常用的数据结构有哪些分类?

254 阅读1分钟

集合结构

一个集合,就是一个圆圈中有很多个元素,元素与元素之间没有任何关系 这个很简单

集合结构

线性结构

一个条线上站着很多个人。 这条线不一定是直的。也可以是弯的。也可以是值的 相当于一条线被分成了好几段的样子 (发挥你的想象力)。常用的线性结构有:线性表,栈,队列,双队列,数组,串。 线性结构是一对一的关系

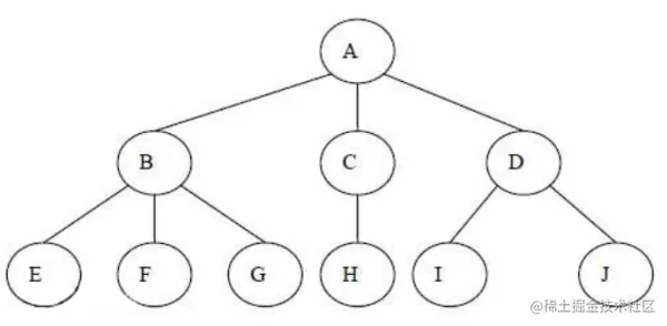
树形结构

做开发的肯定或多或少的知道xml 解析 树形结构跟他非常类似。也可以想象成一个金字塔。树形结构是一对多的关系

树形结构

图形结构

这个就比较复杂了。他呢 无穷。无边 无向(没有方向)图形机构 你可以理解为多对多 类似于我们人的交集关系

阅读原文