【Daily Interview】- 14 相同的树

285 阅读3分钟

题目

图片1
图片1

!! 题目来源:相同的树 - 力扣

分析

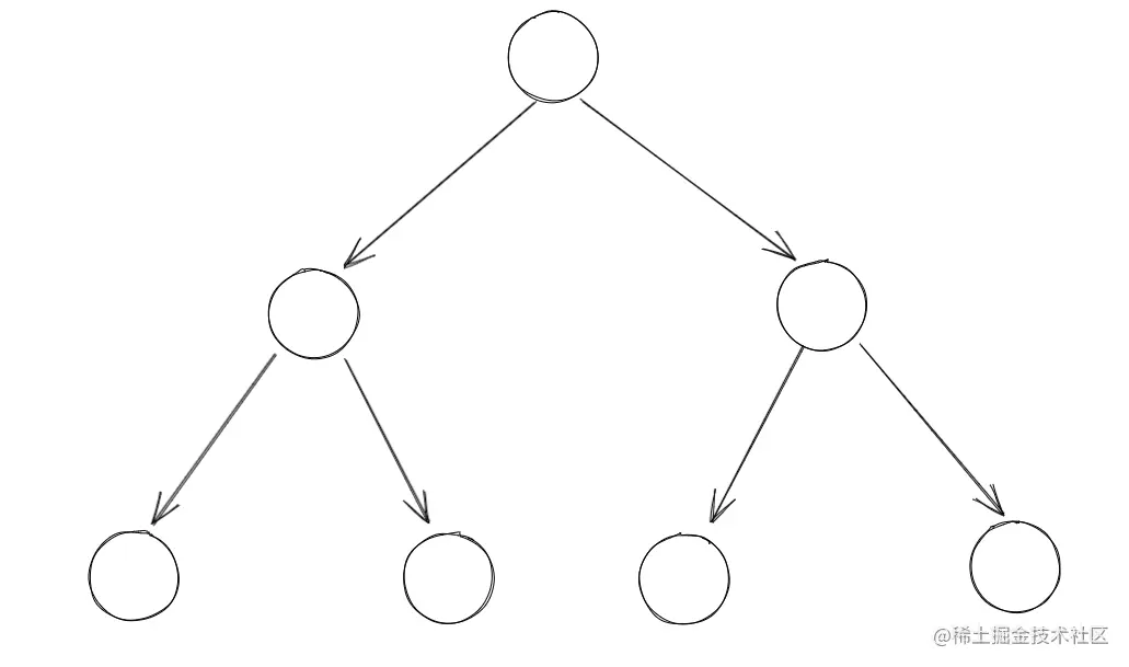
所谓树,其实是基于链表之上的一种数据结构,通过之前的学习,我们已经清楚了什么是链表,而在此之上,若节点不仅仅有一个 next,而是有多个 next 指向不同的节点,那便形成了树,可见下图:

图片2
图片2

其中顶部的节点被称为树的根节点,根据上图,我们可以大致得出树的结构:

class TreeNode {
    constructor(value) {
        this.val = value
        this.children = []
    }
}

在树的基础上,如果规定任意节点至多有两个节点,分别称为 leftright,那么这棵树便是一棵二叉树,具体可见下图:

图片3
图片3

基本知识的铺垫暂时到这,随着后面的刷问题会继续深入,接下来我们分析一下题目:

  • 这是一颗二叉树
  • 树在结构上相同,并且节点具有相同的值,则判定它们相同

根据上述两点,我们可以得出以下的一些信息:

  • 树的结构大致如下:
function TreeNode(val, left, right) {     
   this.val = (val===undefined ? 0 : val)
    this.left = (left===undefined ? null : left)
    this.right = (right===undefined ? null : right)
}
  • 树需要结构和每个节点的值相同才能判定相同,比如下面两树就是不同的:
图片4
图片4

结合上述信息,我们应当在代码层面判断两树相等呢?

  • 首先我们一定是需要用递归的手段来遍历树
  • 其次,当我们递归的时候,实现应该聚焦在当前节点,收窄关注点
  • 对于当前节点,有什么可以判断的呢?
    • 如果当前节点皆为空,显然它们是相等的
    • 如果一个节点为空,一个不为空,显然让门不相等
    • 如果二者皆不为空,但二者值不相等,那它们必不相等

大体思路如上,这里按部就班实现代码即可:

var isSameTree = function (p, q) {
  if (p === null && q === nullreturn true;
  if (p === null || q === nullreturn false;
  if (p.val !== q.valreturn false;
  return isSameTree(p.left, q.left) && isSameTree(p.right, q.right);
};

结果如下:

图片5
图片5

!! 💡 tip:或许有的读者会觉得上述条件忽略了二者皆不为空,但二者值相等的情况,认为这个时候二者应该相等才对,但无论从代码还是思路中都没有体现这点。但实际上,这样的思考存在一个盲区,那就是子节点的相等问题,虽然在递归的时候要将目光聚焦到当前节点,但是不能忘记全局的判断。