2m-a[1]-a[2]+x[1]=x[1]-c[2]c[2]=c[1]+a[2]mc[2]=c[1]+a[2]-m) 对于第33个人,a[3]x[3]+x[4]=mx[4]=ma[3]+x[3]=3ma[1]a[2]a[3]+x[1]=x[1]+c[3]a[3]-x[3]+x[4]=m\rightarrow x[4]=m-a[3]+x[3]=3m-a[1]-a[2]-a[3]+x[1]=x[1]+c[3] ......

对于第11个人,a[n]x[n]+x[1]=ma[n]-x[n]+x[1]=m。这是一个多余的等式,并不能给我们更多的信息。我们希望所有的x[i]x[i]的绝对值之和尽量小,即x[1]+x[1]c[1]+x[1]c[2]+...+x[1]c[n]1|x[1]|+|x[1]-c[1]|+|x[1]-c[2]|+...+|x[1]-c[n]-1|要最小。注意到x[i]c[i]|x[i]-c[i]|的集合意思是数轴上点x[i]x[i]c[i]c[i]的距离,所以问题变成了:给定数轴上的nn个点,找出一个到它们的距离之和尽量小的点。

结论:给定数轴上的nn个点,在数轴上的所有点中,中位数离所有顶点的距离之和最小。凡是能转化为这个模型的题目都可以用中位数求解。

#include<bits/stdc++.h>
#define maxn 1000001
using namespace std;
int n,a[maxn];
long long c[maxn],sum,ans;
int main(){
	scanf("%d",&n);
	for(int i=1;i<=n;i++){
		scanf("%d",&a[i]),sum+=a[i];
	} 
	sum/=n;
	for(int i=1;i<=n;i++){
		c[i]+=sum-a[i]+c[i-1];
	} 
	sort(c+1,c+n+1);
	int mid=c[n/2];
	for(int i=1;i<=n;i++){
		ans+=abs(mid-c[i]);
	} 
	printf("%lld",ans);
	return 0;
}

进阶习题

参考资料

  1. 贪心算法 百度百科
  2. 贪心策略取得最优解的条件_常用算法之贪心算法 CSDN @weixin_39799825
  3. 贪心算法的最优解条件 CSDN @逆羽飘扬
  4. 贪心算法-例题讲解 博客园 @In'f

原文地址 oiermikec.fun/index.php/2…