链表环的入口节点~字节题库

303 阅读1分钟

142. 环形链表 II

Difficulty: 中等

给定一个链表,返回链表开始入环的第一个节点。 如果链表无环,则返回 null

为了表示给定链表中的环,我们使用整数 pos 来表示链表尾连接到链表中的位置(索引从 0 开始)。 如果 pos-1,则在该链表中没有环。注意,pos 仅仅是用于标识环的情况,并不会作为参数传递到函数中。

**说明:**不允许修改给定的链表。

进阶:

  • 你是否可以使用 O(1) 空间解决此题?

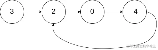
示例 1:

输入:head = [3,2,0,-4], pos = 1
输出:返回索引为 1 的链表节点
解释:链表中有一个环,其尾部连接到第二个节点。

示例 2:

输入:head = [1,2], pos = 0
输出:返回索引为 0 的链表节点
解释:链表中有一个环,其尾部连接到第一个节点。

示例 3:

输入:head = [1], pos = -1
输出:返回 null
解释:链表中没有环。

提示:

  • 链表中节点的数目范围在范围 [0, 10<sup>4</sup>]
  • -10<sup>5</sup> <= Node.val <= 10<sup>5</sup>
  • pos 的值为 -1 或者链表中的一个有效索引

Solution

Language: java

public class Solution {
    public ListNode detectCycle(ListNode head) {
        //首先上HashSet
        if(head == null || head.next == null) return null;
        Set<ListNode> set = new HashSet();
        ListNode current = head;
        while(current != null)
        {
            if(!set.add(current))
            {
                return current;
            }
            current = current.next;
        }
        return null;
    }
}

  • 这种方式效率有点低,而且题目要求空间复杂度O(1)