41张图解 ElasticSearch 原理,你可收好了!

6,797 阅读7分钟

Elasticsearch 是一款功能强大的开源分布式搜索与数据分析引擎,目前国内诸多互联网大厂都在使用,包括携程、滴滴、今日头条、饿了么、360 安全、小米、vivo 等。

除了搜索之外,结合 Kibana、Logstash、Beats,Elastic Stack 还被广泛运用在大数据近实时分析领域,包括日志分析、指标监控、信息安全等多个领域。

它可以帮助你探索海量结构化、非结构化数据,按需创建可视化报表,对监控数据设置报警阈值,甚至通过使用机器学习技术,自动识别异常状况。

今天,我们先自上而下,后自底向上的介绍ElasticSearch的底层工作原理,并试图回答以下问题:

为什么我的搜索 *foo-bar* 无法匹配 foo-bar ?

为什么增加更多的文件会压缩索引(Index)?

为什么 ElasticSearch 占用很多内存?

图解 ElasticSearch

elasticsearch 版本: elasticsearch-2.2.0。

①云上的集群

如下图:

②集群里的盒子

云里面的每个白色正方形的盒子代表一个节点——Node。

③节点之间

在一个或者多个节点直接,多个绿色小方块组合在一起形成一个 ElasticSearch 的索引。

④索引里的小方块

在一个索引下,分布在多个节点里的绿色小方块称为分片——Shard。

⑤Shard=Lucene Index

一个 ElasticSearch 的 Shard 本质上是一个 Lucene Index。

Lucene 是一个 Full Text 搜索库(也有很多其他形式的搜索库),ElasticSearch 是建立在 Lucene 之上的。

接下来的故事要说的大部分内容实际上是 ElasticSearch 如何基于 Lucene 工作的。

图解 Lucene

Mini 索引:Segment

在 Lucene 里面有很多小的 Segment,我们可以把它们看成 Lucene 内部的 mini-index。

Segment 内部

Segment 内部有着许多数据结构,如上图:

Inverted Index

Stored Fields

Document Values

Cache

最最重要的 Inverted Index

如下图:

Inverted Index 主要包括两部分:

一个有序的数据字典 Dictionary(包括单词 Term 和它出现的频率)。

与单词 Term 对应的 Postings(即存在这个单词的文件)。

当我们搜索的时候,首先将搜索的内容分解,然后在字典里找到对应 Term,从而查找到与搜索相关的文件内容。

①查询“the fury”

如下图:

②自动补全(AutoCompletion-Prefix)

如果想要查找以字母“c”开头的字母,可以简单的通过二分查找(Binary Search)在 Inverted Index 表中找到例如“choice”、“coming”这样的词(Term)。

③昂贵的查找

如果想要查找所有包含“our”字母的单词,那么系统会扫描整个 Inverted Index,这是非常昂贵的。

在此种情况下,如果想要做优化,那么我们面对的问题是如何生成合适的 Term。

④问题的转化

如下图:

对于以上诸如此类的问题,我们可能会有几种可行的解决方案:

* suffix→xiffus *,如果我们想以后缀作为搜索条件,可以为 Term 做反向处理。

(60.6384, 6.5017)→ u4u8gyykk,对于 GEO 位置信息,可以将它转换为 GEO Hash。

123→{1-hundreds, 12-tens, 123},对于简单的数字,可以为它生成多重形式的 Term。

⑤解决拼写错误

一个 Python 库为单词生成了一个包含错误拼写信息的树形状态机,解决拼写错误的问题。

⑥Stored Field 字段查找

当我们想要查找包含某个特定标题内容的文件时,Inverted Index 就不能很好的解决这个问题,所以 Lucene 提供了另外一种数据结构 Stored Fields 来解决这个问题。

本质上,Stored Fields 是一个简单的键值对 key-value。默认情况下,ElasticSearch 会存储整个文件的 JSON source。

⑦Document Values 为了排序,聚合

即使这样,我们发现以上结构仍然无法解决诸如:排序、聚合、facet,因为我们可能会要读取大量不需要的信息。

所以,另一种数据结构解决了此种问题:Document Values。这种结构本质上就是一个列式的存储,它高度优化了具有相同类型的数据的存储结构。

为了提高效率,ElasticSearch 可以将索引下某一个 Document Value 全部读取到内存中进行操作,这大大提升访问速度,但是也同时会消耗掉大量的内存空间。

总之,这些数据结构 Inverted Index、Stored Fields、Document Values 及其缓存,都在 segment 内部。

搜索发生时

搜索时,Lucene 会搜索所有的 Segment 然后将每个 Segment 的搜索结果返回,最后合并呈现给客户。

Lucene 的一些特性使得这个过程非常重要:

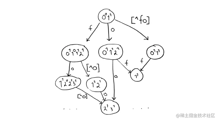
**Segments 是不可变的(immutable):**Delete?当删除发生时,Lucene 做的只是将其标志位置为删除,但是文件还是会在它原来的地方,不会发生改变。

Update?所以对于更新来说,本质上它做的工作是:先删除,然后重新索引(Re-index)。

**随处可见的压缩:**Lucene 非常擅长压缩数据,基本上所有教科书上的压缩方式,都能在 Lucene 中找到。

**缓存所有的所有:**Lucene 也会将所有的信息做缓存,这大大提高了它的查询效率。

缓存的故事

当 ElasticSearch 索引一个文件的时候,会为文件建立相应的缓存,并且会定期(每秒)刷新这些数据,然后这些文件就可以被搜索到。

随着时间的增加,我们会有很多 Segments,如下图:

所以 ElasticSearch 会将这些 Segment 合并,在这个过程中,Segment 会最终被删除掉。

这就是为什么增加文件可能会使索引所占空间变小,它会引起 Merge,从而可能会有更多的压缩。

举个栗子

有两个 Segment 将会 Merge:

这两个 Segment 最终会被删除,然后合并成一个新的 Segment,如下图:

这时这个新的 Segment 在缓存中处于 Cold 状态,但是大多数 Segment 仍然保持不变,处于 Warm 状态。

以上场景经常在 Lucene Index 内部发生的,如下图:

在 Shard 中搜索

ElasticSearch 从 Shard 中搜索的过程与 Lucene Segment 中搜索的过程类似。

与在 Lucene Segment 中搜索不同的是,Shard 可能是分布在不同 Node 上的,所以在搜索与返回结果时,所有的信息都会通过网络传输。

**需要注意的是:**1 次搜索查找 2 个 Shard=2 次分别搜索 Shard。

**对于日志文件的处理:**当我们想搜索特定日期产生的日志时,通过根据时间戳对日志文件进行分块与索引,会极大提高搜索效率。

当我们想要删除旧的数据时也非常方便,只需删除老的索引即可。

在上种情况下,每个 Index 有两个 Shards。

如何 Scale

如下图:

Shard 不会进行更进一步的拆分,但是 Shard 可能会被转移到不同节点上。

所以,如果当集群节点压力增长到一定的程度,我们可能会考虑增加新的节点,这就会要求我们对所有数据进行重新索引,这是我们不太希望看到的。

所以我们需要在规划的时候就考虑清楚,如何去平衡足够多的节点与不足节点之间的关系。

节点分配与 Shard 优化:

为更重要的数据索引节点,分配性能更好的机器。

确保每个 Shard 都有副本信息 Replica。

**路由 Routing:**每个节点,每个都存留一份路由表,所以当请求到任何一个节点时,ElasticSearch 都有能力将请求转发到期望节点的 Shard 进一步处理。

一个真实的请求

如下图:

①Query

如下图:

Query 有一个类型 filtered,以及一个 multi_match 的查询。

②Aggregation

如下图:

根据作者进行聚合,得到 top10 的 hits 的 top10 作者的信息。

③请求分发

这个请求可能被分发到集群里的任意一个节点,如下图:

④上帝节点

如下图:

这时这个节点就成为当前请求的协调者(Coordinator),它决定:

根据索引信息,判断请求会被路由到哪个核心节点。

以及哪个副本是可用的。

等等。

⑤路由

如下图:

⑥在真实搜索之前

ElasticSearch 会将 Query 转换成 Lucene Query,如下图:

然后在所有的 Segment 中执行计算,如下图:

对于 Filter 条件本身也会有缓存,如下图:

但 Queries 不会被缓存,所以如果相同的 Query 重复执行,应用程序自己需要做缓存。

所以:

Filters 可以在任何时候使用。

Query 只有在需要 Score 的时候才使用。

⑦返回

搜索结束之后,结果会沿着下行的路径向上逐层返回,如下图: