『数据结构与算法』AVL树(平衡二叉树)

817 阅读7分钟

GitHub源码分享

微信搜索:码农StayUp

主页地址:gozhuyinglong.github.io

源码分享:github.com/gozhuyinglo…

1. AVL树

AVL(Adelson-Velskii 和 Landis)树是带有平衡条件的二叉查找树,又叫做平衡二叉树。在AVL树中任何节点的两个子树高度差最多为1,所以它又被称为高度平衡树。

如下图中可以清晰的看出,左边的树其根节点左子树高度为3,右子树高度为2,符合AVL树的特点;而右边的树其根节点左子树高度为3,右子树高度为1,不符合AVL树的特点。因此左边的树为AVL树,右边的树不是AVL树。

AVL树与非AVL树

那么怎样才能保持这种平衡呢?

答案便是在插入或删除节点时,通过对树进行简单的修正来保持平衡,我们称之为旋转

2. 旋转(rotation)

旋转分为单旋转(single rotation)和双旋转(double rotation)。

  • 当左右子树的高度差超过1,并且最高的叶子节点在“外边”时,使用单旋转。
  • 当左右子树的高度差超过1,并且最高的叶子节点在“里面”时,使用双旋转。

而单旋转又分为:

  • 左旋转,即向左旋转。当右子树的高度大于左子树时,进行左旋转。
  • 右旋转,即向右旋转。当左子树的高度大于右子树时,进行右旋转。

双旋转又分为:

  • 左-右双旋转,即先向左旋转(左子节点),再向右旋转。当左子树的高度大小右子树,并且左子树最高的叶子节点为其父节点的右子节点,那么需要左-右双旋转。
  • 右-左双旋转,即先向右旋转(右子节点),再向左旋转。当右子树的高度大小左子树,并且右子树最高的叶子节点为其父节点的左子节点,那么需要右-左双旋转。

单看这些名词概念是不容易理解的,下面我们通过图例来逐个介绍。

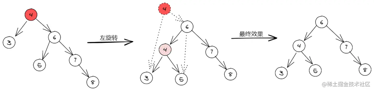
3. 左旋转

看下图中左边的树,该树是一棵二叉查找树,但是否满足AVL的特性呢?可以发现其根节点的左子树的高度为1,而右子树的高度为3,所以其不一棵AVL树。

经过观察,其右子树高于左子树,并且最高的叶子节点也在右边,那么我们使用左旋转进行平衡。

左旋转

详细旋转过程:

  • 将根节点4复制出一个新的节点,其左子节点为3保持不变,将其右子节点指向5(即原根节点的右子节点的左子节点)。
  • 将原根节点的右子节点6的左子节点指向新节点4,其右子节点为7保持不变,那么6便成了新的根节点。

哈哈,是不是有点绕,其实也可以简单理解为:既然右子树比左子树高,那么将树根4向左下移,将树根的右子节点6向上移,成为新的树根,这样便使左右子树的高度平衡了。结合上图,反复练习几次吧。

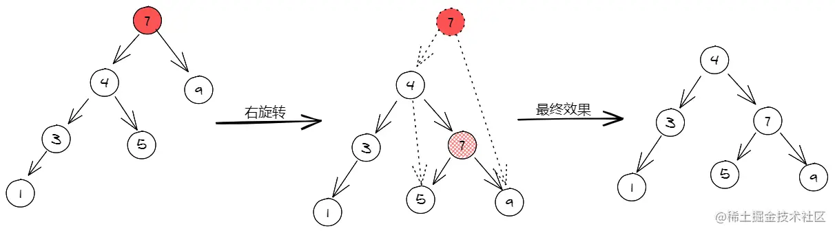
4. 右旋转

右旋转与左旋转正好是对称的,看下图中左边的树,该二叉查找树的左子树高度为3,而右子树高度为1,不满足AVL树的旋转。

因其左子树高于右子树,并且最高的叶子节点在左边,所以我们使用右旋转。

右旋转

详细旋转过程:

  • 将根节点7复制出一个新的节点,其右子节点为9保持不变,左子节点指向5(即原根节点的左子节点的右子节点)。
  • 将原根节点的左节点升级为新的根节点,即其左子树为3保持不变,右子节点指向新的根节点7。

左旋转与右旋转一定要理解,不然下面的双旋转就更容易晕菜了!

5. 双旋转

在介绍双旋转之前,先来看下图,其根节点的左子树高度为3,右子树高度为9,那么我们先使用右旋转的方式,看能不能达平衡的效果。

右旋转后未能达到效果

通过观察右旋转后的效果,是不满足AVL树的特性的。这便需要使用双旋转了。

我们使用左-右旋转来平衡上图中的树,即先进行左旋转,再进行右旋转,但其平衡点不同,如下图所示。

左-右双旋转

详细旋转过程:

  • 先将根节点的左子树(5节点)进行左旋转,降低其(5节点)右子树的高度。
  • 再将根节点进行右旋转,便达到了平衡效果。

那么反过来,右-左双旋转的详细过程:

  • 先将根节点的右子树进行右旋转,降低其右子树的高度。
  • 再将根节点进行左旋转。

6. 代码实现

AVL树的实现是在二叉查找树的基础上添加了平衡操作。

6.1 求节点高度

在Node类中添加节点高度方法heightleftHeightrightHeight,若节点为空则高度为0。

// 当前节点高度
public int height() {
    return Math.max(left == null ? 0 : left.height(), right == null ? 0 : right.height()) + 1;
}

// 左子节点高度
public int leftHeight() {
    if (left == null) {
        return 0;
    }
    return left.height();
}

// 右子节点高度
public int rightHeight() {
    if (right == null) {
        return 0;
    }
    return right.height();
}

6.2 左旋转

在Node类中增加左旋转方法leftRotate

public void leftRotate() {
    // 将当前节点向左下移,成为新的左节点
    Node newLeftNode = new Node(element);
    newLeftNode.left = left;
    // 将右子节点设为原根节点右子树的左子树
    newLeftNode.right = right.left;

    // 将右节点上移,成为新的树根(当前节点)
    element = right.element;
    // 将左子节点设为新的左子节点(原树根)
    left = newLeftNode;
    right = right.right;
}

6.3 右旋转

在Node类中增加右旋转方法rightRotate

public void rightRotate() {
    // 将当前节点向右下移,成为新的右子节点
    Node newRightNode = new Node(element);
    // 将左子节点指向原根节点的左子树的右子树
    newRightNode.left = left.right;
    newRightNode.right = right;

    // 将左子节点上移,成为新的树根(当前节点)
    element = left.element;
    left = left.left;
    // 将右子节点设为新的右子节点(原树根)
    right = newRightNode;
}

6.4 平衡方法

在AVLTree类中添加平衡方法balance,该方法用于判断是需要单旋转还是双旋转。

public void balance(Node node) {

    if (node == null) {
        return;
    }

    if (node.leftHeight() - node.rightHeight() > 1) {
        if (node.left.rightHeight() > node.left.leftHeight()) {
            node.left.leftRotate();
        }
        node.rightRotate();

    } else if (node.rightHeight() - node.leftHeight() > 1) {
        if (node.right.leftHeight() > node.right.rightHeight()) {
            node.right.rightHeight();
        }
        node.leftRotate();
    }
}

6.5 添加节点

在AVLTree类中增加添加节点方法,当添加完一个节点后,进行调用balance方法,来维持平衡。

private void add(Node node, int element) {
    if (node.compareTo(element) < 0) {
        if (node.left == null) {
            node.left = new Node(element);
        } else {
            add(node.left, element);
        }
    } else if (node.compareTo(element) > 0) {
        if (node.right == null) {
            node.right = new Node(element);
        } else {
            add(node.right, element);
        }
    }
    balance(node);
}

6.6 删除节点

在AVLTree类中增加删除节点方法,当删除完一个节点后,也进行调用balance方法,来维护平衡。

private void remove(Node parentNode, Node node, int element) {
    if (node == null) {
        return;
    }
    // 先找到目标元素
    int compareResult = node.compareTo(element);
    if (compareResult < 0) {
        remove(node, node.left, element);
    } else if (compareResult > 0) {
        remove(node, node.right, element);
    } else {
        // 找到目标元素,判断该节点是父节点的左子树还是右子树
        boolean isLeftOfParent = false;
        if (parentNode.left != null && parentNode.left.compareTo(element) == 0) {
            isLeftOfParent = true;
        }

        // 删除目标元素
        if (node.left == null && node.right == null) { // (1)目标元素为叶子节点,直接删除
            if (isLeftOfParent) {
                parentNode.left = null;
            } else {
                parentNode.right = null;
            }
        } else if (node.left != null && node.right != null) { // (2)目标元素即有左子树,也有右子树
            // 找到右子树最小值(叶子节点),并将其删除
            Node minNode = findMin(node.right);
            remove(minNode.element);
            // 将该最小值替换要删除的目标节点
            minNode.left = node.left;
            minNode.right = node.right;
            if (isLeftOfParent) {
                parentNode.left = minNode;
            } else {
                parentNode.right = minNode;
            }

        } else { // (3)目标元素只有左子树,或只有右子树
            if (isLeftOfParent) {
                parentNode.left = node.left != null ? node.left : node.right;
            } else {
                parentNode.right = node.left != null ? node.left : node.right;
            }
        }
    }
    balance(node);
}

6.7 完整代码

由于完整代码篇幅过长,这里就不展示了,可以通过GitHub进行访问,地址如下:

github.com/gozhuyinglo…

7. 总结

总结一句话来表示AVL树:AVL树是一棵其平衡因子(左右子树的高度差)的绝对值小于1的二叉查找树,其可以通过单旋转或双旋转来保持平衡。