webGL笔记

183 阅读4分钟

介绍

之前opengl的文章里讲到了图形学的渲染管线,在webgl里,我们一般可以控制的是顶点着色器与片元着色器。两者合称着色器程序。 在webGL中,我们使用GLSL语言编写着色器程序。

着色器程序获取数据的方法

属性(Attributes)和缓冲

缓冲是发送到GPU的一些二进制数据序列,通常情况下缓冲数据包括位置,法向量,纹理坐标,顶点颜色值等。 你可以存储任何数据。

属性用来指明怎么从缓冲中获取所需数据并将它提供给顶点着色器。 例如你可能在缓冲中用三个32位的浮点型数据存储一个位置值。 对于一个确切的属性你需要告诉它从哪个缓冲中获取数据,获取什么类型的数据(三个32位的浮点数据), 起始偏移值是多少,到下一个位置的字节数是多少。

缓冲不是随意读取的。事实上顶点着色器运行的次数是一个指定的确切数字, 每一次运行属性会从指定的缓冲中按照指定规则依次获取下一个值。

全局变量(Uniforms)

全局变量在着色程序运行前赋值,在运行过程中全局有效。

纹理(Textures)

纹理是一个数据序列,可以在着色程序运行中随意读取其中的数据。 大多数情况存放的是图像数据,但是纹理仅仅是数据序列, 你也可以随意存放除了颜色数据以外的其它数据。

可变量(Varyings)

可变量是一种顶点着色器给片断着色器传值的方式,依照渲染的图元是点, 线还是三角形,顶点着色器中设置的可变量会在片断着色器运行中获取不同的插值。

矩阵变换

1. openGL使用齐次坐标系,意味着2d变换→3X3矩阵,3d变换→4X4矩阵

为什么要用齐次坐标?

  • 处理透视空间,(无穷远处两平行线相交在欧氏空间中不成立)
  • 缩放变换、旋转变换、平移变换统一成矩阵乘法,方便计算 齐次坐标与笛卡尔坐标转换

2. 缩放变换(scale)、旋转变换(rotation)、平移变换(translation)对应的矩阵

缩放

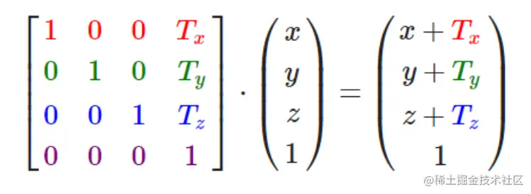
平移

旋转

注意万向节死锁要用四元数解决

3. 二维变换对应矩阵

4.变换的组合

使用矩阵进行变换的真正力量在于,根据矩阵之间的乘法,我们可以把多个变换组合到一个矩阵中。让我们看看我们是否能生成一个变换矩阵,让它组合多个变换。假设我们有一个顶点(x, y, z),我们希望将其缩放2倍,然后位移(1, 2, 3)个单位。我们需要一个位移和缩放矩阵来完成这些变换。结果的变换矩阵看起来像这样:

注意,当矩阵相乘时我们先写位移再写缩放变换的。矩阵乘法是不遵守交换律的,这意味着它们的顺序很重要。当矩阵相乘时,在最右边的矩阵是第一个与向量相乘的,应该从右向左读这个乘法。建议在组合矩阵时,先进行缩放操作,然后是旋转,最后才是位移,否则它们会互相影响。比如,如果先位移再缩放,位移的向量也会同样被缩放(译注:比如向某方向移动2米,2米也许会被缩放成1米)!

用最终的变换矩阵左乘我们的向量会得到以下结果: 不错!向量先缩放2倍,然后位移了(1, 2, 3)个单位。

各种空间坐标系

  • 局部空间(Local Space,或者称为物体空间(Object Space))
  • 世界空间(World Space)
  • 观察空间(View Space,或者称为视觉空间(Eye Space))
  • 裁剪空间(Clip Space)
  • 屏幕空间(Screen Space)

屏幕空间坐标

以整个硬件屏幕为基础的坐标系,和屏幕分辨率有关,原点一般在左上角

裁剪空间坐标

无论你的画布有多大,裁剪空间的坐标范围永远是 -1 到 1 。