剑指offer(35)——复杂链表的复制

1,160 阅读2分钟

一、题目描述

请实现 copyRandomList 函数,复制一个复杂链表。在复杂链表中,每个节点除了有一个 next 指针指向下一个节点,还有一个 random 指针指向链表中的任意节点或者 null。

public class Node {
    int val;
    Node next;
    Node random;

    public Node(int val) {
        this.val = val;
        this.next = null;
        this.random = null;
    }
}

示例 1:

输入:head = [[7,null],[13,0],[11,4],[10,2],[1,0]]
输出:[[7,null],[13,0],[11,4],[10,2],[1,0]]

示例 2:

输入:head = []
输出:[]
解释:给定的链表为空(空指针),因此返回 null。

二、解题思路

一、哈希表

算法说明

利用哈希表的查询特点,考虑构建 原链表节点 和 新链表对应节点 的键值对映射关系,再遍历构建新链表各节点的 next 和 random 引用指向即可。

算法流程

1、若头节点head为空节点,返回null;

2、初始化哈希表dic,节点cur指向头节点;

3、复制链表 :

  1. 建立新节点,并向 dic 添加键值对 (原cur节点, 新cur节点);
  2. cur遍历至原链表下一节点; 4、构建新链表的引用指向 :
  3. 构建新节点的next和random引用指向;
  4. cur遍历至原链表下一节点; 5、返回值 : 新链表的头节点 dic[cur];

代码实现

public Node copyRandomList(Node head) {
    if(head == null){
        return head;
    }
    Map<Node,Node> map = new HashMap<>();
    Node cur = head;
    while(cur != null){
        Node node = new Node(cur.val);
        map.put(cur,node);
        cur = cur.next;
    }
    cur = head;
    while(cur!=null){
        map.get(cur).next = map.get(cur.next);
        map.get(cur).random = map.get(cur.random);
        cur = cur.next;
    }
    return map.get(head);
}

复杂度分析

  • 时间复杂度O(N) : 两轮遍历链表,时间复杂度是O(N)。
  • 空间复杂度O(N) : 哈希表dic使用线性大小的额外空间。

二、拼接 + 拆分

算法说明

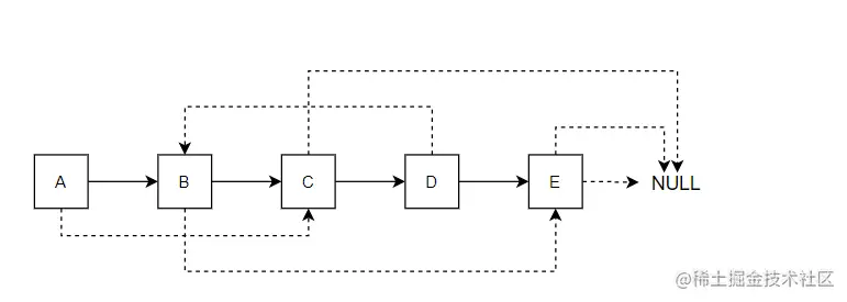
复制原始链表的任意节点N并创建新节点N',再把N'链接到N的后面,假设原始链表上的N的random指向节点S,那么其对应复制出来的N'是N的next指向的节点,同样的S'也是S的next指向的节点。radom指向的是null的话,S'的random指向的也是null

算法流程

1、复制各节点,拼接成新的链表;

2、构建新链表各节点的random指向;

实线代表的是next的指向,虚线代表的是random的指向。 3、拆分原 / 新链表,将这个长链表拆分成两个链表,偶数位置的节点用next连接起来就是复制出来的链表,奇数位置的节点用next连接起来就是原始链表。

代码实现

public Node copyRandomList(Node head) {
    if(head == null){
        return head;
    }
    //1、复制节点接在原节点后
    Node cur = head;
    while(cur!=null){
        Node node = new Node(cur.val);
        node.next = cur.next;
        cur.next = node;
        cur = cur.next.next;
    }
    //2、复制random的指向
    cur = head;
    while(cur!=null){
        Node pClone = cur.next;
        if(cur.random!=null){
            pClone.random = cur.random.next;
        }
        cur = pClone.next;
    }
    //3、拆分链表
    cur = head.next;
    Node pre = head;
    Node res = head.next;
    while(cur.next!=null){
        pre.next = cur.next;
        cur.next = cur.next.next;
        pre = pre.next;
        cur = cur.next;
    }
    //单独处理原来链表的尾指针
    pre.next = null;
    return res;
}

复杂度分析

  • 时间复杂度 : O(N),遍历三次链表,时间复杂度是O(N)。
  • 空间复杂度 : O(1),节点引用变量使用常数大小的额外空间。