【MySQL】从索引数据结构 看 SQL优化

1,062 阅读9分钟

索引

MySQL如何查找数据【没有索引】

假设存在 org_user 表,没有设置主键,也没有设置索引:

当执行sql SELECT * FROM org_user where id = 7; 时,会进行 全表扫描
mysql 会逐条取数据,然后根据 where 后面的条件进行比对。最终取出符合条件的数据。 每次取出数据都会进行一次 I/O 操作,取出几次,就进行几次I/O。当数据量达到一定大小,这种 全表扫描 就非常消耗性能。

所以 mysql 引出了索引的概念,我们可以给 频繁 查询的列添加 索引,以达到优化查询速度的目的。

什么是索引

索引 是帮助MySQL高效获取数据的 排好序数据结构

MySQL 不同的存储引擎,使用索引时底层数据结构也存在差异。MySQL索引分三种:HASH 索引、BTREE 索引、全文索引。

本文所记述索引是使用量相对较多的 BTREE 索引

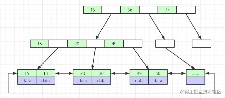
BTREE 索引

BTREE 索引是通过B+ 树来实现的。
B+ 树的结构示意图


B+树动态演示

区别:BTREE 索引和单纯B+数存在微小的区别,B+树在叶子节点之间维护了一个从小指向大的单向指针(如上图)。而BTREE 索引在叶子节点之间维护了双向指针

BTREE索引结构特点

  • 非叶子节点不存储具体数据,只存储索引(冗余),为了可以放更多的索引
  • 叶子节点包含所有索引字段
  • 叶子节点用指针连接,提高区间访问的性能 图示:

BTREE索引为什么采用B+树实现

  1. 相比于其他数据结构,树形结构在查询速度上有更大的优势,相比于Hash,树形结构在排序场景效果更好。
  2. B树相比与其他树,在单端增长问题上表现较优。和平衡二叉树和红黑树相比,在大数据量时,B树的层级更少。
  3. B+树相对与 B树,非叶子节点不保存数据,每个 磁盘页 可以保存更多节点。相同数据时,B+树的层级更少。且 B+树在叶子节点维护了双向指针,更适合范围查询。

mysql不同存储引擎索引结构的区别

  • MyISAM
    • 非聚集索引:索引文件和数据文件是分离的,索引文件的叶子节点保存着数据在磁盘的地址指针。
    • 图示:
  • InnoDB
    • 聚集索引:索引文件和数据文件是不分离。
      • 主键索引文件的叶子节点保存着详细的数据。
      • 非主键索引的叶子节点只保存对应的主键id,如果要查询其他字段(除主键和索引字段),需要回表查询(再次根据id查询主键索引树)
    • 图示:
      主键索引 非主键索引

聚合索引(联合索引)和最左前缀原则

聚合索引(联合索引):由多个字段共同组成一个索引。 图示:

在数据结构上会根据索引的先后顺序,依次将数据排序在b+树上。

最左前缀原则:最左优先,在检索数据时从联合索引的最左边开始匹配。
以下表为例,name, age, position 为联合索引

CREATE TABLE `org_user`  (
  `id` int(11) NOT NULL,
  `name` varchar(20) CHARACTER SET utf8 COLLATE utf8_general_ci NOT NULL,
  `age` int(2) NOT NULL,
  `position` varchar(20) CHARACTER SET utf8 COLLATE utf8_general_ci NOT NULL,
  `sex` varchar(2) CHARACTER SET utf8 COLLATE utf8_general_ci NULL DEFAULT NULL,
  `org` varchar(20) CHARACTER SET utf8 COLLATE utf8_general_ci NULL DEFAULT NULL,
  PRIMARY KEY (`id`) USING BTREE,
  INDEX `index_name_age_position`(`name`, `age`, `position`) USING BTREE
) ENGINE = InnoDB CHARACTER SET = utf8

分析之前 我们需要简单了解下 EXPLAIN

explain 怎么看是否走了索引,联合索引走了哪几位?

  1. type属性 system > const > eq_ref > ref > range > index > ALL。
  • type 为 eq_ref\ref\range\index 这几项说明查询走的索引。
  1. key_len 的长度可以用来判断走的是联合索引中的前几位。 kan_len的规则如下
    1.字符串:
  • char(n):如果存汉字长度就是 3n 字节
  • varchar(n):如果存汉字则长度是 3n + 2 字节,加的2字节用来存储字符串长度 2.数值类型
  • tinyint:1字节
  • smallint:2字节
  • int:4字节
  • bigint:8字节 3.时间类型
  • date:3字节
  • timestamp:4字节
  • datetime:8字节 4.null 值:1个字节 通过mysql EXPLAIN 解释语句分析sql
EXPLAIN SELECT * FROM `org_user` where name = 'zhouxh';

可以看出来上面的sql走的索引(其中name字段长度20,所以name索引的key_len = 62),通过key_len 可以看出以上sql,使用了联合索引中的name 同理 通过分析以下sql

EXPLAIN SELECT * FROM `org_user` where name = 'zhouxh' AND position = '前端开发';
EXPLAIN SELECT * FROM `org_user` where name = 'zhouxh' AND age = 24;
EXPLAIN SELECT * FROM `org_user` where age = 24 AND position = '前端开发';
EXPLAIN SELECT * FROM `org_user` where name = 'zhouxh' AND age = 24 and position = '前端开发';
EXPLAIN SELECT * FROM `org_user` where name like 'zhouxh%' AND age = 24 and position = '前端开发';
EXPLAIN SELECT * FROM `org_user` where name like '%zhouxh' AND age = 24 and position = '前端开发';

可以得到以下
最左前缀原则的索引命中情况 (name, age, position 为联合索引)

where 条件索引使用情况
1where name = 'xxx'使用到 name
2where name = 'xxx' and age = xx使用到 name 和 age
3where name = 'xxx' and age = xx and position = 'xxx'索引全命中
4where name = 'xxx' and position = 'xx'只用都name
5where age = xx 或者 where age = xx and position = 'xx' 或者 where position = 'xxx'没有使用索引
6where name = 'xxx' and age > xx and position = 'xxx'使用到 name 和 age
7where name like 'xxx%' and age = xx and position = 'xxx'MySQL5.6之后:索引全名中/之前只命中name
8where name like '%xxx' and age = xx and position = 'xxx'没有使用索引
9where name = 'x%xx%' and age = xx and position = 'xxx'索引全名中
10where name = 'xx' and age like '%xx' and position = 'xxx'使用name 和 age

原因总结:

  1. 当name字段确定时(name = xxx),age字段是有序排列的,此时无论是对age字段进行范围限定(>、<)还是 取确定值(=)都可以从B+树上给很快的找到。
  2. 当name字段不确定(where 后面没有限定name),此时age字段再B+树中排列无序(Bill、HanMeimei、leff、lilei 中可能都有相同的age),此时age无法快速的定位,强行使用索引,还不如全表扫描来的快。
  3. 当name字段是后置模糊查询时(name like 'xxx%'),MySQL5.6引入了索引下推优化,可以在索引遍历过程中,对索引中包含的所有字段先做判断,过滤掉不符合条件的记录之后再回表,可以有效的减少回表次数。使用了索引下推优化后,查询在联合索引里匹配到名字是 'LiLei' 开头的索引之后,同时还会在索引里过滤age和position这两个字段,拿着过滤完剩下的索引对应的主键id再回表查整行数据。索引下推会减少回表次数,对于innodb引擎的表索引下推只能用于二级索引。
  4. 当name字段是前置模糊查询时(name like '%xxx'),此时name字段是无序的,所以无法命中索引。

SQL 优化

1、联合索引第一个字段用范围不一定会走索引

EXPLAIN SELECT * FROM `org_user` where name > 'zhouxh' AND age = 24 and position = '前端开发';

索引命中不确认:在一定数据量的表中,第一个字段就是范围查询时,如果mysql内部分析后认为范围查询的数据集比较大,他会进行全表扫描,否则 mysql 会走索引。
如何优化
覆盖索引法:要求所有查询的字段都在联合索引树上中存在。
原因:此时所有数据都可以在联合索引树上获取,不需要回表查询,速度更快。

EXPLAIN SELECT id, name, age, position FROM `org_user` where name > 'zhouxh' AND age = 24 and position = '前端开发'; 

2、Order by与Group by优化

  1. MySQL支持两种方式的排序filesort和index,Using index是指MySQL扫描索引本身完成排序。index效率高,filesort效率低。
  2. order by满足两种情况会使用Using index。
    • order by语句使用索引最左前列。
    • 使用where子句与order by子句条件列组合满足索引最左前列。
  3. 尽量在索引列上完成排序,遵循索引建立(索引创建的顺序)时的最左前缀法则.
  4. 如果order by的条件不在索引列上,就会产生Using filesort.
  5. 能用覆盖索引尽量用覆盖索引
  6. group by与order by很类似,其实质是先排序后分组,遵照索引创建顺序的最左前缀法则。对于groupby的优化如果不需要排序的可以加上order by null禁止排序。注意,where高于having,能写在where中的限定条件就不要去having限定了.
EXPLAIN SELECT * FROM `org_user` where name = 'zhouxh' AND age = '11' ORDER BY position;

不遵从 最左前缀原则时:

EXPLAIN SELECT * FROM `org_user` where name = 'zhouxh' ORDER BY position;

Using filesort文件排序两种方式【面试可能会问哦】

  • 单路排序:
    • 将所有的查询数据都 load 到内存缓冲区中进行排序。
  • 双路排序
    • 只将排序字段和主键 load 到内存缓冲区中进行排序,然后再根据 主键 回表,取出查询的字段。 mysql 如何选择
  • MySQL 通过比较系统变量 max_length_for_sort_data(默认1024字节) 的大小和需要查询的字段总大小来判断,字段总大小 < 系统变量 ,则使用单路排序(速度快,耗内存)。否则,双路排序。

3、分页查询优化

我们经常有这样的场景对表某个字段(非主键索引)进行排序,然后进行分页。
最粗暴的写法自然是:

SELECT * FROM `org_user` order by name limit 100 , 10;

这样的写法在查询少数量集的时候,是可以命中索引的。
但是一旦跳转页数变得较大,页面就会变的非常卡顿。

SELECT * FROM `org_user` order by name limit 10000 , 10;


我们通过 EXPLAIN 可以发现,虽然 name 字段设置了索引,但是实际排序的时候并没有用上。
原因
扫描二级索引并查找不在二级索引上的行数据时,需要回表。mysql认为这样的查找成本比全表扫描的成本还要高,所以mysql内部自动优化成全表扫描。

如何优化
可以在通过二级索引排序时,只查询id,然后通过id手动查询需要的行数据。

SELECT * from `org_user` a inner join (SELECT id FROM `org_user` order by name limit 10000 , 10) b on a.id = b.id;

优化后:排序时使用的是 filesort 排序,且查询时都走了索引,效率更高。

最后的最后 附上阿里巴巴对于索引的硬性规定:

  1. 【强制】业务上具有唯一特性的字段,即使是组合字段,也必须建成唯一索引。
    • 说明:不要以为唯一索引影响了insert速度,这个速度损耗可以忽略,但提高查找速度是明显的;另外,即使在应用层做了非常完善的校验控制,只要没有唯一索引,根据墨菲定律,必然有脏数据产生。
  2. 【强制】超过三个表禁止join。需要join的字段,数据类型保持绝对一致;多表关联查询时,保证被关联的字段需要有索引。
    • 说明:即使双表join也要注意表索引、SQL性能。
  3. 【强制】在varchar字段上建立索引时,必须指定索引长度,没必要对全字段建立索引,根据实际文本区分度决定索引长度。
    • 说明:索引的长度与区分度是一对矛盾体,一般对字符串类型数据,长度为20的索引,区分度会高达90%以上,可以使用count(distinct left(列名, 索引长度))/count(*)的区分度来确定。
  4. 【强制】页面搜索严禁左模糊或者全模糊,如果需要请走搜索引擎来解决。
    • 说明:索引文件具有B-Tree的最左前缀匹配特性,如果左边的值未确定,那么无法使用此索引。