Python爬取某东羽绒服数据,用可视化帮你挑选心仪的衣服

489 阅读6分钟

本文的文字及图片来源于网络,仅供学习、交流使用,不具有任何商业用途,如有问题请及时联系我们以作处理。

以下文章附带菜J学Python ,作者J哥

刚接触Python的新手、小白,可以复制下面的链接去免费观看Python的基础入门教学视频

https://v.douyu.com/author/y6AZ4jn9jwKW

前言

前就在上,广深的朋友估计还穿着短袖羡慕着北方的下雪气氛。结果就在上周,广深也迎来了降温,大家纷纷加入“降温群聊”。

为了帮助大家抵抗御严寒,我特地爬了下京东的羽绒服数据。为啥不是天猫呢,理由很简单,滑块验证有点麻烦。

数据获取

京东网站是一个ajax动态加载的网站,只能通过解析接口或使用硒自动化测试工具去爬取。关于动态网页爬虫,本公众号历史原创文章介绍过,感兴趣的朋友可以去了解一下。

本次数据获取采用硒,由于我的谷歌浏览器版本更新较快,导致原来的谷歌驱动程序中断。于是,我替换了浏览器自动更新,并下载了对应版本的驱动。

接着,利用硒在京东网搜索羽绒服,手机扫码登录,获得了羽绒服的商品名称,商品价格,店铺名称,评论人数等信息。

from selenium import webdriver
from selenium.webdriver.support import expected_conditions as EC
from selenium.webdriver.common.by import By
from selenium.webdriver.support.ui import WebDriverWait
from lxml import etree
import random
import json
import csv
import time

browser = webdriver.Chrome('/菜J学Python/京东/chromedriver')
wait =WebDriverWait(browser,50) #设置等待时间
url = 'https://www.jd.com/'
data_list= [] #设置全局变量用来存储数据
keyword ="羽绒服"#关键词

def page_click(page_number):
    try:
        # 滑动到底部
        browser.execute_script("window.scrollTo(0, document.body.scrollHeight);")
        time.sleep(random.randint(1, 3)) #随机延迟
        button = wait.until(
            EC.element_to_be_clickable((By.CSS_SELECTOR, '#J_bottomPage > span.p-num > a.pn-next > em'))
        )#翻页按钮
        button.click()#点击按钮
        wait.until(
            EC.presence_of_all_elements_located((By.CSS_SELECTOR, "#J_goodsList > ul > li:nth-child(30)"))
        )#等到30个商品都加载出来
        # 滑到底部,加载出后30个商品
        browser.execute_script("window.scrollTo(0, document.body.scrollHeight);")
        wait.until(
            EC.presence_of_all_elements_located((By.CSS_SELECTOR, "#J_goodsList > ul > li:nth-child(60)"))
        )#等到60个商品都加载出来
        wait.until(
            EC.text_to_be_present_in_element((By.CSS_SELECTOR, "#J_bottomPage > span.p-num > a.curr"), str(page_number))
        )# 判断翻页成功,高亮的按钮数字与设置的页码一样
        html = browser.page_source#获取网页信息
        prase_html(html)#调用提取数据的函数
    except TimeoutError:
        return page_click(page_number)

数据清洗

导入数据

import pandas as pd
import numpy as np
df = pd.read_csv("/菜J学Python/京东/羽绒服.csv")
df.sample(10)

重命名列

df = df.rename(columns={'title':'商品名称','price':'商品价格','shop_name':'店铺名称','comment':'评论人数'})

查看数据信息

df.info()
'''
1.可能存在重复值
2.商店名称存在缺失值
3.评价人数需要清洗
'''

<class 'pandas.core.frame.DataFrame'>
RangeIndex: 4950 entries, 0 to 4949
Data columns (total 4 columns):
 #   Column  Non-Null Count  Dtype  
---  ------  --------------  -----  
 0   商品名称    4950 non-null   object 
 1   商品价格    4950 non-null   float64
 2   店铺名称    4949 non-null   object 
 3   评论人数    4950 non-null   object 
dtypes: float64(1), object(3)
memory usage: 154.8+ KB

删除重复数据

df = df.drop_duplicates()

缺失值处理

df["店铺名称"] = df["店铺名称"].fillna("无名氏")

商品名称清洗

厚度

tmp=[]
for i in df["商品名称"]:
    if"厚"in i:
        tmp.append("厚款")
    elif"薄"in i:
        tmp.append("薄款")
    else:
        tmp.append("其他")
df['厚度'] = tmp

版型

for i in df["商品名称"]:
    if"修身"in i:
        tmp.append("修身型")
    elif"宽松"in i:
        tmp.append("宽松型")
    else:
        tmp.append("其他")
df['版型'] = tmp

风格

tmp=[]
for i in df["商品名称"]:
    if"韩"in i:
        tmp.append("韩版")
    elif"商务"in i:
        tmp.append("商务风")
    elif"休闲"in i:
        tmp.append("休闲风")
    elif"简约"in i:
        tmp.append("简约风")
    else:
        tmp.append("其他")
df['风格'] = tmp

商品价格清洗

df["价格区间"] = pd.cut(df["商品价格"],[0, 100,300, 500, 700, 1000,1000000],labels=['100元以下','100元-300元','300元-500元','500元-700元','700元-1000元','1000元以上'],right=False)

评价人数清洗

import re
df['数字'] = [re.findall(r'(\d+\.{0,1}\d*)', i)[0] for i in df['评论人数']]  #提取数字
df['数字'] = df['数字'].astype('float')  #转化数值型
df['单位'] = [''.join(re.findall(r'(万)', i)) for i in df['评论人数']]  #提取单位(万)
df['单位'] = df['单位'].apply(lambda x:10000if x=='万'else1)
df['评论人数'] = df['数字'] * df['单位'] # 计算评论人数
df['评论人数'] = df['评论人数'].astype("int")
df.drop(['数字', '单位'], axis=1, inplace=True)

店铺名称清洗

df["店铺类型"] = df["店铺名称"].str[-3:]

可视化

引入可视化相关库

import matplotlib.pyplot as plt
import seaborn as sns
%matplotlib inline
plt.rcParams['font.sans-serif'] = ['SimHei']  # 设置加载的字体名
plt.rcParams['axes.unicode_minus'] = False# 解决保存图像是负号'-'显示为方块的问题 
import jieba
import re
from pyecharts.charts import *
from pyecharts import options as opts 
from pyecharts.globals import ThemeType  
import stylecloud
from IPython.display import Image

描述性统计

相关性分析

商品价格分布直方图

sns.set_style('white')   
fig,axes=plt.subplots(figsize=(15,8)) 
sns.distplot(df["商品价格"],color="salmon",bins=10) 
plt.xticks(fontsize=16)
plt.yticks(fontsize=16)
axes.set_title("商品价格分布直方图")

评论人数分布直方图

sns.set_style('white')  
fig,axes=plt.subplots(figsize=(15,8)) 
sns.distplot(df["评论人数"],color="green",bins=10,rug=True) 
plt.xticks(fontsize=16)
plt.yticks(fontsize=16)
axes.set_title("评论人数分布直方图")

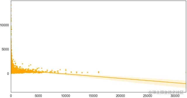
评论人数与商品价格的关系

fig,axes=plt.subplots(figsize=(15,8)) 
sns.regplot(x='评论人数',y='商品价格',data=df,color='orange',marker='*')
plt.xticks(fontsize=16)
plt.yticks(fontsize=16)

羽绒服价格分布

df2 = df["价格区间"].astype("str").value_counts()
print(df2)
df2 = df2.sort_values(ascending=False)
regions = df2.index.to_list()
values = df2.to_list()
c = (
        Pie(init_opts=opts.InitOpts(theme=ThemeType.DARK))
        .add("", list(zip(regions,values)))
        .set_global_opts(legend_opts = opts.LegendOpts(is_show = False),title_opts=opts.TitleOpts(title="羽绒服价格区间分布",subtitle="数据来源:腾讯视频\n制图:菜J学Python",pos_top="0.5%",pos_left = 'left'))
        .set_series_opts(label_opts=opts.LabelOpts(formatter="{b}:{d}%",font_size=14))
        
    )
c.render_notebook()

评论人数top10店铺

df5 = df.groupby('店铺名称')['评论人数'].mean()
df5 = df5.sort_values(ascending=True)
df5 = df5.tail(10)
print(df5.index.to_list())
print(df5.to_list())
c = (
    Bar(init_opts=opts.InitOpts(theme=ThemeType.DARK,width="1100px",height="600px"))
    .add_xaxis(df5.index.to_list())
    .add_yaxis("",df5.to_list()).reversal_axis() #X轴与y轴调换顺序
    .set_global_opts(title_opts=opts.TitleOpts(title="评论人数TOP10",subtitle="数据来源:京东 \t制图:J哥",pos_left = 'left'),
                       xaxis_opts=opts.AxisOpts(axislabel_opts=opts.LabelOpts(font_size=11)), #更改横坐标字体大小
                       #yaxis_opts=opts.AxisOpts(axislabel_opts=opts.LabelOpts(font_size=12)),
                        yaxis_opts=opts.AxisOpts(axislabel_opts={"rotate":30})#更改纵坐标字体大小
                       )
    .set_series_opts(label_opts=opts.LabelOpts(font_size=16,position='right'))
    )
c.render_notebook()

版型

df5 = df.groupby('版型')['商品价格'].mean()
df5 = df5.sort_values(ascending=True)[:2]
#df5 = df5.tail(10)
df5 = df5.round(2)
print(df5.index.to_list())
print(df5.to_list())
c = (
    Bar(init_opts=opts.InitOpts(theme=ThemeType.DARK,width="1000px",height="500px"))
    .add_xaxis(df5.index.to_list())
    .add_yaxis("",df5.to_list()).reversal_axis() #X轴与y轴调换顺序
    .set_global_opts(title_opts=opts.TitleOpts(title="各版型羽绒服均价",subtitle="数据来源:中原地产 \t制图:J哥",pos_left = 'left'),
                       xaxis_opts=opts.AxisOpts(axislabel_opts=opts.LabelOpts(font_size=11)), #更改横坐标字体大小
                       #yaxis_opts=opts.AxisOpts(axislabel_opts=opts.LabelOpts(font_size=12)),
                        yaxis_opts=opts.AxisOpts(axislabel_opts={"rotate":30})#更改纵坐标字体大小
                       )
    .set_series_opts(label_opts=opts.LabelOpts(font_size=16,position='right'))
    )
c.render_notebook()

厚度

df5 = df.groupby('厚度')['商品价格'].mean()
df5 = df5.sort_values(ascending=True)[:2]
#df5 = df5.tail(10)
df5 = df5.round(2)
print(df5.index.to_list())
print(df5.to_list())
c = (
    Bar(init_opts=opts.InitOpts(theme=ThemeType.DARK,width="1000px",height="500px"))
    .add_xaxis(df5.index.to_list())
    .add_yaxis("",df5.to_list()).reversal_axis() #X轴与y轴调换顺序
    .set_global_opts(title_opts=opts.TitleOpts(title="各厚度羽绒服均价",subtitle="数据来源:京东 \t制图:J哥",pos_left = 'left'),
                       xaxis_opts=opts.AxisOpts(axislabel_opts=opts.LabelOpts(font_size=11)), #更改横坐标字体大小
                       #yaxis_opts=opts.AxisOpts(axislabel_opts=opts.LabelOpts(font_size=12)),
                        yaxis_opts=opts.AxisOpts(axislabel_opts={"rotate":30})#更改纵坐标字体大小
                       )
    .set_series_opts(label_opts=opts.LabelOpts(font_size=16,position='right'))
    )
c.render_notebook()

风格

df5 = df.groupby('风格')['商品价格'].mean()
df5 = df5.sort_values(ascending=True)[:4]
#df5 = df5.tail(10)
df5 = df5.round(2)
print(df5.index.to_list())
print(df5.to_list())
c = (
    Bar(init_opts=opts.InitOpts(theme=ThemeType.DARK,width="1000px",height="500px"))
    .add_xaxis(df5.index.to_list())
    .add_yaxis("",df5.to_list()).reversal_axis() #X轴与y轴调换顺序
    .set_global_opts(title_opts=opts.TitleOpts(title="各风格羽绒服均价",subtitle="数据来源:京东 \t制图:J哥",pos_left = 'left'),
                       xaxis_opts=opts.AxisOpts(axislabel_opts=opts.LabelOpts(font_size=11)), #更改横坐标字体大小
                       #yaxis_opts=opts.AxisOpts(axislabel_opts=opts.LabelOpts(font_size=12)),
                        yaxis_opts=opts.AxisOpts(axislabel_opts={"rotate":30})#更改纵坐标字体大小
                       )
    .set_series_opts(label_opts=opts.LabelOpts(font_size=16,position='right'))
    )
c.render_notebook()

羽绒服词云图